
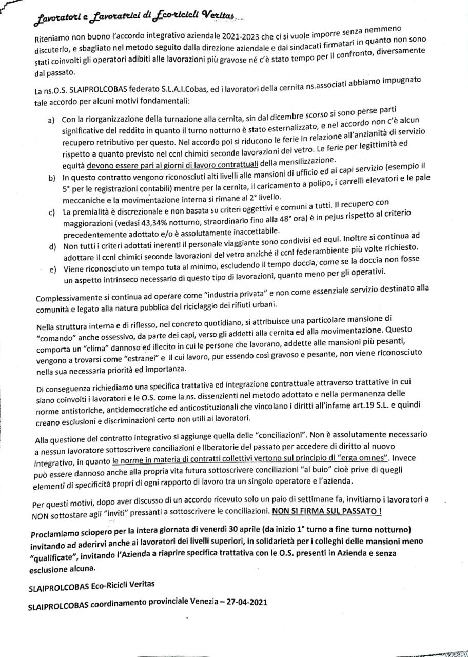
HOME PAGE: NEWS DI ENORME INTERESSE POLITICO E SOCIALE DAL 2015


riproduzione di un atto di protesta in provincia di Venezia, di circa 15 anni fa, che riveste una enorme attualità per quanto accade tra genocidio e rapina delle terre Palestinesigli aggiornamenti dal 2019 ad oggi sono disponibili su
https://t.me/SlaiProlCobas
SINTESI ATTIVITA' SINDACALI 2026
VERTENZE SINDACALI PERMANENTI DA ANNI CAUSA COMPORTAMENTO ANTISINDACALE AZIENDALE: APPALTI FINCANTIERI MARGHERA, MONFALCONE, ANCONA, MACRAI MONTEBELLUNA (TV) E FIORITAL SPA (VE)VERTENZE COLLETTIVE IN SEDI GIUDIZIARIE IN TUTTA ITALIA E PERMANENTEMENTE PER COBAS APPALTI FINCANTIERI, SLAIPROLCOBAS FEDERATO S.L.A.I.COBAS E FEDERAZIONE AUTISTI OPERAI
02-04-2026 Iniziano le trasmissioni di LA7 sul caso Epstein - Dichiarazione del compagno Paolo Dorigo sul caso della censura trumpiana dei files del caso Epstein clicca qui - rilanciamo la trasmissione di La7 del 2003 sugli esperimenti di mkultra rimossi dalla gestione attuale (california post incendi) di youtube (da https://avae-m.org parte 1 parte 2)
Montebelluna - Continua ogni mese lo sciopero degli straordinari e flessibilità alla Amacrai est clicca qui Venezia - Continua ogni domenica lo sciopero del lavoro domenicale introdotto arbitrariamente dall'Azienda Fiorital spa senza alcun confronto sindacale. In questa Azienda siamo operativi prima ancora della nascita di SlaiProlCobas (la protesta è iniziata a giugno-luglio 2024). clicca qui
19-03-2026 comunicato di adesione alla manifestazione del Coordinamento NO/NATO che si terrà a Ghedi (BS) avanti la base militare del 04-04-2026 clicca qui
15-03-2026 Conferenza pubblica SlaiProlCobas a Mestre (VE): LE RAGIONI DEL NO - locandina clicca qui- foto 1 clicca qui - foto 2 clicca qui - Intervento dell'Avvocato Zanarello clicca qui
07-03-2026 Riunito a Mira il Comitato di controllo congiunto SlaiProlCobas - Federazione Autisti Operai - Approvato il bilancio 2025 - clicca qui e qui per il verbale - clicca qui per il prospetto entrate uscite - clicca qui per il prospetto delle entrate per regione - il file contabile come per tutti gli anni precedenti, dal momento che contiene dati sensibili degli iscritti, non è disponibile su interbet ma è disponibile per la consultazione solo presso la ns.sede nazionale05-03-2026 DOCUMENTO SINDACALE PROPOSTA DI PROGRAMMA MINIMO (clicca qui) della Commissione di studio del Comitato di controllo di SlaiProlCobas e Federazione Autisti Operai, sulla base del documento pubblicato dal Ufficio politico del Partito Comunista d'Italia Marxista-leninista-maoista del 18-01-2026 (clicca qui) 12-02-2026 PADOVA Sit-in di solidarietà (fronte stazione FS) per Gheorghe, ns.RSA nell'appalto DAC di Villafranca Padovana (PD) - Impugnazione in corso e processo fissato a giugno - Il volantino distribuito ai lavoratori pendolari in 2000 copie (clicca qui) e l'articolo del Mattino di Padova (clicca qui) - https://www.facebook.com/share/183xNAnz7h/
31-01-2026 MILANO SlaiProlCobas ha aderito al Coordinamento NO/NATO
DA GAZA EMERGENZA CARESTIA CAUSATA DALLA GUERRA SIONISTA E DALLA COMPLICITA' OCCIDENTALE - da un nostro post su facebook SlaiProlCobas Mira e su telegram. un servizio fotografico dal nostro amico e fratello che sosteniamo clicca qui - continua la campagna di solidarietà clicca qui
SINTESI ATTIVITA' SINDACALI 2025
2 DICEMBRE 2025 - Licenziato Rubul da "Ten03 srl", il lavoratore trasferito da Monfalcone alla provincia di Verona !!! Sciopero proclamato per il venerdì 7 dicembre 2025 Intervento del compagno Luigi Aprea di S.L.A.I.Cobas di Contestazione alla Fiom all'Assemblea in Stellantis ex Fiat nello stabilimento Pomigliano d'Arco (NA) il 12-11-2025 - clicca link video https://youtu.be/pM5g05e9DGY
30 novembre 2025 - Mestre Venezia - Svoltasi con positivo impegno e chiarezza la Assemblea dei delegati RSA di SlaiProlCobas clicca qui Fiorital spa Venezia - Continua lo sciopero del lavoro domenicale introdotto arbitrariamente dall'Azienda senza alcun confronto sindacale. In questa Azienda siamo operativi prima ancora della nascita di SlaiProlCobas. clicca qui
28-29 novembre 2025 volantino per lo sciopero generale e per la giornata internazionale per la Palestina clicca qui (pdf IT) clicca qui (jpg BDH) clicca qui (jpg IT)
28 novembre 2025 Denuncia dalla Palestina (del Club dei Prigionieri) per la criminale esecuzione di due Palestinesi appena arrestati dall'esercito a Jenin clicca qui
25 novembre 2025contributo di Giorgio Stern parafrasando Giorgio Gaber clicca qui
23 novembre 2025 traduzione del comunicato di SAMIDOUN di denuncia delle condizioni detentive del segretario generale del Fronte di Liberazione della Palestina, Ahmed Sa'adat - clicca qui
LIBERTA' PER TUTTE LE DONNE E I BAMBINI E GLI UOMINI PALESTINESI DAI LAGER DI ISRAELE

DICHIARAZIONE DI PAOLO DORIGO, già prigioniero politico nel 1977, nel 1985, nel 1987-1989, nel 1993-2006, ed oggi militante sindacale di SlaiProlCobas: L'ESEMPIO DELLA LOTTA DEL POPOLO PALESTINESE E L'ORRORE DEI LAGER SIONISTI DEVE ESSERE DA SPRONO PER I GIOVANI DEL XXI SECOLO, A MOBILITARSI PER DARE LA LIBERTA' DOPO 43 ANNI DALLA "VITTORIA" DELLO STATO, PER TUTTI I PRIGIONIERI E LE PRIGIONIERE DELLE BRIGATE ROSSE TUTTORA CARCERATI DOPO VARI DECENNI, LA MAGGIORANZA DI LORO PERALTRO SONO STATI CONDANNATI A LUNGHE PENE "DI GRUPPO" PER ALCUNI OMICIDI, PUR IN ASSENZA DI PARTECIPAZIONE SOGGETTIVA AI REATI DI SANGUE (CHE PENTITI COME SAVASTA E DISSOCIATI COME SEGIO, PLURIOMICIDI DIVERSI DI LORO SONO LIBERI DA QUASI SUBITO DOPO IL 1982)
23 novembre 2025 L'eroico presidente ussa permette ai sionisti la ripresa del genocidio del Popolo Palestinese clicca qui 20 novembre 2025 Da l'antidiplomatico - Finora non avete visto nulla. NAFO, hacker e fact chekers, saranno reclutati nelle cyber-brigate di Crosetto. Servono 5000 unità. E' stato deciso al Consiglio Supremo di Difeso. Benvenuti nel Totalitarismo di Guerra.
https://www.lantidiplomatico.it/dettnews-crosetto_e_il_totalitarismo_di_guerra_chi_non_pensa_come_la_nato__un_nemico_della_nazione/45289_63731/
20 novembre 2025 . Continua il nostro sforzo di solidarietà ed aiuto contro la fame per una famiglia di Gaza che la cui casa è stata distrutta dai sionisti clicca qui
19 novembre 2025 Montebelluna (TV) - Continua lo sciopero della flessibilità e degli straordinari alla Amacrai Est - Proclamato dal 8 dicembre 2025 al 8 gennaio 2026 clicca qui
18 novembre 2025 COMUNICATO PUBBLICO DI ADESIONE ALLO SCIOPERO CUB DEL 28 NOVEMBRE 2025 DI SLAIPROLCOBAS FEDERATO S.L.A.I.COBAS E FEDERAZIONE AUTISTI OPERAI ADERENTE SLAIPROLCOBAS clicca qui
17 novembre 2025 - TATTICHE ANTISINDACALI COPERTE DAL "GIRO" DI FINCANTIERI ED AZIENDE AMICHE - Sciopero del cobas degli operai di Ten03 nostri associati di solidarietà ad un operaio intrasferta permanente da oltre un anno a San Giorgio di Nogaro (UD), ed ora da Monfalcone a Valeggio sul Mincio (VR) clicca qui - CLICCARE QUI PER: "PREMIO NAZIONALE ANTIOPERAIO 2025" LA BASE GIURIDICA DI QUESTI COMPORTAMENTI ANTISINDACALI SOTTO COPERTURA DI UNA GRAVISSIMA SENTENZA DELLA CASSAZIONE SULL'INDENNITA' DI TRASFERTA NEL CCNL METALMECCANICI
17 novembre 2025 - ONU - VERGOGNA - IL GOVERNO MELONI DECIDE SENZA NEMMENO IL CORAGGIO DI INFORMARE IL POPOLO ITALIANO - Il disegno di legge promosso dalla Russia per "combattere la glorificazione del nazismo" è stato respinto da 52 paesi, inclusi gli Stati Uniti, il Regno Unito, la Francia, la Germania,l'Italia e la maggior parte dell'Occidente clicca qui
14 novembre 2025 "INTELLIGENZA ARTIFICIALE"-LIBERTA' DI PENSIERO - "GUERRA COGNITIVA" contributo di Peter Mooring per comprendere il sistema di targeting clicca qui notizie sullo specifico e limitato bonus per i nuovi nati e sul bonus di 40 euro (60 nel 2026) ogni mese lavorato nel 2025 alle mamme attualmente lavoratrici (cioè non alle disoccupate e senza lavoro) clicca qui
7 novembre 2025 Comunicato del Fplp sulla scomparsa del grande combattente internazionalista marocchino Sion Assidon, membro della dirigenza del Fronte Marocchino per il Sostegno alla Palestina e Contro la Normalizzazione clicca qui
6 novembre 2025: LIBERTA' DI PENSIERO - "GUERRA COGNITIVA" Importante film in due parti, traduzione vocale in italiano, di un intervista ad un alto ufficiale dell'esercito usa - https://youtu.be/BgPdpCAPfn4?si=IFIATBWmOF1ElZi6 - https://www.facebook.com/share/p/1QgJvxhBWH/ -
Grazie a Dominic Halpin per il suo lavoro straordinario e meticoloso. https://www.facebook.com/share/p/1QgJvxhBWH/6 novembre 2025 Il governo di destra italiano, guidato da Giorgia Meloni, si trova ad affrontare un nuovo scandalo.
Il generale egiziano è stato arrestato a Tripoli con gravi accuse, ovvero tortura e omicidio.
La procura di Tripoli ha prove che l'egiziano è responsabile di torture e violenze in Libia e, in alcuni casi, persino della morte di almeno cinque prigionieri.
Si tratta della stessa persona che qualche mese fa è stata liberata dal governo italiano presieduto da Meloni per tornare in patria con un volo ufficiale e con tutti gli onori, nonostante nei suoi confronti sia stato spiccato un mandato di cattura internazionale per accuse di tortura e crimini contro l'umanità.
Si tratta di un fatto che nessun membro del governo ha mai commentato, nascondendosi dietro l'immunità parlamentare.
E ora quale sarà la risposta dei noti membri del governo ?
Il governo di destra italiano è diventato lo zimbello dell'Europa, e tutti lo sanno. Ora il governo di destra italiano sta letteralmente ricevendo lezioni di diritto e giustizia dalla Libia!!3 novembre 2025: Palestina - NEL BEL MEZZO DELLA STRAGE "MODERATA"CHE CONTINUA A GAZA ED IN CISGIORDANIA (WEST BANK),
IMPORTANTISSIMO. I NAZISIONISTI INTENDONO LEGIFERARE LA PENA DI MORTE AI COMBATTENTI PALESTINESI PRIGIONIERI.
ESATTAMENTE COME FECERO hitler e mussolini conla sua repubblichina DURANTE LA RESISTENZA. MORTE AL NAZIFASCISMO ! LIBERTA' AI POPOLI OPPRESSI ! CORTE COSTITUZIONALE DEL 21-07-2025 LICENZIAMENTI ILLEGITTIMI NELLE PICCOLE IMPRESE: ROTTO IL TABU' DELLE 6 MENSILITA' AL MASSIMO NELLE IMPRESE CON MENO DI 16 DIPENDENTI clicca qui CHAT CONTROL - In Francia si inizia a preparare le masse popolari all'ennesima inculata
Sudan: di fronte agli occhi dei cittadini di tutto il mondo, i crimini sadici ed orrendi dei maledetti infami terroristi delle RSF clicca qui
2 novembre 2025: Corso sindacale dalla sede di Marano di Mira sui mille modi di fregare retribuzione in busta paga ( le varie tipologie con cui vengono fatte le buste paga dalle aziende per pagare meno i lavoratori e soprattutto per eludere le tasse a carico delle aziende) POSTILLA: le aziende di appalto e subappalto arricchiscono l'economia od impoveriscono il popolo limitando la ricchezza ai "soci" ?
1 novembre 2025 DENUNCIA del Fronte Popolare per la Liberazione della Palestina, del "trattamento" inferto ai Prigionieri Palestinesi dai sionisti nelle carceri israeliane clicca qui
1 novembre 2025 - Diamo visibilità al comunicato di solidarietà emesso dal PRC- "Sinistra europea" Solidarietà e vicinanza al Prof. Angelo d'Orsi - Esprimiamo la nostra massima solidarietà e vicinanza al Prof. Angelo D’Orsi, intellettuale critico dell’ordine esistente e profondo conoscitore della vita e delle opere di Antonio Gramsci, per la censura di cui è stato vittima in queste ore. È stato infatti annullato un dibattito organizzato dalla sezione torinese dell’ANPPIA che avrebbe dovuto vedere la partecipazione anche del giornalista Vincenzo Lorusso sul tema Russofilia/Russofobia e ciò è avvenuto sotto la pressione di aree del centrosinistra e del centrodestra più guerrafondaie alle quali ha ceduto facendosene interprete il Sindaco di Torino. “La pace passa attraverso il dialogo e non con il rifiuto della cultura” chiosava il manifesto di convocazione dell’iniziativa, siamo talmente d’accordo che ci adopereremo per garantire a D’Orsi e ai suoi interlocutori lo svolgimento dell’iniziativa mettendoci a sua disposizione.
SPIRALE GENOCIDIO NEL MONDO: Palestina, Sudan, Venezuela ,in tutto il mondo il potere imperialista guidato dal pazzo Trump fa strage o minaccia strage. In Brasile la polizia attua la pena di morte di massa senza processo. Attori (come Israele o gli amici di bolsonaro o gli Emirati arabi uniti e complici, come chi non riconosce la Palestina, compresi i fascistoidi italioti, sono colpevoli di crimini contro l' umanità.
Il mondo è entrato in una spirale pericolosissima.
Scusate. Si dimenticava la Tanzania, al centro di massacri contemporanei alle elezioni presidenziali.
GAZA. ISRAELE VIOLA NUOVAMENTE IL CESSATE IL FUOCO
Il corrispondente di Al Mayadeen riferisce che l'artiglieria di occupazione israeliana ha preso di mira la città di Khan Younis nel sud Gaza questa mattina, aggiungendo che le forze israeliane hanno effettuato una massiccia demolizione di complessi residenziali ed edifici a est di Khan Younis. Le forze di occupazione israeliane hanno anche lanciato una raffica di fumogeni sulle città di Aabasan e Bani Suheila, nella parte meridionale di Gaza.
Nel frattempo, i media palestinesi hanno riferito che gli aerei di occupazione hanno effettuato una serie di pesanti attacchi aerei a est di Khan Younis, in concomitanza con continui bombardamenti navali contro le aree meridionali della Striscia di Gaza, causando la distruzione diffusa di edifici e strutture civili.
Le forze israeliane hanno demolito anche edifici residenziali a est di Gaza City, proseguendo la loro politica di distruzione sistematica che prende di mira le abitazioni e le infrastrutture dei civili, nonostante l'accordo di cessate il fuoco in corso, che "Israele" non cessa mai di violare. per il ministro Gasparri e chi la pensa come lui: diamo visibiilità ad un documento istituzionale pubblico dell'esercito italiano, sulla guerra cognitiva, a lui che definiva "pazzo" (nel corso di un'intervista televisiva ad una rete laziale) nell'ottobre 2002 il compagno Paolo Dorigo che denunciava e che ancora denuncia nel silenzio generale della classe "politica" italiana. la tortura tecnologica e dei microchip clicca qui
31 ottobre 2025 MIRA: È morto nei giorni scorsi Giovanni Olivi, compagno e antifascista da sempre.
Negli anni '70 fu al centro di una lotta per la tutela del suo posto di lavoro. È stato nel luglio 2006 tra i fondatori del coordinamento provinciale di Slai cobas a Mira.
La nostra organizzazione sindacale esprime le sue condoglianze alla sua moglie Paola ed alla figlia Alice e ai parenti tutti.Il ricordo di Giovanni è stato presso la camera ardente del cimitero di Spinea il 5 novembre 2025.
31 ottobre 2025 - Proclamato per il 4 novembre 2025 uno sciopero di una giornata dei lavoratori bengalesi dipendenti della ditta di appalti Ten03 nostri associati e di chi è loro solidale
29 ottobre 2025 Germania: allarme militarismo: il Costituzionalista Murswiek denuncia la censura di Stato clicca qui
28 ottobre 2025 A Ventimiglia (provincia di Imperia) un operaio magazziniere Bengalese si è suicidato, secondo gli amici sarebbe stato licenziato perché era malato. (da una notizia di TGCOM24) commento: ATTENZIONE PROVE EVIDENTI DEL RAZZISMO ITALIANO GIA' RILEVATO DALL'UNIONE EUROPEA clicca qui
23 ottobre 2025 "INTELLIGENZA ARTIFICIALE"-LIBERTA' DI PENSIERO - "GUERRA COGNITIVA" - Radio radicale ha pubblicizzato la schifosa ed indegna proposta di legge del governo per liberare da ogni responsabilità penale gli amministratori delegati delle aziende committenti in relazione ai reati penali negli appalti. Con l'intelligenza artificiale in data 02-12-2025 Google ha risposto MOLTO ERRONEAMENTE al testo di ricerca "proposta di legge del governo sulla responsabilità penale degli amministratori delegati delle aziende committenti in relazione ai reati penali negli appalti"che "Non risulta alcuna specifica proposta di legge governativa focalizzata esclusivamente sulla responsabilità penale degli amministratori delegati in relazione ai reati negli appalti, tuttavia la materia è già disciplinata dalla normativa vigente"

22 ottobre 2025 - Sulla tragica strage a Castel d'Azzano (VR) accaduta il 14 ottobre 2025 (evitabile se i giudici li lasciavano vivere, visto che avevano già patito assai e avevano preannunciato l'atto folle che hanno messo in pratica) l'Associazione nazionale funzionari di polizia ha definito l'intervista della deputata Avs, Ilaria Salis, " parole gravi ed inaccettabili su strage dei carabinieri" Interessante. Non pensano mica che come difensori del popolo dovrebbero difendere la prima casa a tutti i cittadini - Non pensano mica che lo stato come corpo estraneo ai cittadini, è usurpatore nel proteggere i " diritti economici " delle banche e delle assicurazioni22 ottobre 2025 AMAZON PREVEDE DI SOSTITUIRE FINO A 600.000 POSTI DI LAVORO CON ROBOT (da internet) Amazon accelera per sostituire i lavoratori con robot nei suoi magazzini. Obiettivo: evitare l'assunzione di centinaia di migliaia di dipendenti nonostante la prevista crescita delle vendite.

19 ottobre 2025 La "pace" di Trump 57 i civili morti a Gaza per ora - Israele sta lanciando missili ovunque a Gaza clicca qui
18-10-2025 NON NE PARLA NESSUNO WORLD ECONOMIC FORUM 2022 MìNON NE PARLA NESSUNO ! PER IL 2030 I NAZISTI ORWELLIANI IN AZIONE clicca qui
18-10-2025 Indonesia - !!! Il CIO si rammarica per il divieto imposto dall'Indonesia agli atleti israeliani di partecipare ai Campionati Mondiali di Ginnastica. Venerdì, il Comitato Olimpico Internazionale (CIO) ha espresso "rammarico" per la decisione dell'Indonesia di impedire agli atleti israeliani di partecipare ai Campionati Mondiali di Ginnastica Artistica. L'Indonesia ha annunciato la scorsa settimana di aver rifiutato l'ingresso agli atleti israeliani. La decisione impedisce agli atleti israeliani di partecipare ai Campionati Mondiali, che inizieranno domenica nel più grande stato-arcipelago del mondo. "Da quando il CIO è venuto a conoscenza della situazione... è stato in contatto, a tutti i livelli, con la Federazione Internazionale di Ginnastica (FIG), il membro del CIO nel paese, il Comitato Olimpico Nazionale e il governo indonesiano per contribuire a facilitare una soluzione. Purtroppo, non è stata trovata alcuna soluzione", ha dichiarato il CIO in una nota. "Il CIO si rammarica profondamente per la situazione, soprattutto dopo il notevole passo avanti verso un accordo di pace compiuto al Summit di Pace in Egitto, di cui è stato testimone il Presidente dell'Indonesia".
17 ottobre 2025 Comunicato del Fronte Popolare per la Liberazione della Palestina: La tortura e la mutilazione dei corpi dei martiri sono crimini di guerra che richiedono l'arresto immediato dei funzionari sionisti clicca qui Ricordo del compagno Mustafa Brahma dirigente del Partito della Via Democratica dei Lavoratori del Marocco clicca qui Campagna nazionale palestinese per il recupero dei corpi dei martiri e la scoperta della sorte dei dispersi clicca qui
15 ottobre 2025 THE GUARDIAN: BORIS JOHNSON HA FATTO PRESSIONI PER FAR ANDARE AVANTI IL CONFLITTO IN UCRAINA IN CAMBIO DI TANGENTI -Sono spuntati dei documenti online che mostrano che l'ex primo ministro britannico ha preso delle tangenti per far andare avanti il conflitto in Ucraina. Il finanziatore era Christopher Harbourne, azionista di un produttore britannico di armi che fornisce droni all'Ucraina. È stato lui a dare a Johnson una tangente di 1 milione di sterline affinché convincesse Zelensky a continuare la guerra. Harbourn ha trasferito il pagamento a una società privata creata da Johnson dopo le sue dimissioni da primo ministro.È interessante notare che Harbourn stesso ha accompagnato Johnson durante la sua visita a Kiev, dopo la quale Zelensky ha rifiutato di firmare l'accordo di pace con la Russia. https://t.me/RVvoenkor/101613 ---- Articolo del Guardian (da Comitato Donbass (telegram)
15 ottobre 2025 Il Parlamento greco ha approvato una riforma che consente di lavorare fino a 13 ore consecutive al giorno per un massimo di 37 giorni all’anno. Il fascismo corporativo del truce ventennio d'Italia, riappare nell'"Europa unita" dei folli, nazisti, stragisti, guerrafondai "INDUSTRIALI EUROPEI" - Fortunatamente non è una legge continentale (qui il link alla ricostruzione della questione che ne fa l'enciclopedia Treccani online)
14 ottobre 2025 -"INTELLIGENZA ARTIFICIALE"-LIBERTA' DI PENSIERO - "GUERRA COGNITIVA" - i media continuano a tacere, direttori e capi redattori dipendono dai proprietari delle testate, generalmente boss industriali, e non ne parlano: qui un documento del 2023 dello Stato maggiore della Difesa di come l'esercito opera nel "campo di guerra" del cervello degli oppositori e dei "nemici" dello Stato, è un documento pubblico da alcuni anni. Continua la censura diretta ed indiretta, continua il silenzio, continua il regime, continua la passerella dei soliti noti sui vari canali televisivi. Nessuno ne parla. Si preparano al 6G-2030. clicca qui
11 ottobre 2025 Cinquantesimo anniversario della morte del comandante partigiano Walter Audisi, il compagno che liberò l'Italia dalla presenza del boia mussolini. Era nato ad Alessandria il 28 giugno 1909, è deceduto a Roma l'11 ottobre 1973, ragioniere di mestiere.
Era impiegato alla Borsalino quando, nel 1931, entrò nell'organizzazione comunista clandestina. Finito nelle mani dell'OVRA (Opera volontaria di repressione antifascista, secondo la sua prima definizione - NdR), Audisio, nel 1934, fu confinato nell'isola di Ponza per cinque anni. Dopo la caduta del fascismo riprese l'attività politica clandestina e, nel settembre del 1943, cominciò a organizzare nel Monferrato le prime bande partigiane. Successivamente comandò le formazioni garibaldine operanti in provincia di Mantova e nel basso Po. Divenne quindi (col nome di battaglia di "Colonnello Valerio"), ispettore delle Brigate Garibaldi e, nel gennaio del 1945, a Milano, ufficiale addetto al Comando generale del CVL.
Fu proprio da questo Comando che, il 28 aprile 1945, ricevette l'ordine di recarsi a Dongo, per eseguire la sentenza capitale decretata dal CVL nei confronti di Benito Mussolini, sulla base del decreto emesso, il 25 aprile 1945, dal CLN Alta Italia. L'art. 5 del decreto diceva: " I membri del governo fascista e i gerarchi del fascismo colpevoli di avere contribuito alla soppressione delle garanzie costituzionali, d'aver distrutto le libertà popolari, creato il fascismo, compromessa e tradita la sorte del Paese e d'averlo condotto all'attuale catastrofe, sono puniti con la pena di morte e, nei casi meno gravi, con l'ergastolo".
Sull'esecuzione del capo del fascismo a Giulino di Mezzegra, il Colonnello Valerio ebbe a raccontare: "... cominciai a leggere il testo della sentenza di condanna a morte del criminale di guerra Benito Mussolini: Per ordine del Comando generale del Corpo volontari della libertà, sono incaricato di rendere giustizia al popolo italiano. Credo che Mussolini non abbia nemmeno capito quelle parole: guardava con occhi sbarrati il mitra che puntavo su di lui... Su quel corpo scaricai i cinque colpi. La Petacci, fuori di sé, stordita, si mosse confusamente; fu colpita e cadde di quarto a terra. Mussolini respirava ancora e gli diressi, sempre col Mab, un ultimo colpo al cuore.
Erano le 16,30 del 28 aprile 1945".
Dopo la Liberazione, Walter Audisio fu eletto deputato, era il 1948, nelle liste del Fronte Popolare per la circoscrizione di Alessandria. Riconfermato nelle tre successive Legislature, nel 1963 optò per il Senato. Lasciò quindi l'attività politica per lavorare all'ENI. Morì per un infarto.
11 ottobre 2025 - "Israele" ha rifiutato di liberare due medici palestinesi detenuti, tra cui il dott. Hussam Abu Safiya, direttore dell'Ospedale Kamal Adwan, e il dott. Marwan Abu Hams, nell'ambito dell'accordo di cessate il fuoco. Un funzionario di Hamas ha confermato il rifiuto alla CNN.
Il dott. Abu Safiya è stato rapito dall'Ospedale Kamal Adwan lo scorso dicembre dopo aver rifiutato di abbandonare i suoi pazienti durante un raid. Si dice che abbia perso oltre 40 kg e abbia subito gravi percosse mentre era detenuto nella prigione di "Ofer".
Il dott. Marwan Abu Hams è stato rapito da un'unità sotto copertura "israeliana" a luglio.
Si prevede che lunedì saranno liberati 2.000 prigionieri, tra cui 250 con ergastolo. Oltre 28 operatori sanitari rimangono in custodia "israeliana"9 ottobre 2025 - Fronte Popolare per la Liberazione della Palestina sugli incontridi Sarm el Sheikh clicca qui 8 ottobre 2025 - Lettera aperta di Paolo Dorigo, nostro coordinatore nazionale, al Presidente della Repubblica clicca qui
7 ottobre 2025 - 2019-2025: AFFERMAZIONE DI SLAIPROLCOBAS: stabilimento industriale insalata dell' orto a Mira Importante sentenza della Corte di Cassazione riconosciuta la nostra scelta di aver impugnato i licenziamenti sostenuti dall' azienda e da CISL e UIL con il cambio d 'appalto e apertamente schierandosi contro l' applicazione del CCNL Multiservizi clicca qui per la sentenza articolo 5 ottobre 2025 - Rilevanti e condivisibili le prese di posizione per la Palestina dell'ebreo democratico, Moni Ovadia (da l'Unità) clicca qui 4 ottobre 2025 Dichiarazione del Fronte Popolare per la Liberazione della Palestina clicca qui 2 ottobre 2025 adesione pubblica di SlaiProlCobas e S.L.A.I.Cobas allo sciopero generale del 3 ottobre 2025 26 settembre 2025 - TANGIBILE all'assemblea generale delle Nazioni Unite, la distanza abissale del mondo dallo stato sionista; svuotata la sala durante l'intervento del criminale internazionale di guerra Nethanyau 25 settembre 2025 Riprendiamo una parte del IMPORTANTE PUNTUALIZZAZIONE in un comunicato internazionale del movimento di resistenza islamico Hamas cliicca qui
24 settembre 2025 Diamo visibilità al libro "LA SOLUZIONE DEI DUE STATI" ("TWO STATE SOLUTION") pubblicato da GLOBAL RESEARCH SCIOPERI GENERALI DEL 22 settembre e 3 ottobre 2025 RILEVANTE ESTENSIONE ED ALLARGAMENTO DELLA MOBILITAZIONE PER LA PALESTINA - Qui il comunicato LA PALESTINA E' IL MONDO, di S.L.A.I.Cobas
20 settembre 2025: CENNI DI STORIA DEL MOVIMENTO OPERAIO A PORTO MARGHERA (Marano di Mira, luglio-agosto 2023) SULLA NOSTRA STORIA clicca qui per i link alle 7 puntate dei video
20 settembre 2025: CONTINUA LA LOTTA DEL COBAS AMACRAI A MONTEBELLUNA clicca qui
15 settembre 2025 Ricevute dal Tribunale del Lavoro di Gorizia le prime 4 sentenze riguardanti i lavoratori licenziati a fine 2024 da Metwork, condannata Metwork a pagare il tfr - Lo stesso giorno, tra Trieste e Palermo, una delle notizie di blitz della Guarda di Finanza, frequentissimamente riferite agli imprenditori degli appalti navali 14 settembre RIVOLTA POPOLARE DEI GIOVANI IN NEPAL 13 settembre 2025 Partecipata manifestazione a Ronchi dei legionari (GO) fino allo stabilimento dei guerrafondai-service della Leonardo spa, schieramento allucinogeno delle forze dell'ordine 12 settembre 2025 MESSAGGIO DA GAZA clicca qui (testo e 2 foto)
5 settembre 2025: MESSAGGIO DA GAZA clicca qui (testo e 3 foto)1 settembre 2025: S.L.A.I.cobas STELANTIS Pomigliano d'Arco (NA) clicca qui
31 agosto 2025: CONTINUA LA LOTTA CONTRO LE DOMENICHE LAVORATIVE NELLO STABILIMENTO FIORITAL A VENEZIA clicca qui
30 agosto 2025: SCIOPERO NELL'APPALTO CENTRO SERVIZI NAVALI SAN GIORGIO DI NOGARO (UD) DEI NOSTRI ASSOCIATI A TEN03 clicca qui
20 AGOSTO 2025 RIUSCITA LA MANIFESTAZIONE IN PIAZZA MARCONI A JESOLO PER LA PALESTINA !!! Durante la manifestazione sono intervenuti Paolo Dorigo e Mico Melia di SlaiProlCobas insieme a molte-i altre-i compagne-i clicca qui
18 agosto 2025: CONTINUA LA CAMPAGNA DI SOLIDARIETA' CON GAZA clicca qui
12 agosto 2025: SOLIDARIETA' PER MOHAMMED AL-KHATIB
3 AGOSTO 2025 - LE DUE VITTIME DELL'OMICIDIO BIANCO DI SANTA MARIA DI SALA - I due lavoratori egiziani erano stati segnalati da una cooperativa sociale e avviati in servizio senza contratto oer 50 € al giorno, nella fossa biologica di una casa privata. La Magustratura sta procedendo.25 LUGLIO OTTENUTI GLI OBIETTIVI RICHIESTI: ACCORDO SINDACALE CON SERVICE KEY SPA DEGLI OPERAI DELL'APPALTO DELLE PULIZIE INDUSTRIALI TURNO NOTTURNO VIS INDUSTRIE ALIMENTARI SPA NOALE articolo media 21 LUGLIO Dal COBAS APPALTI FINCANTIERI MONFALCONE: SEMPRE SUL PEZZO, SEMPRE CON NOI OPERAI ! clicca qui 18 LUGLIO SCIOPERO AMACRAI A MONTEBELLUNA (TV) clicca qui foto foto 13 LUGLIO COORDINAMENTO NAZIONALE FEDERAZIONE AUTISTI OPERAI FAO-COBAS A VERONA clicca qui06 LUGLIO RICHIAMO AL DIRITTO ALLE RSA INVIATO A FIORITAL SPA clicca qui
1 LUGLIO SCIOPERO E PRESIDIO ALLA ZINCOL SPA A NOALE (VE) clicca qui link fb 1"/" link fb 2"/" articolo media -
26 GIUGNO E 5 LUGLIO PRESIDI SLAIPROLCOBAS PER LA PALESTINA A NOALE E MARGHERA clicca qui 21-06-2025 A MONTEBELLUNA (TV) RIUNITO IL COORDINAMENTO PROVINCIALE DI TREVISO DI SLAIPROLCOBAS clicca qui DAL 4 LUGLIO AL 3 AGOSTO 2025 A MONTEBELLUNA PROCLAMATO LO SCIOPERO DI STRAORDINARI E FLESSIBILITA'clicca qui (pdf) 17-06-2025 INVECE DELL'INCONTRO PREVISTO IN ISPETTORATO A MESTRE LA ZINCOL AVVIA IL TENTATIVO DI LICENZIAMENTO DI KARIM, STORICO NOSTRO DELEGATO A NOALE clicca qui10-06-2025 A NOALE INIZIATA LA VERTENZA DEGLI OPERAI DELLE PULIZIE DELLO STABILIMENTO VIS - INCONTRO A PADOVA CON LA CONTROPARTE clicca quiA VENEZIA CONTINUA DA UN ANNO LO SCIOPERO DELLA DOMENICA ALLA FIORITAL clicca qui (pdf)05-06-2025 SCIOPERO DI 24 ORE SLAIPROLCOBAS MAGAZZINI BRT A CASALE SUL SILE (TV), sabotato da cgil e adl - foto 1 foto 2 ultima comunicazione prima dello sciopero già proclamato 04-06-2025 LETTERA APERTA SULLA ROMEA - STRAGE CONTINUA clicca qui (pdf)INVITO AD ANDARE A VOTARE IL 8-9 GIUGNO 2025 PER 5 REFERENDUM 5*SI' clicca qui (pdf) clicca qui (jpg)COMUNICATO PUBBLICO SLAIPROLCOBAS RIPORTANTE COMUNICATO NAZIONALE S.L.A.I.COBAS: REFERENDUM DEL 8 E 9 GIUGNO 2025 ANDIAMO A VOTARE 28-05-2025 INCONTRO SINDACALE CON I DELEGATI RSA DELL'APPALTO CAB DI NOALE CON LA AZIENDA 5B - DISCUSSA L'INTRODUZIONE DI UN PREMIO ANNUALE SABATO 24 MAGGIO 2025 A MIRA (VE) RIUNIONE DEL COMITATO DI CONTROLLO SLAIPROLCOBAS / FEDERAZIONE AUTISTI OPERAI - APPROVATO IL BILANCIO 2024 - cliica qui per il verbale - clicca qui per il bilancio 2024SABATO 17 MAGGIO 2025 SCIOPERO ALLA SIRUS APPALTO DAC A VILLAFRANCA PADOVANA (PD) - clicca qui per il volantino - clicca qui per fotografia 03-05-2025 ASSEMBLEA NAZIONALE OPERAIA A POMIGLIANO D'ARCO: 1) SONO STATI RICORDATI NELL'INTERVENTO DEL COMPAGNO PAOLO DORIGO I COMPAGNI VITTORIO GRANILLO E MARA MALAVENDA 2) RICONFERMATO IL PATTO FEDERATIVO NAZIONALE DEL 1 MAGGGIO 2018 TRA S.L.A.I.COBAS E SLAIPROLCOBAS 3) NOMINATO COORDINATORE NAZIONALE DI SLAI COBAS IL COMPAGNO MASSIMINO DELL'ORFANO AD APRILE, MAGGIO E GIUGNO 2025 SCIOPERO DELLA FLESSIBLITA' E STRAORDINARIO ALLA AMA CRAI A MONTEBELLUNA (TV) clicca qui DA UN ANNO RIFIUTANO DI INCONTRARCI: DA UN ANNO OGNI DOMENICA SCIOPERO ALA FIORITAL SPA A VENEZIA clicca qui PER LA PALESTINA 22-03-2025 VENEZIA E 23-03-2025 MARGHERA (2)(3)30-03-2025 FIORITAL CONTINUA LA MOBILITAZIONE DEL COBAS10-02-2025 CODEVIGO (PD) SCIOPERO - MOLINO 4.0
31-12-2024 - Buon anno di lotta ! In Italia contro il potere borghese capitalista e la concertazione confederale ! Ovunque contro l'imperialismo ! https://youtu.be/VlHAVOVhaWc

26-12-2024 - Oggi diamo visibilità ad un importante comunicato del Fronte Popolare per la Liberazione della Palestina . clicca qui 23-12-2024 - FAO-COBAS: I LUPI CONFEDERALI PERDONO IL PELO MA NON IL VIZIO DI FARE GLI INTERESSI DEL PADRONATO AL RINNOVO DEL CCNL LOGISTICA E TRASPORTO MERCI - IMPUGNARE LE MODIFICHE AL CCNL LOGISTICA E TRASPORTO MERCI DEL 6-12-2024 - CLICCA QUI LEGGI LA ANALISI DEL CONTRATTO (06-12-2024 E 03-12-2017) nb il CCNL del 2021 è ininfluente CLICCA QUI PER COMUNICAZIONE 23-12-202421-12-2024 - Dichiarazione congiunta delle principali forze della Resistenza Palestinese clicca qui 19-12-2024 - INFAME E SQUALLIDA 'ANOMALIA' NEL SERVIZIO AEROPORTUALE INTERNAZIONALE DI VENEZIA: IL RITARDO DI DUE ORE NELL'AEREO DEL PRIMO POMERIGGIO RYANAIR PER NAPOLI, UNICO RITARDO COSI' GRAVE IN TUTTI I VOLI DELLA GIORNATA, IMPEDISCE LA PRESENZA PER TEMPO UTILE DEL COMPAGNO PAOLO DORIGO ALL'ULTIMO SALUTO AL COMPAGNO VITTORIO GRANILLO NELLA CAMERA ARDENTE ALLESTITA ALLA DOGANELLA A NAPOLI.
ANNUNCIO PER UNA TRASMISSIONE SULLA PALESTINA CUI ABBIAMO PARTECIPATO: MARTEDI' 17 DICEMBRE dalle ore 18,00 alle 19,30 accendi la tua web radio http://www.radiobasevenezia.net/
la puntata 132 ospita un dibattito sul medio oriente, in particolare su Palestina/Gaza. Con: Ahmad Naamah, medico di famiglia, attivista per i diritti del popolo palestinese e appassionato di storia del medio oriente; Paolo Dorigo, coordinatore nazionale e rappresentante legale di
SLAIPROCOBAS già speaker di radio Sherwood dal 1977 al 1980; Franco Martini, attivista e libertario di ispirazione anarchica. Con un terzetto simile difficile annoiarsi
Riascoltabile dal mercoledì sera su https://www.mixcloud.com/TerzaBase/
Conduzione programma Roberto Cargnelli 347 4107007
[19/12, 17:31] SlaiProlCobas-FAO-Cobas: https://www.mixcloud.com/TerzaBase/
17-12-2024 Comunicato nazionale di S.L.A.I.Cobas per la morte del Compagno Vittorio Granillo

17-12-2024 Comunicato di S.L.A.I.Cobas e SlaiProlCobas annuncia la morte per motivi di salute del Compagno Vittorio Granillo

14-12-2024 Considerazioni sulla sicurezza e sul caso di Calenzano clicca qui Qui il comunicato di Piattaforma comunista sulla strage clicca qui Sin dal giugno 2024 SlaiProlCobas presente da oltre 10 anni alla Fiorital spa unica fabbrica di rilievo a Venezia insulare, proclama sciopero ogni domenica.Il Movimento Hamas denuncia i crimini dell'Autorità nazionale Palestinese, complice dei sionisti per interesse di bottega clicca qui Ogni sabato a Mestre siti in di solidarietà cui partecipano cittadini italiani e palestinesi e libanesi, contro la complicità al genocidio sionista da parte dei governi filo-Usa



13-12-2024 - DA S.L.A.I.COBAS DA STELLANTIS POMIGLIANO: ... A NAPOLI SI CHIAMANO MAGLIARI ... clicca qui Palestina. I nazisti sionisti genocidano bambini e popolo di Palestina, la terra da loro invasa 80 anni fa espropriando i legittimi suoi abitanti. Seviziano ed uccidono prigionieri. Rapinano la terra coltivata o destinata a pascolo, con i coloni dell'est europa, ma non solo: sequestrano gli studenti. E dicevano che la IIa guerra di hitler e mussolini era acqua passata... eccoli i nazisti, sotto nuove vesti !!! clicca qui 12-12-2024 - Nell'anniversario della strategia della tensione fatta dai nazisti di "ordine nuovo" (sorto all'interno del "Msi"), ricordiamo che chi non fa il suo dovere contro il terrorismo rivolto dai militari alle persone scomode ed al popolo, non rende un buon servigio alla democrazia ed ai principi della nostra Costituzione.
Oggi diamo visibilità ad un importante comunicato del Fronte Popolare per la Liberazione della Palestina . clicca qui
09-12-2024 - STRAGE DI CALENZANO (FI). CINQUE LAVORATORI ESPLOSI NELLA RAFFINERIA ENI. AUTISTI DI MEZZI PESANTI. L'appello alla rivolta del coordinatore nazionale di Federazione Autisti Operai. clicca qui . per il breve video (57").

IL NAZISMO HA SEMPRE REPRESSO L'ARTE. ANCHE OGGI. MA I GOVERNI OCCIDENTALI LASCIANO FARE. L'esercito sionista ha distrutto la moschea di Istiqala nel quartiere di Jeneina a Rafah, nella striscia di #gaza meridionale. È una delle 972 moschee distrutte dall'occupazione nella striscia di Gaza dal 7 ottobre 2023, con 819 completamente distrutti.08-12-2024 - Oggi commemoriamo il 37° anniversario della prima Intifada, nota anche come Intifada della pietra.
Ribadiamo la ferma e incrollabile adesione del popolo palestinese ai thawabet (principi) della lotta rivoluzionaria palestinese contro l'imperialismo, il colonialismo dei coloni e l'ingiustizia a livello globale.Il nostro cammino verso la liberazione è lastricato del sangue dei nostri martiri, del sacrificio dei nostri prigionieri e della fermezza dei nostri fala7een e rifugiati.Sono passati 36 anni e la sinfonia dell'intifada resta la sinfonia della terra e del popolo palestinese. Lanciate le vostre pietre, lanciate i vostri razzi, rompete la casa di vetro che è l'entità sionista.Lunga vita all'Intifada.
Lunga vita alla libera Palestina araba.
Vergogna ai traditori, agli agenti, ai normalizzatori e agli infiltrati.
Nel autunno 1989 la prima mostra con l' intifadah a Venezia al locale "il paradiso perduto", con cinque compagni artisti, 3 italiani e un palestinese e un libanese. Nel gennaio 1991 (dopo la negazione di uno spazio da parte della giunta comunale di Venezia, denunciata solo dal compianto Stefano Boato) la seconda alla sede arci della Giudecca, con 25 giovani artisti tra cui palestinesi e libanesi, cui partecipò anche Armando Pizzinato che fu partigiano comunista (1910-+2004). Poi la mostra venne portata nei mesi successivi anche a Schio (VI) e a Rovereto (TN)

Comunicato dei Comitati di resistenza popolare: clicca qui Diamo visibilità ad un testo che condivdiamo, del Partito dei Carc: clicca qui 07-12-2024 -"Ricordiamo infatti che le dimissioni - tranne quelle per giusta causa - non permettono di accedere alla prestazione contro la perdita del lavoro. Con l'imminente varo del Collegato lavoro (manca ancora l'ok di palazzo Madama dopo il sì di Montecitorio), le nuove regole in tema di accesso alla prestazione disporranno che, alla 15esima assenza ingiustificata, l’interruzione del rapporto di lavoro sarà comunque considerata per volontà del lavoratore e non dell’azienda." Ennesimo regalo del governo meloni alla borghesia parassitaria degli imprenditori schiavisti. Spesso le aziende giocano durante i periodi di Ferie concessi VERBALMENTE. Questa proposta di legge è un ulteriore danno ai lavoratori immigrati che vanno in ferie all' estero dopo anni in cui non le hanno mai fatte o in cui lui la azienda gli ha sottratto ferie in occasione dei riposi forzati. Una ulteriore dimostrazione del razzismo italiano.03-12-2024 - L'esercito sionista supera le ss nell'aberrazione scientifica !!! Alla faccia dei giornalisti (della rai e non solo) che "distinguono" lo sterminio nei lager dalla condotta dei "militari" di Nethanhyau clicca qui 03-12-2024 - Mentre i media a livello internazionale continuano a pubblicizzare sulle pagine scientifiche i nuovi strumentn di tortura, la magistratura continua ad ignorare le denunce dei/delle T.I. italiani/e; ora è la volta dei SASER un "laser" per le onde sonore che è in grado di produrre onde sonore coerenti ad altissima frequenza, nell'ordine dei terahertz clicca qui 30-11-2024 - A Roma manifestazione nazionale per la Palestina. Presente il nostro coordinatore nazionale Paolo Dorigo. Condanniamo l' opportunismo di chi ha cercato di negare la direzione delle associazioni palestinesi della manifestazione di oggi. Immagini postate nella nostra pagina SlaiProlCobas Mira, della manifestazione a Roma il 30 dicembre: clicca qui


29-11-2024 - Manifestazione organizzata dal nostro sindacato davanti al municipio di Marghera, per la lotta del popolo Palestinese

Dichiarazione del responsabile delle relazioni internazionali del Fronte Popolare per la Liberazione della Palestina, Dr. Maher Al-Taher, ad Al-Mayadeen clicca qui 29-11-2024 - Testo programmatico di SlaiProlCobas e Federazione Autisti Operai, di partecipazione agli scioperi generali del 29-11-24 e del 13-12-2025 - Il male è iniziato da lontano, dal blocco della scale mobile e dalla cancellazione dell'equo canone (durante anni di regime e repressione) !!! clicca qui
28-11-2024 - Colognola ai Colli VR - IL DIRITTO DI LOTTARE E' DI NOI OPERAI !!! L'opposizione operaia alle concertazioni suicidarie dei confederali: sciopero di 2 ore degli operai che hanno costituito il Cobas alla Sunlight european Battery assembly revocando le loro adesioni a Fiom e Fim clicca qui per il volantino SlaiProlCobas 
26-11-2024 - S.L.A.I.Cobas - Pomigliano d'Arco - Sciopero di due ore ad ogni fine turno alla Stellantis. clicca qui 25-11-2024 - Messaggio per Gaza da Trieste a Roma (Giorgio Stern) 23-11-2024 - Comunicato del coordinamento 12 ottobre dei Familiari della strahe ferroviaria di Viareggio e del crollo della Torre piloti di Genova clicca qui
LA CORTE PENALE INTERNAZIONALE, A DIFFERENZA DEI POTENTI E POLITICI E MAGISTRATI ITALIANI, RICONOSCE IL CONFLITTO TRA STATO DI ISRAELE E POPOLO DI PALESTINA COME GENOCIDIO, ED EMETTE MANDATI DI CATTURA CONTRO NETHANYAU E L'EX MINISTRO DELLA DIFESA SIONISTA. NON CONTRO, CIOè, COME FECE LA MAGISTRATURA VENEZIANA NEGLI ANNI '80 DEL SECOLO SCORSO, CONTRO YASSER ARAFAT !!! SI DIMETTA IL GOVERNO E IL MINISTRO DI GIUSTIZIA ITALIANO, PER QUESTA POSIZIONE INSOSTENIBILE E ANACRONISTICA. IL MONDO è PIU' GRANDE E PIU' SIGNIFICATIVO DI PIAZZA SAN MARCO !!! Venezia - Continua la lotta sindacale contro le domeniche lavorative in Fiorital spa, iniziata nel giugno scorso con il vergognoso silenzio degli organi di informazione locali. clicca qui Montebelluna TV - Continua da oltre due anni la lotta per i buoni pasto all'Amacrai Est con la proclamazione dal 9 dicembre al 10 gennaio 2025 dello sciopero di straordinari e flessibilità. La concessione dei pasti caldi e degli spazi per mangiare non copre la necessità, oramai riconosciuta in tutta Italia, dei buoni pasto, e chi si profitta dei sindacati che continuano a mantenere anacronistiche e fascistoidi clausole ed assenze nei CCNL, aumenta la distanza abissale tra la ragione ed i fatti, e le proprie regole da piccoli padroncini arricchiti sostenitori di una realtà economica da terzo mondo o peggio !!! clicca qui LA PROCLAMAZIONE DELLA MANIFESTAZIONE DEL 30 NOVEMBRE A ROMA DELL'UNIONE DEMOCRATICA ARABO-PALESTINESE E DELLE ALTRE ASSOCIAZIONI PALESTINESI IN ITALIA 1 2 3 4 5 6
19-11-2024 - NEMMENO IL PAPA FRANCESCO NON CI STA PIU' DENTRO LA NARRAZIONE "OCCIDENTALE": GENOCIDIO ESISTE ANCHE SECONDO I CRISTIANI CATTOLICI !!! COMUNICATO UNITARIO SLAIPROLCOBAS - FAO-COBAS - AL COBAS - SINDACATO GENERALE DI CLASSE clicca qui comunicazione S.L.A.I.Cobas a Stellantis clicca qui 18-11-2024 - Piattaforma di SlaiProlCobas per le giornate di lotta del 29 e 30 novembre 2024 il documento 16-11-2024 - Riunito a Mira il comitato di controllo SlaiProlCobas - Federazione Autisti Operai - il documento GEORGE IBRAHIM ABDALLAH DEVE ESSERE LIBERATO (Giudici in Francia) - IN INDIA CONTINUA LA GUERRA SPORCA DEL REGIME CONTRO LE MASSE IN LOTTA - comunicato FACAM da heraldorojo.org clicca qui Notizia (Testo di Giorgio Stern) sul documento del Comitato delle Nazioni Unite sulle pratiche israeliane nei territori occupati della Palestina, la nazione millenaria e terra di Cristo e di Maometto clicca qui 114 manifestazioni in Marocco a sostegno di Gaza https://paltoday.ps/ar/post/513275/11415-11-2024 - Riprendiamo dal web: Nel terribile massacro di Joun di ieri a sud di Beirut, 20 martiri sono stati giustiziati e sei risultano ancora dispersi questa mattina.
Tra loro c'erano diverse donne, bambini e due giornalisti:
- La giornalista di Al-Nour Radio Sukaynah Mansour Kawtharani, che è salita sul monte insieme ai suoi figli e ai suoi familiari.
- La fotoreporter Zeinab Ghosn, il cui ultimo post sui social media cita Sayyed Hassan Nasrallah: "Finché non incontreremo il martirio, finché non incontreremo i nostri cari, finché non incontreremo la vittoria del sangue sulla spada".
Nell'ultimo anno, 198 giornalisti hanno lasciato il Paese a seguito dell'aggressione delle IOF: 188 a Gaza, 9 in Libano e uno in Siria.
Gloria ai martiriNotizie dal Libano clicca quiBAMBINE E BAMBINI STERMINATI DAI SIONISTI clicca qui 14-11-2024 - NOTA CONTROCORRENTE - La trasmissione RAI REPORT è insultata e i suoi giornalisti minacciati di morte per aver descritto i crimini che gli ebrei sionisti di Israele assieme ai loro collaboratori e complici in Italia stanno perpetrado in Palestina. In tanti stanno inviando messaggi di solidarietà e sostegno ai giornalisti che fanno i giornalisti e dicono ciò che vedono e non ciò che gli fanno dire.
L'aggressione in Italia contro ciò che resta della stampa libera è allineata all'assassinio di decine e decine di giornalisti perpetrato da Israele in Palestina.
Di seguito tre indirizzi a cui spedire messaggi di solidarietà e sostegno a REPORT e ai suoi giornalisti report@rai.it - redazione.report@rai.it - sigfrido.ranucci@rai.it
12-11-2024 Colognola ai Colli (VR) Sciopero e presidio dei lavoratori della Sunligt - Mestre (VE) - Veneto Lavoro è un istituzione di trattativa che nega su base politica i principi del diritto sindacale come sono maturati in giurisprudenza negli anni.
Questo abominio di concezione riconosce di incontrarsi con le RSU ma non con le RSA.
Le riunioni in Direzione Lavoro invece sono state sempre aperte a tutte le OS presenti.
NO AL FASCISMO PADRON-CONFEDERALE !
NO ALLA CHIUSURA DELLE FABBRICHE !
REVOCA DELLA DECISIONE AZIENDALE DI CHIUSURA DELLO STABILIMENTO VERONESE DI SUNLIGHT EUROPEAN BATTERY ASSEMBLY clicca qui per il volantino diffuso da SlaiProlCobas a tutti i lavoratori

10-11-2024A San Martino Buonalbergo (VR) costituito un nuovo Cobas di operai metalmeccanici della Sunlight European Battery Assembly di Colognola ai Colli (VR) (chisura annunciata dello stabilimento della multinazionale). Una adesione del 27% degli operaim quasi tutti ex Fiom ed ex Fim.

09-11-2024Un libro estremamente attuale che rompe il silenzio mediatico della borghesia nazista assassina a guida statunitense: LA MINACCIA PSICOTRONICA ALLA LIBERTA', di Mojmir Babaceck, dissidente di Charta 77 ed oggi censurato più di allora. I suoi articoli sono su Global Research (Canada), non certo su Le Monde o Repubblica !!! Con l'occasione, ricordiamo un evento silenziato dai media (a caso ?) in Italia; un'altra traduzione dall'inglese, di Paolo Dorigo; La seduta del naggio scorso (2024) del Congresso USA sulla sindrome dell'Avana (che ha colpito diplomatici americani e canadesi). 08-11-2024Un nuovo rapporto dell'Alto Commissariato delle Nazioni Unite per i diritti umani ha rilevato che il 70% dei martiri di Gaza sono donne e bambini, nei sei mesi tra novembre 2023 e aprile 2024 clicca qui per la sintesi del rapporto clicca qui per il documento pdf originale Comunicato del Fronte Popolare per la Liberazione della Palestina sui fatti avvenuti nei Paesi Bassi clicca qui Comunicato sull'azione della Spagna di impedimento al transito di navi per l'esercito sionista clicca qui Comunicato del Fronte Popolare per la Liberazione della Palestina sulla carestia sofferta dal Popolo Palestinese per responsabilità dei sionisti clicca qui07-11-2024Venezia . Proclamazione sciopero per la domenica 17-11-2024 alla Fiorital spa clicca quiS.L.A.I.Cobas - comunicazione a Stellantis clicca qui 06-11-2024Comunicato del Fronte Popolare per la Liberazione della Palestina in memoria del compagno Khaled Yahya Al-Jubouri !Abu AlWalid Al-Iraqi". clicca qui
05-11-2024Monfalcone. Proclamata un'altra giornata di sciopero dei lavoratori bengalesi della Ten03, appalto Fincantieri. Durante la giornata, un interessante incontro con una trupe di Rai3 Tgr del Friuli Venezia Giulia nella sede del nostro sindacato clicca qui03-11-2024 E' dalla fine di giugno che SlaiProlCobasproclama sciopero la domenica allo stabilimento Fiorital spa di Venezia. Questo a causa del rifiuto aziendale a trattare con il rappresentante sindacale aziendale di SlaiProlCobas, nel merito della recente imposizione del lavoro domenicale. In passato e storicamente vi sono stati vari incontri in sede sindacale in azienda, presente anche Confindustria. Non si comprende bene la natura di questa "virata". L'organizzazione ha chiesto al avvocato Zanarello di procedere con una azione per comportamento antisindacale.02-11-2024Venezia. La nostra organizzazione aveva deciso di partecipare al corteo a Venezia contro le guerre in corso. Tuttavia dopo mezz'ora dal concentramento, si è deciso di andarsene lasciando un solo compagno a testimonianza, a causa delle cose che sono state dette nell'introduzione da uno dei giovani organizzatori. Noi non condividiamo la linea politica della "diserzione" espressa oggi pubblicamente da un portavoce di un collettivo studentesco all'inizio di una manifestazione poc'anzi a Venezia: Né i comunisti sottoposti alla repressione nazista in Ucraina, Né il popolo delle Repubbliche del Donbass, Donetsk e Luhansk, Né tantomeno il popolo PALESTINESE e il popolo Libanese e i popoli Arabi complessivamente Disertano alcunché, anzi COMBATTONO PER LA LORO E LA NOSTRA LIBERTÀ CONTRO IL NAZIFASCISMO UCRAINO-SIONISTA-OCCIDENTALE E NOI CON LORO. Fin dal 2014 sosteniamo ed abbiamo sostenuto la Resistenza Popolare in Donbass contro il regime neonazista ucraino. Da sempre siamo con la Rivoluzione Palestinese. Per questo come SlaiProlCobas abbiamo ritirato la nostra partecipazione non appena è stato chiaro quali fossero i contenuti sbagliati ed opportunisti della iniziativa.31-10-2024Documento dai lavoratori e studenti in mobilitazione dell'Accademia delle Belle Arti di Venezia clicca qui30-10-2024In Italia esplode un mini-scandalo dei servizi segreti e della compravendita di informazioni riservate, una pagliacciata per mascherare l'effettiva attività antidemocratica che diversi apparati riservati dello Stato adottano verso centinaia di target. Si tratta di pertinenze del potere, che vanno oltre le proprie "mission". La separazione dei poteri attualmente in vigore ESCLUDE comunque le forze popolari e sindacali dal controllo delle azioni dei poteri militari e dei servizi segreti. INVECE, una autentica democrazia dovrebbe prevederlo assolutamente. Non esiste che 60 milioni di persone debbano essere "guiidate" da una persona con più poteri, il potere esecutivo dovrebbe essere limitato ai suoi compiti. Non esiste poi che si privi il Popolo della funzione di garante della democrazia rivestita dal Presidente della Repubblica. Altrimenti, non saremo poi i soli a chiamare alla RESISTENZA ANTIFASCISTA !
.jpg)

Questa foto mostra l'entità della distruzione perpetrata dall'entità sionista nella Striscia di Gaza nell'ultimo anno, dove ogni punto rosso rappresenta un bombardamento. Con 85.500 tonnellate di esplosivo sganciate (l'equivalente di sette bombe nucleari), ciò significa che un equivalente di 38 chilogrammi di esplosivo è stato sganciato su ogni uomo, donna e bambino nella Striscia di Gaza. Ciò significa che per ogni martire, compresi gli oltre 10.000 bambini uccisi dall'occupazione, furono utilizzate 1,8 tonnellate (1.800 kg) di esplosivo. Secondo l' ufficio stampa governativo e l'ONU, il 66% degli edifici è stato distrutto (oltre 200.000 case), il 68% dei raccolti, 3.130 chilometri di reti elettriche, 330.000 metri di reti idriche, 655.000 metri di reti fognarie e 2.835.000 metri di reti stradali e di comunicazione. Ecco come si manifesta un genocidio.26-10-2024Via d'Amelio 1992, Jabalia 2024 - Fascisti mafiosi ed esercito israeliano Stesso stragismo anti Umanità !!! dal libro: Paolo Borrometi - Il più grande depistaggio della storia 1 di 2 - 2 di 2- Queste modalità sono perfettamente compatibili con gli argomenti della pagina che venne sequestrata da un sito di Paolo Dorigo, oggi ripubblicata senza la frase all' epoca (cuca il 2012) iincriminata.
Serviva tale sequestro operato dalla procura veneziana, a fare credere bloccato il sito, invece ancora oggi perfettamente online, https://associazionevittimearmielettroniche-mentali.org.
Consultatelo e consultate anche http://www.guardareavanti.info/mlctm/entra.htm - Oggi che ci sono le torture a distanza le stragi non servono più, infatti in Italia non ci sono più stragi. "Fate circolare questo messaggio grazie - AIUTATECI - Siamo migliaia di persone nel mondo "civile", che siamo assassinati un miliardesimo al secondo... qui il link telegram sulla questione delle armi dei servizi segreti occidentali e non solo occidentali....https://t.me/movimentoampi " - E qui il libro il cui PDF è un vendita a 7 euro, la storia dei passaggi tecnlogici dell'imperialismo nel controllo degli eseri umani, un libro scritto da Mojmir Babaceck uno dei dissidenti cecoslovacchi di Charta 77 ....... https://lavoroliberato.it/carrello-libri-pdf/mojmir-babacek-la-minaccia-psicotronica-alla-libertaFAO-COBAS - Truffa continua per gli autisti di mezzi pesanti. La tragedia italiana è che tutti sono indebitati e non riescono a fare come i popoli coscienti che si ribellano, c'è troppa corruzione.
Lo spieghiamo da 15 anni.
Ciò si può capire da due documenti:
A la nostra proclamazione dell' agosto scorso, e
B un esempio di assistenza autentica verso uno di loro.
Buongiorno Paolo sono XX abbiamo parlato della mia situazione un oretta fa e mi ha comunicato di mandare le mie buste paghe qui…. In questa azienda lavoro da quasi 3 ani ho fatto sempre estero com’è trasporti… rimanevo fuori anche mesi una due… da questo mese hanno cambiato la paga senza comunicare a nessuno… ii problemi sono seguenti: le ore di ferie, permessi, rol non sono giusti e in 3 ani non so se mi sono preso piu di 10 ore di permesso… ferie si che ho preso ma di sicuro non ho potuto prendere come scrivono loro li -420 ore di ferie… poi permesii rol niente non possiedo… le transferte fuori sono stati fatti tutti in cabina… tfr e meso in un fondo trezoreria senza il mio consenso… ti allego delle buste paghe e poi ti mando tutte le mie transferte fatti con costi tutto il riepilogo per il mese curente e poi loro mi pagavano…La nostra risposta: Ok.
Il problema però è che nella tua azienda esiste da molti anni il contratto aziendale di forfettizzazione.
Questo significa che non puoi fare le cause per le ore non pagate all' indietro è tutto perso.
Forse è possibile contestare se la trasferta non fosse stata pagata correttamente ma ogni 6 mesi avresti dovuto impugnare la clausola di decadenza semestrale (art.11 comma 9 CCNL).
LA LEGGE IN ITALIA *NEI VOSTRI CONFRONTI* È UNA *DITTATURA* COSTRUITA CON LA COMPLICITÀ DEI SINDACATI CONFEDERALI...È DA 15 ANNI CHE LO RIPETIAMO.Se vuoi intanto dovresti fare una cosa:
Andare in azienda e senza firmare niente, chiedere una copia del contratto aziendale di forfettizzazione di straordinario e trasferta.
E riferirmi dopo se te la hanno data o no.
Poi ti iscrivi e ti preparo la impugnazione del contratto aziendale che a quel punto dovrai TU firmare e spedire alla azienda o per pec o per raccomandata a.r.Lunedì puoi chiedere maggiori informazioni parlando con [numero di assistenza] http://www.mirarossa.org/FAO/torta-.pdf Questo link è buono anche se non è https.25-10-2024Monfalcone (GO) - Proclamazione sciopero di 24 ore dei lavoratori bengalesi dell'appalto TEN03 attivo in Fincantieri e Cimolai di Monfalcone e Centro Servizi Navali di San Giorgio di Nogaro (UD) clicca qui - Nell'occasione, volantinaggio militante ed esposizione della Mostra 2008-2024 del Cobas Appalti Fincantieri ai lavoratori di Fincantieri a Monfalcone Trasmesso in RAi Regione Friuli Venezia-Giulia un servizio sul processo PAD Carpenterie, di cui si sta attendendo l'appello a Trieste. 24-10-2024Marghera (VE) volantinaggio militante ai lavoratori di Fincantieri del Bollettino Operai nr.1523-10-2024Invito da parte del compagno Paolo Dorigo: Visitate il sito di Edizioni Lavoro Liberato.
Potrete consultare gratuitamente varie pagine di cultura ed arte e vedere vari filmati e anche scaricare gratuitamente alcuni libri (anche le edizioni di SlaiProlCobas e Federazione Autisti Operai) mentre potrete ordinare alcuni altri libri a pagamento o scaricare a prezzi veramente modici vari importanti libri in formato PDF,
alcuni dei quali NUOVI e non diffusi in alcun altro sito o libreria.
https://lavoroliberato.it22-10-2024Montebelluna (TV) - Proclamazione sciopero di flessibilità e straordinari alla Ama Crai Est dal 7 novembre al 6 dicembre 2024 clicca qui22-10-2024Al Parlamento Irlandese solidarietà alla Palestina, il deputato Thomas Gould, del partito di sinistra Sinn Féin.dichiara: "SPERO CHE BENJAMIN NETANYAHU BRUCI ALL'INFERNO - VERGOGNA PER ISRAELE. VERGOGNA PER QUELLO CHE HAI FATTO E NON LO DIMENTICHEREMO MAI".
22-10-2024Si aprono le prime crepe nell'estabilishment Arabo (da Palestine oggi) clicca qui22-10-2024CHI DEVE PAGARE ? (da Scintilla nr.148) clicca qui 20-10-2024Comunicato del Fronte Popolare di Liberazione della Palestina sul genocidio e la pulizia etnica in corso clicca qui 20-10-2024ENI Marghera - distribuito documento del Co.Bas. presso la raffineria clicca qui 20-10-2024FAO-COBAS - Assemblea a Forlì del Cobas FAO della GEV a pochi giorni dalla internalizzazione in Number 1 a Fontevivo (PR) 19-10-2024Comunicato del Fronte Popolare di Liberazione della Palestina sui bombardamenti a nord di Gaza e a Jabalia clicca qui 19-10-2024CONTRO IL DL 1660 ! (Militanza Comunista Toscana e Piattaforma Comunista) clicca qui 18-10-2024Comunicato del Fronte Popolare di Liberazione della Palestina sul martirio di Yahya Sinwar clicca qui 16-10-2024Incontro delle componenti dell'Asse della Resistenza Palestinese e Libanese a Damasco clicca qui 15-10-2024S.L.A.I.Cobas Stellantis Pomigliano MOMENTI DI ASSEMBLEA NELLO STABILIMENTO DI STELLANTIS A POMIGLIANO https://youtu.be/l4vTfl_4boE?feature=shared15-10-2024Dichiarazione del nostro coordinatore nazionale: "Ciao buongiorno.
Purtroppo voglio parlarVi oggi di un' altra legge razzista italiana (Meloni), benedetta peraltro dalla serva europea (Von der Leyen) delle multinazionali americane:
Carcere in Albania per gli immigrati (i primi sono bengalesi ed egiziani) che non sono in regola con il permesso di soggiorno. Altro che "fratelli d' Italia"" - testo in bengalese: হ্যালো শুভ সকাল।
দুর্ভাগ্যবশত আমি আজ আপনার সাথে আরেকটি ইতালীয় নোংরামি (মেলোনি) সম্পর্কে কথা বলতে চাই, যা আমেরিকান বহুজাতিকদের ইউরোপীয় সেবক (ভন ডার লেয়েন) দ্বারা আশীর্বাদ করা হয়েছিল:
আলবেনিয়ায় অভিবাসীদের জন্য কারাগার (প্রথম বাংলাদেশি এবং মিশরীয়) যাদের বসবাসের অনুমতি নেই।"ইতালির ভাই" ছাড়াclicca qui per articolo 15-10-2024I Presidenti di Venezuela e Nicaragua denunciano il sionismo. Venezuela: Il presidente Nicolas Maduro: Netanyahu sta conducendo un genocidio contro la Palestina e il Libano e ciò che sta accadendo non è una guerra - Venezuela: Maduro: Netanyahu ha ancora l'audacia di dare ordine alle Nazioni Unite di ritirare le forze di pace presenti nel sud del Libano su ordine del Consiglio di Sicurezza - Venezuela: Maduro: Hitler non ha osato fare ciò che sta facendo questo mostro creato dall’Unione Europea e dall’impero degli Stati Uniti - Nicaragua: Il presidente Daniel Ortega: dobbiamo lottare per porre fine al genocidio commesso contro il popolo palestinese14-10-2024Manifestazione a Udine contro la partita di calcio italia-israele

Con l’ordinanza n. 25840 del 27.09.2024, la Cassazione afferma che, in ossequio anche alla posizione assunta dalla giurisprudenza comunitaria, la retribuzione del lavoratore durante le ferie deve comprendere tutte le voci allo stesso corrisposte nei periodi di servizio.
13-10-2024Fronte Popolare per la Liberazione della Palestina - Comunicato stampa sulle azioni anti-nazionali del ANP clicca qui 11-10-2024LA CENSURA E' FASCISMO, E' DITTATURA, E' NEGAZIONE DEI PRINCIPI DELLA LIBERTA'; UE VERGOGNA ! GIU' LE MANI DA RESISTANCE NEWS NETWORK !!! 11-10-2024Nel 2021, oltre 300 organizzazioni in tutto il mondo hanno aderito all'appello per LIBERARE GLI STUDENTI PALESTINESI ! Ogni anno, centinaia di studenti palestinesi vengono rapiti e imprigionati dall'occupazione coloniale sionista. Oggi, gli studenti palestinesi affrontano la prigionia coloniale, l'occupazione, la pulizia etnica, il genocidio e lo scolasticidio su larga scala. Ogni università di Gaza è stata distrutta dai bombardamenti dell'occupante. Gli studenti palestinesi sono in prima linea contro il genocidio, resistono all'occupazione e al colonialismo e affrontano torture e abusi nelle prigioni dell'occupante. E studenti in tutto il mondo si sono uniti alla "Student Intifada" per stare dalla parte della Palestina. Invitiamo tutte le organizzazioni e i sindacati studenteschi di tutto il mondo ad unirsi alla campagna per liberare gli studenti palestinesi, contrastare lo scolastico e liberare la Palestina dal fiume al mare. Seguici: https://t.me/freepalestinianstudents - https://freepalestinianstudents.org10-10-2024Importante denuncia sulla "intelligenza artificiale": Mind Control Technologies: The Convention on Artificial Intelligence (AI) Does Not Prevent the Abuse of Fundamental Human Rights, Mojmir Babacek - Global Research https://www.globalresearch.ca/convention-ai-not-prevent-abuse-fundamental-human-rights/5869746
10-10-2024Pagina sulla udienza del 9 ottobre alla Corte di Assise di Venezia Mestre e Mostra del Cobas appalti Fincantieri 2008-2024 clicca qui 09-10-2024Fronte Popolare per la Liberazione della Palestina - Comunicato stampa sulle svendite anti-nazionali del ANP clicca qui 09-10-2024FAO-COBAS - TRASPORTO MERCI SPEDIZIONI E LOGISTICA - https://www.contrattotrasporti.it/ - Cambiare tutto per lasciare tutto uguale - Rinumerazione di tutti gli articoli del CCNL - Trasferte e 11 bis tutto uguale 58 ore - Orario ordinario 48 ore non più 4707-10-2024Fronte Popolare per la Liberazione della Palestina - Comunicato stampa sul anniversario della battaglia dell'inondazione di Al Aqsa clicca qui 06-10-2024Fronte Popolare per la Liberazione della Palestina - Comunicato stampa su incontro internazionale clicca qui 06-10-2024Documento della Brigata Saraya-Al-Quds-Jenin rivolto alla Autorità Nazionale Palestinese clicca qui 03-10-2024Chi uccide i medici come i bambini non è degno di alcuna considerazione e dichiarazione di solidarietà umana - Libano clicca qui 02-10-2024Nostra adesione alla campagna internazionale per Georges Ibrahim Abdallah clicca qui01-10-2024Fronte Popolare per la Liberazione della Palestina - Comunicato stampa sulla resistenza unita clicca qui 01-10-2024Riceviamo e pubblichiamo da Gramscioggi nr.93-2024 nota Lucrare politicamente sulla pelle dei migranti clicca qui 01-10-2024Fronte Popolare per la Liberazione della Palestina - Comunicato stampa Il Fronte Popolare piange i suoi eroici leader: Nidal Abdel Aal, Emad Odeh, Abdel Rahman Abdel Aal, fari sulla strada verso la Palestina e Al-Quds. clicca qui29-09-2024Oggi a Marghera funerali partecipati da centinaia di operai bengalesi, di Kabir Homayon operaio alle isolazioni in Fincantieri di Marghera da ben più di 15 anni, morto investito da un' auto mentre andava a lavorare in bicicletta dopo neanche un anno che aveva finalmente un contratto a tempo indeterminato. Lascia moglie e tre figli. Un' altra vittima dello sfruttamento. foto dei funerali 28-09-2024tratto da L'Antidiplomatico: La Russia non è nostra nemica clicca qui 28-09-2024Sudafrica - Intestata una strada a Leila Khaled - comunicato stampa del Fronte Popolare per la Liberazione della Palestina clicca qui 28-09-2024Libano - Copertura mediatica occidentale al sionismo nazista clicca qui 25-09-2024Comunicato stampa sulla udienza al processo Fincantieri all'aula bunker di Mestre clicca qui 24-09-2024Fronte Popolare per la Liberazione della Palestina - Comunicato stampa sul significato delle azioni sioniste contro le infrastrutture civili clicca qui23-09-2024Fronte Popolare per la Liberazione della Palestina - Comunicato stampa sulla estensione della guerra di stermio sionista al Libano clicca qui23-09-2024Comunicato sulla privatizzazione delle Poste clicca qui 20-09-2024Fronte Popolare per la Liberazione della Palestina - Comunicato stampa sulla rinnovata aggressione sionista contro Qabatiya clicca qui20-09-2024Ricordo di Kabir clicca qui 19-09-2024Fronte Popolare per la Liberazione della Palestina - Comunicato stampa sulla mozione ONU contro l'occupazione sionista in Palestina e Cisgiordania clicca qui16-09-2024Fronte Popolare per la Liberazione della Palestina - Comunicato stampa per ricordare i caduti di Sabra e Chatila clicca qui16-09-2024A Roma comemorato il compagno Fabrizio Ceruso a 50 anni dalla morte. 15-09-2024Venezia - Proclamata giornata domenicale di sciopero alla Fiorital spa. clicca qui13-09-2024Fronte Popolare per la Liberazione della Palestina - Comunicato stampa sull'adesione del Cile alla denuncia del Sudafrica alla CPI contro i sionisti. clicca qui07-09-202448° anniversario della morte del sempre vivo Presidente Mao Tse-Tung 07-09-2024S.L.A.I. Cobas Pomigliano d'Arco (NA) - Ci ha lasciato oggi a Bagnoli la compagna Mara Malavenda, storica sindacalista e cofondatrice dello Slai Cobas. clicca qui04-09-2024S.L.A.I. Cobas Pomigliano d'Arco (NA) documento Stellantis Pomigliano. Poco fa alle 13:50 lo Slai cobas e i lavoratori dei servizi generali, hanno protestato presso gli uffici della direzione Aziendale per la mancata sicurezza nei locali spogliatoi. Del tutto insufficiente il microclima necessario per l'attività lavorativa. Insieme Slai e lavoratori, dimostrano di sapere come sottrarsi alle :attività lavorative non in sicurezza e rilanciando con contestazione verso la dirigenza Aziendale per sue gravi violazioni in merito alla sicurezza. Le iniziative proseguiranno. clicca qui
01-09-2024Fronte Popolare per la Liberazione della Palestina - Comunicato stampa: clicca qui - clicca qui per news sui disordini tra la popolazione israeliana eil regime sionista 31-08-2024Fronte Popolare per la Liberazione della Palestina - Comunicato stampa: clicca qui29-08-2024Fronte Popolare per la Liberazione della Palestina - Comunicato stampa martire capo della resistenza Mohammed Jaber "Abu Shujaa": clicca qui - Qui una pagina dal web di denuncia dei crimini connessi dagli "alleati di fatto" dei sionisti copia e incolla il link: https://masarbadil.org/en/2024/08/5188/

29-08-2024Mira (VE): Diffusi da SlaiProlCobas e da vittime del controllo mentale organizzati nel Movimento ampio contro le torture tecnologiche, psicologiche, elettroniche e mentali, al mercato cittadino due volantini: uno per il TI day, e uno per la Palestina
26-08-2024Fronte Popolare per la Liberazione della Palestina - Comunicato stampa di denuncia dei complotti sionisti contro Al Quds: clicca qui - NEWS clicca qui 26-08-2024INVIO MONDIALE AI PRINCIPALI MEDIA DA PARTE DELLE ORGANIZZAZIONI ADERENTI AL I.R.M.A.N.T.T. - clicca qui 25-08-2024Comunicato per i prigionieri Palestinesi clicca qui 25-08-2024Comunicato stampa del Esecutivo nazionale del nostro sindacato SlaiProlCobas: SLAIPROLCOBAS - Il nostro biasimo e la nostra massima condanna per le azioni repressive dei paesi della "nato" ed israele verso gli attivisti pro-Palestina.
Ai bombardamenti israeliani con bombe americane, al nazismo imperante in ucraina, si aggiunge oggi la notizia della censura UE di diversi canali di informazione su telegram. Questo fatto segue di un mese la strage silenziata in occidente, di 5000 giovani e studenti in Bangladesh. L' imperialismo, come ai tempi dell' Algeria e del Vietnam, è un mix di genocidio, falsità, rapina e censura. Oggi poi in Francia hanno arrestato il proprietario di Telegram. Protestare non basta più. Occorre che il popolo abbandoni i social media che sono allineati alla censura. Siamo al fascismo mondiale. Vergogna al occidente e ai suoi governi. La censura non avete nessun diritto di attuare. No pasaran !24-08-2024Cresce la protesta e il malcontento di ampi settori del popolo di Israele, alla pratica genocida e razzista dell'esercito ai comandi del "presidente" Nethanyahu. Oggi i coloni organizzano un sit-in davanti alla casa di Netanyahu, chiedendo la conclusione di un accordo di scambio di prigionieri con la resistenza.23-08-2024Fronte Popolare per la Liberazione della Palestina - Comunicato stampa clicca qui Urgente| Fonti ebraiche: I coloni organizzano un sit-in davanti alla casa di Netanyahu, chiedendo la conclusione di un accordo di scambio di prigionieri con la resistenza.23-08-2024ANNUNCIO. Buongiorno. Ricordiamo a tutti , anche a quelli che non sono con noi, che giovedì 29 è la giornata internazionale target individuals day e che per tale motivo ci è stato richiesto di fare delle iniziative.
Per cui la mattina a Mira (VE), ci sarà un sit in e volantinaggio dalle ore 9 alle ore 13, mentre il pomeriggio a Marano di mira faremo una videochiamata aperta. Chiediamo ai giornalisti di partecipare alla videoconferenza del 29 pomeriggio e se ritengono possibile la cosa, di scrivere dell' esistenza della manipolazione del pensiero e del controllo mentale.
Noi stiamo preparando la edizione italiana del libro del cittadino ceco -americano, noto per la sua dissidenza in Charta 51 a Praga sin dagli anni '60, Mojmir Babaceck. In questo libro, che sarà possibile prenotare scrivendo a edizionilavoroliberato@gmail.com (costo 20€+2€ di contributo per la spedizione, sul c/c Poste italiane 000065650418), si parla anche dell' accordo tra CIA e KGB del 1990, sulla base del quale viene ancora tenuto in piedi dai media il segreto di Pulcinella del controllo mentale, che non è mai stato un segreto e che lo è solo per chi continua a stare attaccato al diritto al genocidio delle superpotenze e del nazismo sionista o isis (cioè made in Usa) che sia. Aggiornamenti alla questione sia su neurofreedom.org che su associazionevittimearmielettroniche-mentali.org,23-08-2024Sentenza della Corte dell'ONU che definisce illegale l'occupazione della Palestina da parte di "israele". fai copia e incolla nel browser: >>>> https://valori.it/la-sentenza-che-definisce-illegale-loccupazione-della-palestina/?fbclid=IwZXh0bgNhZW0BMAABHVW7-UHrnHj7Ud3Jvx4MGNJ-lk-y8wCk7HWHLxWVP9MQwQg36aTRJoSb6w_aem_-nr1U43wv65Ow-7o9DKH2w&sfnsn=scwspwa <<<< Intanto continua il terrorismo stragista israeliano verso i giornalisti che, come i medici, e gli operatori umanitari, sono ostili al razzismo e aiutano il popolo Palestinese, a prezzo della loro stessa vita. Il giornalista Hossam Manal Al-Dabbaka, del canale Al-Quds, è oggi salito al martirio insieme alla moglie, ai figli e ad alcuni familiari. Le IOF (esercito "israeliano") hanno preso di mira direttamente il suo appartamento nel campo di Al-Maghazi, nella Striscia #Gaza centrale. Gloria ai martiri.19-08-2024 Il Commissario generale dell'UNRWA Philippe Lazzarini ha annunciato che 207 operatori dell'UNRWA sono stati martirizzati a Gaza dal 7 ottobre, su un totale di almeno 289 operatori umanitari martirizzati. "I martiri dell'UNRWA a Gaza erano dottori, ingegneri, insegnanti e altri di varie specializzazioni" e che molti di loro sono stati martirizzati mentre svolgevano i loro compiti. Lazzarini ha affermato: "La guerra a Gaza ha violato tutte le regole e i responsabili devono essere ritenuti responsabili. Sempre oggi, un comunicato del Fronte Popolare per la Liberazione della Palestina elogia la decisione del presidente rivoluzionario colombiano, Gustavo Petro, che ha emesso un decreto che proibisce l'esportazione di carbone colombiano all'entità sionista.19-08-2024FAO-COBAS - Bologna - Conferenza dibattito con militanti autotrasportatori, a Bologna, in occasione dello sciopero nazionale di tre giorni. Le nostre informazioni sono che circa il 10% degli autisti di mezzi pesanti >7,5 T, oggi hanno aderito allo sciopero.
Il lavoro continuava nonostante il periodo feriale, che per la maggior parte degli autisti è un miraggio. Tra i problemi sul tappeto oltre all' orario di impegno lavorativo (tempo di vita) abnorme, concretamente di 70/80 ore a settimana, la mancanza ancora di una legislazione chiara sull'obbligo dell' aria condizionata in cabina dei camion e sul frigo in cabina collegato con un sistema che non obblighi l' autista a tenere il motore acceso, che in molte località è vietato, la mancanza in Italia di una rete di alberghi per le soste notturne, e molto altro ancora che rende la nostra denuncia archiviata dalla magistratura nel 2018, purtroppo ancora molto attuale. Riproponiamo il testo della nostra denuncia del 29-12-2017, volutamente taciuto dai confederali e dalle associazioni "datoriali". clicca qui. Circa la applicazione dello Statuto dei lavoratori nel settore, pubblichiamo un vecchio testo del nostro sindacato sulle procedure disciplinari. clicca qui 16-08-2024Fronte Popolare per la Liberazione della Palestina - Sulla dichiarazione trilaterale Qatar-Usa-Cipro clicca qui 15-08-2024Venezia - Proclamata giornata domenicale di sciopero alla Fiorital spa. clicca qui 15-08-2024BREVE RESOCONTO DALLA PALESTINA SUGLI ARRESTI INDISCRIMINATI DA PARTE DELL'OCCUPANTE "israele": *Breve resoconto sulle campagne di detenzione condotte in Cisgiordania dall'inizio del genocidio* *Esclusi i casi di arresto a Gaza* 12 agosto 2024 Il numero totale di arresti è di (10.000) in Cisgiordania e Gerusalemme. Donne: il numero totale di arresti di donne è di (345) comprese le donne arrestate nelle terre occupate nel 1948, oltre alle donne di Gaza che sono state arrestate in Cisgiordania.
. Bambini: il numero di arresti di bambini è di (700)
. Giornalisti: sono stati arrestati (94) giornalisti, (53) di loro sono ancora in stato di arresto, comprese (5) giornaliste e (16) giornalisti di Gaza, oltre a (17) giornalisti in stato di detenzione amministrativa. Sono stati emessi più di (8322) ordini di detenzione amministrativa dal 7 ottobre, tra nuovi ordini e rinnovi, compresi ordini contro bambini e donne. Le campagne di detenzione condotte dal 7 ottobre sono accompagnate da crimini e violazioni intensificati come umiliazioni, pestaggi brutali, minacce contro i detenuti e le loro famiglie, oltre a vandalismo e distruzione nelle case dei detenuti, confisca di veicoli, oro e denaro, oltre alla distruzione di infrastrutture, in particolare nei campi profughi di Tulkarem e Jenin. Le statistiche includono i detenuti che sono stati arrestati dalle loro case, ai posti di blocco, che si sono arresi e coloro che sono stati arrestati come ostaggi.
Oltre alle campagne di detenzione, le forze israeliane hanno implementato esecuzioni sul campo, hanno afflitto i detenuti e i loro familiari.
(22) detenuti martirizzati nelle prigioni israeliane e nei campi militari dal 7 ottobre, oltre a decine di martiri di Gaza che sono morti nelle prigioni e nei centri di detenzione israeliani, di cui l'occupazione non ha annunciato i nomi o le condizioni di martirio. Inoltre, hanno riconosciuto l'esecuzione di molti detenuti. Si dice che i cadaveri di (20) detenuti martirizzati dopo il 7 ottobre siano ancora trattenuti, tra (31) martiri. I dati non includono i casi di detenzione di Gaza, a causa del rifiuto dell'occupazione di fornire qualsiasi informazione e della continua pratica del crimine di sparizione forzata contro di loro. Vale la pena menzionare che le forze di occupazione hanno arrestato circa (4000) cittadini di Gaza, oltre a centinaia di abitanti di Gaza che sono stati arrestati in Cisgiordania. Il numero totale di detenuti nelle prigioni israeliane ammonta a (9900), inclusi (3432) detenuti amministrativi, oltre a (1584) detenuti che sono stati classificati come combattenti illegali. . (83) detenute donne sono trattenute nella prigione di Damoun, inclusa una detenuta incinta (Jehad Nakhleh) oltre a (20) detenuti amministrativi. . (250) bambini sono attualmente detenuti in carceri di isolamento Nota: i dati sulle campagne di detenzione variano quotidianamente a causa dei continui arresti *Istituzioni per i detenuti (Commissione per gli affari dei detenuti, Palestinian Society Prisoner’s Club, Addameer Association for Human Rights)*12-08-2024FAO Cobas - Sciopero nazionale della logistica - Sciopero di 3 giorni
19/21 agosto -
Lunedì 19 agosto conferenza di Federazione Autisti Operai -
Ore 10/13
*Hotel mitico e natural spa Via Ferrarese, 164, Bologna* PUBBLICIZZATO LO SCIOPERO DA Trasporti Italia - copia e incolla questo link: >>>
https://www.trasporti-italia.com/camion/sciopero-trasporti-merci-autotrasportatori-19-agosto-2024/139536/?fbclid=IwY2xjawEm0aRleHRuA2FlbQIxMQABHUAJ_r36SCIVpuoDsk38yXNmcYCM3vAKi6VX6Afx7C-BHMHOo0cQgXTKrQ_aem_7N0g5LJoWDBdeK5VHs1oQA&sfnsn=scwspwa <<< PRECISAZIONE LO SCIOPERO INZIA ALLE ORE 0,00 DI LUENDì 19 AGOSTO E SI CONCLUDE ALLE ORE 24 DIMERCOLEDI' 21 AGOSTO. Sono esclusi dall'agitazione gli addetti ai servizi essenziali. FAO COBAS: IL MESSAGGIO DI SALUTI INVIATO A ISTANBUL ALLA CONFERENZA DEL SINDACATO FRATELLO "KATAS SEN" clicca qui 09-08-2024Fronte Popolare per la Liberazione della Palestina - Dipartimento per gli Affari dei Rifugiati e il Diritto al Ritorno: La decisione del Commissario generale dell'UNRWA di licenziare i dipendenti dell'Agenzia è un palese pregiudizio nei confronti delle menzogne e degli intrighi dell'occupazione. In un passo pericoloso che riflette una palese propensione verso le menzogne e gli intrighi dell'occupazione, il Commissario generale dell'UNRWA, Philippe Lazzarini, ha emesso una decisione di licenziare nove dipendenti dell'agenzia con il pretesto della loro presunta complicità negli eventi del 7 ottobre. Riteniamo che questa decisione non solo sia una palese violazione dei diritti di questi dipendenti offesi, ma anche un via libera all'occupazione sionista per portare avanti i suoi piani aggressivi contro l'UNRWA e il popolo palestinese. Questa decisione ingiusta incarna la palese parzialità del Commissario generale nei confronti delle menzogne e degli intrighi dell'occupazione e dimostra la sua disponibilità a usare l'agenzia come capro espiatorio per placare le ambizioni sioniste, nel tentativo di legittimare qualsiasi misura aggressiva che possa essere adottata contro l'UNRWA e il suo personale. Alla luce di questa pericolosa decisione, non possiamo restare inerti di fronte a questa farsa, che ignora i principi più elementari della giustizia internazionale e in cui è chiaro che l’accusa è stata “provata” prima che venisse condotta l’indagine, in palese violazione del diritto internazionale. Questa decisione ignora i risultati di indagini indipendenti, che hanno confermato la falsità delle accuse contro i dipendenti e dimostrato la mancanza di prove credibili, conclusioni riconosciute dal Segretario generale delle Nazioni Unite, inducendo molti paesi a tornare sui propri passi nella decisione di sospendere i finanziamenti all'agenzia. Il licenziamento di questi dipendenti è il risultato diretto delle pressioni occupazionali e fa parte di una cospirazione più ampia volta a indebolire il lavoro dell'UNRWA, svuotandolo del suo contenuto umanitario e legale o riducendone gradualmente i servizi come passo sistematico verso la liquidazione dell'UNRWA e della questione dei rifugiati. La dichiarazione del Commissario generale non è altro che un palese pregiudizio nei confronti degli obiettivi dell'occupazione e una giustificazione palese per qualsiasi azione che potrebbe essere intrapresa contro l'UNRWA in futuro. Pertanto, chiediamo l'immediata revoca di questa decisione ingiusta e pericolosa e chiediamo alla comunità internazionale e alle Nazioni Unite di agire immediatamente per fermare questa farsa che minaccia il futuro dell'UNRWA e il suo ruolo nel sostenere i diritti dei rifugiati palestinesi. Questa decisione viola anche i diritti fondamentali dei dipendenti, attenta alla loro dignità e li etichetta falsamente e maliziosamente come "terroristi" sotto l'incitamento dell'occupazione e dei suoi complici.08-08-2024Risposta su facebook da parte della ANED Associazione Nazionale ex Deportati nei campi nazisti copia e incolla questo >> limk: https://www.facebook.com/share/p/gW9R4knztoL8cvi8/ << 07-08-2024Statistica dei cittadini e cittadine torturati con armi a distanza in ITALIA - diffusa da Acofoinmenef - per gentile concessione delle vittime clicca qui 06-08-2024Fronte Popolare per la Liberazione della Palestina - Dipartimento centrale dei media:
Il Fronte Popolare piange i martiri della Cisgiordania e conferma che esiste uno stato di confusione e impotenza sionista di fronte all'escalation delle operazioni di resistenza. Il Fronte Popolare per la Liberazione della Palestina piange gli eroici martiri (https://t.me/PalestineResist/51812) uccisi oggi a Jenin, Tubas e Betlemme a causa della continua escalation sionista nella Cisgiordania occupata. L'escalation dell'aggressione e degli assassini del nemico sionista in Cisgiordania dimostra lo stato di confusione e impotenza che l'occupazione sta vivendo di fronte all'escalation delle operazioni di resistenza e allo sviluppo delle sue capacità, emerse chiaramente nelle recenti operazioni qualitative, poiché l'occupazione non è più in grado di controllare la situazione in particolare nelle aree della Cisgiordania settentrionale, il che l'ha spinta a ricorrere alla politica di assassini codardi e di attacchi aerei ai combattenti della resistenza. L'espansione dell'aggressione e degli omicidi da parte dell'occupazione nelle zone occupate della Cisgiordania è una politica fallimentare che non sarà in grado di spegnere la fiamma della resistenza, ma piuttosto ne accrescerà l'ardore e la determinazione nel raggiungere i propri obiettivi. 04-08-2024Nel quarantesimo anniversario della strage del treno Italicus operata dai servizi militari e da "Ordine nero", SlaiProlCobas presente il coordinatore nazionale Paolo Dorigo e il membro dell'esecutivo Marco Sacchi, a Firenze, insieme ad alcuni associati della Acofoinmenef e del Movimento Ampio contro le torture, presente anche una lavoratrice fiorentina associata a SlaiProlCobas, hanni manifestato ed effettuato volantinaggio, davanti alla Stazione Santa Maria Novella, dalle ore 10 alle ore 16; presenti forze di poliziae carabinieri. CLICCA QUI 03-08-2024Si è riunito il Comitato di controllo congiunto SlaiProlCobas e Federazione Autisti Operai, a Mira nella sede centrale. Qui allegato il bilancio approvato. CLICCA QUI 01-08-2024Ufficio stampa governativo PALESTINA: Conferenza stampa dell'Ufficio stampa governativo in occasione dei 300 giorni di guerra genocida condotta dall'esercito di occupazione "israeliano" nella Striscia di Gaza - 300 giorni di guerra genocida in corso condotta dall’esercito di occupazione “israeliano” contro il nostro popolo palestinese nella Striscia di Gaza, con il pieno sostegno dell’amministrazione americana e delle forze globali dell’ingiustizia. Durante questa orribile guerra, l'occupazione ha commesso 3.457 massacri, provocando 49.480 martiri e dispersi, di cui 10.000 dispersi sotto le macerie degli edifici distrutti, di cui 39.480 martiri hanno raggiunto gli ospedali. Tra loro ci sono 16.314 bambini martiri e 10.980 donne martiri, con bambini e donne che rappresentano il 69% delle vittime. La situazione umanitaria nella Striscia di Gaza è catastrofica in ogni senso della parola. La crisi umanitaria si sta aggravando senza precedenti, con le politiche di chiusura dei valichi e di impedimento dell’ingresso di aiuti, medicinali, beni e forniture che esacerbano la crisi alimentare e rafforzano la fame e la malnutrizione, soprattutto tra migliaia di bambini che sono privati di latte, integratori alimentari, e vaccinazioni. Inoltre, 2 milioni di sfollati vivono in condizioni estremamente dure, senza mezzi di sussistenza o una vita dignitosa. Tra gli sfollati si registrano epidemie di numerose malattie, le più gravi delle quali sono la poliomielite, l’epatite virale e varie malattie della pelle, respiratorie e digestive, che portano a un aumento di sei volte del tasso di mortalità naturale rispetto ai livelli pre-genocidio. Più di 9.000 morti naturali si sono verificate nella Striscia di Gaza durante la guerra genocida, sei volte superiore al tasso di mortalità naturale prima della guerra. L’aumento dei tassi di mortalità è dovuto al deterioramento della situazione umanitaria causato dal genocidio e dalle epidemie, con oltre 1.800.000 casi di diverse malattie segnalati a causa delle condizioni di guerra e degli sfollamenti. Altri fattori che contribuiscono includono il grave sovraffollamento di pazienti negli ospedali, con 34 ospedali resi non funzionanti, l’assenza di servizi medici a causa dell’occupazione, la mancanza di medicinali e trattamenti bloccati dall’occupazione, e le condizioni letali di sfollamento e di vita dura. condizioni nelle tende e nelle aree senza vita dove la nostra gente è costretta dall’occupazione a trasferirsi, solo per morire a causa di malattie, bombardamenti e genocidi. Durante la guerra genocida, l’occupazione ha messo in atto il suo piano dichiarato prendendo di mira centinaia di gruppi sociali, uccidendo 885 membri del personale medico, 79 membri della protezione civile e assassinando 165 giornalisti e operatori dei media. Inoltre, l’occupazione ha giustiziato più di 100 scienziati, professori universitari e illustri ricercatori a Gaza, eliminando illustri gruppi sociali in modo criminale e brutale. Ricordiamo al mondo che durante la guerra genocida, l’occupazione “israeliana” ha distrutto gli ospedali, li ha bruciati e li ha resi non funzionanti. Sono state inoltre create sette fosse comuni all’interno degli ospedali, in particolare presso il complesso medico Al-Shifa, il complesso medico Nasser e l’ospedale Kamal Adwan . Il crimine dell'occupazione di chiudere i valichi di frontiera ha causato un vero disastro umanitario impedendo a più di 25.000 feriti e malati di viaggiare per ricevere cure, prendendo di mira contemporaneamente l'intero settore sanitario.Alla luce di questa terribile situazione e della guerra genocida, l'occupazione ha deciso ufficialmente di istituire la prigione "Sde Teman" , dove più di 35 prigionieri sono stati giustiziati sotto torture severe e letali, tra gli oltre 5.000 prigionieri rapiti durante la guerra genocida, che sono vivono ancora un’esistenza mortale nelle carceri dell’occupazione senza il controllo da parte delle organizzazioni internazionali incaricate di
supervisionare le violazioni carcerarie. Per quanto riguarda il settore educativo a Gaza, più di 39.000 studenti sono stati privati dell’esame Tawjihi della scuola secondaria e più di 800.000 studenti sono stati privati dell’istruzione. L'occupazione ha distrutto completamente 117 scuole e università e ha parzialmente distrutto 332 scuole e università. Inoltre, l’occupazione ha commesso un crimine organizzato distruggendo completamente 610 moschee e distruggendo parzialmente 211 moschee, oltre a prendere di mira e distruggere 3 chiese a Gaza. Sul fronte abitativo, l'occupazione "israeliana" ha causato una catastrofe abitativa senza precedenti nel mondo, distruggendo completamente 150.000 unità abitative, rendendone inabitabili 80.000 e danneggiandone parzialmente 200.000. Anche i siti storici e del patrimonio non sono stati risparmiati dall’occupazione, poiché più di 206 siti archeologici e del patrimonio sono stati distrutti nel tentativo di cancellare la storia e la geografia palestinese, sfatando le sue bugie e annientando la sua presunta esistenza. Inoltre, durante la guerra genocida, le reti elettriche, i sistemi fognari, le reti idriche e le infrastrutture in generale, comprese strade e vie, non furono risparmiate. L'occupazione ha distrutto complessivamente più di 25.000 chilometri di queste reti, deliberatamente e secondo un piano di distruzione studiato. Inoltre, l’occupazione ha deliberatamente distrutto 700 pozzi d’acqua, rendendoli completamente fuori servizio, rendendo l’accesso all’acqua nella Striscia di Gaza una questione significativa ed estremamente difficile. Vi sono gravi difficoltà nell’ottenere acqua potabile e per uso domestico, esacerbando le condizioni di vita, umanitarie e sanitarie nella Striscia di Gaza. Stiamo affrontando una crisi umanitaria profonda e multiforme che colpisce tutti gli aspetti della vita nella Striscia di Gaza. Le perdite preliminari dirette della guerra genocida hanno finora superato i 33 miliardi di dollari, a cui si aggiungono decine di miliardi di dollari di perdite indirette derivanti da questa guerra brutale e folle.
Considerata la grave realtà nella Striscia di Gaza dopo 300 giorni di guerra genocida, vorremmo sottolineare quanto segue: In primo luogo: ribadiamo e intensifichiamo la nostra condanna e denuncia del crimine genocida commesso dall'esercito di occupazione "israeliano" contro il nostro popolo palestinese, così come della serie di crimini connessi al genocidio. Denunciamo anche gli omicidi e il genocidio compiuti dall'occupazione contro i civili, gli sfollati, i bambini, le donne e contro le case residenziali pacifiche. Chiediamo a tutti i paesi liberi del mondo e alle organizzazioni internazionali di condannare il genocidio e i crimini ad esso associati e contro l’umanità. In secondo luogo: riteniamo l’occupazione “israeliana” e l’amministrazione americana pienamente responsabili del profondo disastro umanitario generato nella Striscia di Gaza a seguito della guerra genocida, durante la quale l’amministrazione americana ha fornito pieno e aperto sostegno all’occupazione per commettere questo crimine. , provocando lo spargimento di sangue di oltre 140.000 vittime tra civili innocenti, bambini, donne e sfollati. Chiediamo che l’amministrazione americana smetta di fornire all’occupazione missili e bombe per uccidere civili, bambini e donne. Terzo: Chiediamo alla comunità internazionale e a tutte le organizzazioni globali di fare pressione sull’occupazione affinché fermi questa brutale aggressione e fermi il crimine di genocidio perpetrato dall’esercito di occupazione “israeliano” per il 300° giorno consecutivo, senza sosta e senza autentiche e serie sforzi internazionali volti a fermare questi omicidi e crimini in corso.
Quarto: Chiediamo ai paesi arabi e islamici, a tutti i paesi liberi del mondo e alle organizzazioni internazionali di riunirsi urgentemente e immediatamente per ripristinare la vita nella Striscia di Gaza riabilitando il settore sanitario e gli ospedali, il settore educativo, le scuole e le università, i sistemi religiosi settore umanitario e delle moschee, nonché rilanciare il settore umanitario e dei servizi e tutti i settori ripetutamente dichiarati distrutti e fuori servizio. Mettiamo in guardia dal lasciare la Striscia di Gaza in questo stato catastrofico a tutti i livelli. Quinto: lo storico crimine genocida che si verifica qui nella Palestina occupata conferma chiaramente il principio dello sradicamento e della pulizia etnica contro il nostro popolo palestinese. Conferma anche il coinvolgimento dell’amministrazione americana e di diversi paesi europei e altri in questo crimine, che hanno tradito l’umanità con un colpo a tradimento, fornendo continuamente armi all’occupazione e incoraggiandola a persistere nel genocidio. Le generazioni non dimenticheranno mai questi crimini nel corso della storia, e la fine di questi crimini storici sarà la liberazione e la salvezza dall’occupazione “israelo-americana”, simile a quanto accaduto in Vietnam, Afghanistan, Iraq e in altri paesi che hanno combattuto fino all’espulsione dei occupanti e i loro collaboratori, ottenendo la libertà per la loro terra, i loro principi e i loro luoghi santi. Gloria ed eternità ai nostri giusti martiri -
Rapida guarigione dei nostri eroici feriti -
Libertà immediata per i nostri coraggiosi prigionieri -
Tutti salutiamo il nostro grande popolo palestinese - Ufficio stampa governativo
Striscia di Gaza - Palestina - Giovedì 1 agosto 202430-07-2024FAO Cobas - Comunicazione per lo *sciopero nazionale autisti e operai della logistica del 19-20-21 agosto* . 1) la partecipazione allo sciopero è preferibile annunciare con messaggio SMS al responsabile il sabato precedente. 2) chi vuole la copia della comunicazione alla sua azienda deve richiederla *entro il giorno 8 agosto* a 3802375321. 3) il *lunedì 19 ci sarà dalle 10 alle 13 una conferenza pubblica* in una sala in zona Bologna

29-07-2024Fronte Popolare per la Liberazione della Palestina - Dipartimento centrale dei media : Ciò che è richiesto è di riferire tutti i crimini e le terribili violazioni contro i prigionieri ai tribunali internazionali, e di inviare comitati internazionali per ispezionare le prigioni e scoprire il loro destino. Che cosa è stato rivelato dal Washington Post (https://www.washingtonpost.com/world/2024/07/29/palestinan-prisoners-israel-jails-abuse/) circa crimini atroci (https://t.me/RNN_Prisoners/1589?single) commessi dall'occupazione sionista contro i prigionieri palestinesi nelle sue prigioni, compresi la tortura, lo stupro e l'abbandono deliberato di cure mediche, che hanno portato al martirio di un certo numero di essi a seguito di gravi percosse e privazione delle necessarie cure mediche, sono crimini di guerra contro l'umanità che riflettono un livello senza precedenti e senza precedenti di crudeltà e il sadismo, il fascismo e la brutalità dilagante nell'esercito codardo e nazista di occupazione. Arresto dell'occupazione (https://t.me/PalestineResist/50604) di un certo numero dei suoi soldati dopo che è stato trapelato un video che li raffigura torturare brutalmente un prigioniero della Striscia di Gaza non è altro che una farsa volta a eludere la responsabilità internazionale e cercare di sfuggire a qualsiasi processo da parte dei tribunali internazionali prove. Queste atrocità si stanno svolgendo sotto il patrocinio diretto e il sostegno dell'amministrazione americana, e la complicità della comunità internazionale e il suo mancato adempimento delle sue responsabilità morali e umanitarie per fermare le grandi atrocità commesse contro i prigionieri palestinesi, in particolare i prigionieri della Striscia di Gaza nel campo di sterminio "Sde Teman". Chiediamo un'azione urgente per salvare le vite dei prigionieri e porre fine alle loro sofferenze, e di inviare comitati internazionali per ispezionare le prigioni di occupazione e scoprire la sorte dei prigionieri, e di riferire tutti i crimini orrendi e violazioni contro di loro ai tribunali internazionali. 24-07-2024Continua la proclamazione dello sciopero nella giornata domenicale alla Fiorital spa (Venezia). 23-07-2024Fronte Popolare per la Liberazione della Palestina - Ufficio stampa centrale : La testimonianza di un medico americano rivela la brutalità dell’occupazione sionista e il suo deliberato attacco ai bambini con armi di fabbricazione americana. - La testimonianza dolorosa e scioccante del medico ebreo americano Mark Perlmutter , recentemente tornato da Gaza, alla stazione televisiva americana "CBS" sulle atrocità a cui ha assistito da parte dell'esercito di occupazione a Gaza, soprattutto contro i bambini, è una prova nuova e documentata della guerra. crimini commessi dall’occupazione contro il nostro popolo nella Striscia di Gaza con la diretta collaborazione americana.- Le dichiarazioni del dottor Perlmutter alla stazione americana (di aver visto bambini deliberatamente presi di mira a morte dai proiettili dei cecchini e di non aver mai visto in vita sua bambini dilaniati e feriti in modo così orribile come a Gaza) sono una nuova testimonianza il sistematico attacco ai bambini da parte dell’esercito criminale sionista, come dottrina coerente del genocidio che commette contro il nostro popolo.- Le affermazioni dell'esercito di occupazione sulla stessa emittente americana "che non prende di mira i bambini e respinge queste accuse" sono contraddette dalle prove sul campo documentate quotidianamente e dalle testimonianze viventi che rivelano chiaramente la brutalità di questo esercito e il suo deliberato attacco contro bambini e persone disarmate. civili, ribadendo che si tratta dell’esercito più vile e criminale della storia moderna.- Le armi usate per uccidere i bambini a Gaza sono di fabbricazione americana, ed è in corso un ponte aereo americano che trasporta varie armi, comprese armi bandite a livello internazionale che causano immense distruzioni, gravi ferite e deformità tra civili e bambini.- Il numero di bambini martirizzati da queste armi americane e dal fuoco e dai proiettili del sistema di genocidio sionista non ha eguali nella storia e non può essere paragonato a nessun altro conflitto.- La testimonianza del medico americano è una prova lampante dei crimini dell'occupazione contro bambini, donne e civili disarmati. Questa testimonianza dovrebbe essere un grido di rabbia che denuncia i crimini dell’occupazione e dei suoi collaboratori ovunque.- Questa testimonianza documentata deve essere immediatamente deferita ai tribunali internazionali. Va aggiunta ad un gran numero di testimonianze documentate su questi crimini, anche se la comunità e le organizzazioni internazionali non se ne occupano seriamente; le procedure per condannare l’occupazione e i suoi leader sono lente e non esiste un meccanismo efficace per far rispettare le decisioni delle istituzioni internazionali, in particolare della Corte Internazionale di Giustizia. Pertanto, l’occupazione continua ad aumentare i suoi crimini, fiduciosa di sfuggire alla punizione.- Dirigiamo un messaggio al pubblico americano affinché si opponga al sistema politico sionista negli Stati Uniti e continui a fare pressione su di esso con tutti i mezzi affinché smetta di sostenere l'entità sionista, interrompa la sua fornitura di armi e metta fine alla partnership e alla sponsorizzazione dell'entità sionista. sistema di genocidio.- Tutto l'orgoglio e l'apprezzamento per tutti coloro che hanno contribuito a guarire le ferite del nostro popolo, incluso questo coraggioso medico americano. Affermiamo che il sangue dei bambini della Palestina e di Gaza inseguirà i criminali assassini sionisti ovunque si trovino, e sicuramente la giustizia prevarrà, e il destino di questa entità sionista che uccide bambini e dei suoi sostenitori sarà la pattumiera della storia.22-07-2024Ufficio stampa governativo a Gaza: L'esercito di occupazione "israeliano" ha bombardato il campo profughi di Nusseirat 63 volte in 7 giorni, provocando 91 martiri e 251 feriti. Negli ultimi sette giorni, l’esercito di occupazione “israeliano” ha intensificato il suo barbaro bombardamento del campo profughi di Nusseirat (nel centro della Striscia di Gaza) in un modo senza precedenti. Il campo è stato bombardato 63 volte da aerei da combattimento, carri armati e navi da guerra, provocando 91 martiri e 251 feriti. Oltre il 75% delle vittime che hanno raggiunto gli ospedali hanno avuto i corpi bruciati a causa dell'uso di armi termiche e chimiche da parte degli occupanti. Il campo profughi di Nusseirat è uno dei campi densamente popolati che attualmente ospitano 250.000 residenti e sfollati. L'occupazione sta deliberatamente bombardando il campo senza riguardo per le sue condizioni di affollamento. L’occupazione prende di mira quartieri residenziali, case abitate e torri residenziali, causando intenzionalmente il massimo numero di martiri e feriti. Il massacro più atroce (https://t.me/PalestineResist/48831) commesso dall'occupazione negli ultimi sette giorni è stato quello avvenuto alla scuola Al-Razi nel campo (https://t.me/PalestineResist/48834) , che ha provocato (https://t.me/PalestineResist/48841) 23 martiri e 73 feriti. Condanniamo con la massima fermezza i brutali massacri compiuti dall'occupazione "israeliana" contro i civili, in particolare nel campo di Nusseirat. Condanniamo anche l’allineamento dell’amministrazione statunitense con l’occupazione nel commettere il genocidio. Riteniamo l'occupazione "israeliana" e l'amministrazione statunitense pienamente responsabili della continuazione di questi massacri contro gli sfollati e i civili. Li riteniamo inoltre pienamente responsabili dell'uso da parte dell'occupazione di armi termiche e chimiche che bruciano i corpi dei martiri e dei feriti. Chiediamo alla comunità internazionale, alle Nazioni Unite, alle varie organizzazioni internazionali e a tutti i paesi liberi del mondo di fare pressione sull'occupazione "israeliana" e sull'amministrazione statunitense affinché fermino la guerra genocida e la continua cascata di sangue nella Striscia di Gaza. Ufficio stampa governativo -
Striscia di Gaza - Palestina -
Domenica 21 luglio 202420-07-2024Rivolta in tutto il mondo. Accanto alla guerra popolare in Palestina contro il genocidio in atto da parte di "israele" con bombe ed armi americane, tedesche ed italiane (non hanno memoria storica della 2a guerra mondiale), oggi la popolazzione bengalese si è rivoltata in tutti i paesi ove vivono nell'immigrazione, la classe operaia bengalese solidale con il movimento studentesco, denunciando il regime filo-occidentale responsabile di oltre 100 vittime in un solo giorno. 19-07-2024Oggi diverse comunicazioni del ns sindacato SlaiProlCobas. Venezia Proclamato sciopero alla Fiorital per domenica 28 contro l'obbligo di lavoro domenicale. Giavera del Montello (TV). Dichiarazione inviata alla Latteria Montello di non disponibilità al lavoro la festività patronale di giovedì 25. Villafranca padovana (PD). Sciopero spontaneo dei lavoratori alla Sirus (appalto Dac), rientrato dopo la fissazione del appuntamento con la ns OS per la prossima settimana. Montebelluna (TV). Proclamazione inviata alla Amacrai est per lo sciopero della flessibilità e straordinari nel mese di agosto. Il nostro sindacato nelle aziende della logistica, aderisce anche allo sciopero nazionale di Federazione Autisti Operai proclamato per il 19-20-21 agosto.18-07-2024 Occidente censore delle informazioni e galera per i giornalisti scomodi: un film giùà visto ! Club dei prigionieri palestinesi:—
Dopo il rilascio del giornalista Emad Abu Awad [dopo nove mesi di detenzione amministrativa], il Club dei Prigionieri esamina i fatti chiave relativi ai giornalisti nelle carceri dell'occupazione: • Dal 7 ottobre, l'occupazione ha arrestato 89 giornalisti, di cui 51 rimangono in detenzione, tra cui:• 17 detenuti amministrativi.
• 6 giornaliste.• Almeno 16 da Gaza.• Tra loro ci sono i giornalisti Nidal Al-Wahidi e Haitham Abdul Wahid, soggetti a sparizione forzata dal 7 ottobre.• Almeno 12 detenuti con l'accusa di istigazione.• Il numero totale di giornalisti detenuti prima e dopo il 7 ottobre è 61.• Rimangono 10 giornalisti detenuti prima del 7 ottobre.16-07-2024 - Da Resistamce News Network: Durante una cerimonia sionista che celebrava oggi il 10° anniversario della guerra a #Gaza del 2014, famiglie e soldati hanno urlato a Netanyahu: "C'è solo una persona da incolpare!" Un genitore ha gridato: "È tuo dovere assicurarti che non cadano invano!" Il padre di un soldato IOF ucciso ha detto: "1.800 morti... siete responsabili!" Quando Netanyahu ha detto "Hamas è sotto pressione", il fratello del soldato IOF Hadar Goldin, che è tenuto prigioniero a Gaza ormai da 10 anni, gli ha detto "Stai dicendo delle sciocchezze!" prima di precipitarsi fuori. 10 mesi dopo, l’entità sionista non è riuscita a raggiungere nessuno dei suoi obiettivi dichiarati nella Striscia di Gaza, poiché la resistenza continua a infliggere pesanti perdite alle IOF.16-07-2024 - Comunicato Fplp sui due recenti massacri di civili a Mawasi Khan Younis e nella scuola Al-Razi di Nusseirat clicca qui 16-07-2024 - Paesi occidentali vergogna. Sostenete il genocidio del popolo della terra di Cristo, la Palestina ! IMPERIALISTI: CON L FASCISMO NON CAMBIERETE LA STORIA, ACUTIZZERETE I VOSTRIPROBLEMI E SOCCOMBERETE AI POPOLI DEL MONDO ! Il coordinatore di Samidoun Europe Mohammed Khatib è stato trattenuto con revoca dell'asilo politico in Belgio: Parlate per difendere la Palestina!
https://ift.tt/idaC8sJ13-07-2024 - COMMENTO A cosa servono agli autisti di trasporto merci gli accordi x il premio di produzione come quello di fercam a Caorso ?È un buon modo o un pessimo modo di usare il nome "cobas" ?
In realtà servonosolo a chiudere il conto degli straordinari non pagati per 1200 euro (nella migliore delle situazioni) all' anno, un grande favore alla fercam.
Proprio una brutta copia delle peggiori abitudini cui sono costretti gli autisti dai confederali.
12-07-2024 - Comunicato del Fronte Popolare per la liberazione della Palestina - L''occupazione sta commettendo veri e propri crimini di guerra a Rafah, Khan Younis, Tal al-Hawa e Shuja'iyya. clicca qui 12-07-2024 - Dal canale telegram di Resistenza Popolare: ATTACCO ALL'OSPEDALE DI KIEV - PERSINO LA BBC SMENTISCE LA PROPAGANDA OCCIDENTALE - Secondo quello che ci hanno propinato i telegiornali l'altro giorno l'attacco missilistico Russo ha centrato un ospedale causando decine di morti tra i bambini , ora vogliamo porvi anche una testata occidentale straniera ovvero la BBC , la quale però sostiene fatti ben differenti , l'attacco russo c'è stato , ma in una fabbrica di missili a diversi Km di distanza a colpire l'ospedale purtroppo è stato un missile della contraerea Ucraina andato fuori controllo. i media occidentali però hanno già deciso dove sia la verità e da che parte della Storia stare sposando la narrazione di Kiev e di Zelenskij. Anche le agenzie di stampa e le testate italiane abbracciano la ricostruzione unilaterale proveniente dall’intelligence ucraina, accusando il Cremlino di aver deliberatamente attaccato l’ospedale pediatrico. Interessante notare come i media italiani, e occidentali in genere, cambino la propria condotta in base agli autori - clicca qui 10-07-2024 - FAO Cobas e SlaiProlCobas: proclamazione di sciopero a carattere nazionale per lunedì 19 agosto 2024, martedì 20 agosto 2024, mercoledì 21 agosto 2024 – lavoratori dipendenti personale cat. A3-B3-C3-3S-D2-E2-F2-3-G1- H1- 4 e 4 junior – 5 – 6 e 6 junior - CCNL Trasporto merci spedizioni e logistica e personale viaggiantee di magazzino CCNL Multiservizi - clicca qui 09-07-2024 - Da Resistance News Network: Netanyahu scommette sulla pressione militare contro i civili e continua a sabotare i negoziati. Le fazioni palestinesi hanno messo in guardia contro lo sfollamento forzato imposto dalle forze di occupazione ai residenti dei quartieri di Gaza City, chiarendo che l'esercito genocida sta scommettendo sulla continua pressione militare contro i civili in orribili massacri che rivelano le cattive intenzioni di Netanyahu e del suo governo fascista nei confronti degli sforzi di mediazione. in Qatar ed Egitto per raggiungere un accordo di cessate il fuoco e porre fine al genocidio. Il Comitato di Follow-up delle Forze Nazionali e Islamiche ha messo in guardia dal sottovalutare la gravità dell’escalation del genocidio da parte del governo fascista di Netanyahu, soprattutto in quartieri come Shuja’iyya, Tuffah, Daraj e la Città Vecchia di Gaza, confermando che l’obiettivo è quello di svuotare tra tutti i residenti e spostarli a sud, preparandosi ad espellerli dalla patria con la forza delle armi nella più grande campagna di pulizia etnica della storia. L'Alleanza delle Forze di Resistenza Palestinesi a Damasco ha chiesto che i mediatori intervengano rapidamente per porre fine alle manovre di Netanyahu e fermare i suoi crimini. Ha inoltre invitato gli organismi internazionali della comunità globale e gli organismi delle Nazioni Unite ad assumersi le proprie responsabilità legali e umanitarie e a fare pressione per fermare il genocidio in corso. Da parte sua, Hamas ha confermato che l’arrogante nemico, che pratica le forme più atroci di aggressione e di violazione contro civili disarmati con il sostegno della complice amministrazione statunitense, non riuscirà a sottomettere il nostro fedele popolo, nonostante l’escalation dei suoi crimini. Ha sottolineato che la nostra valorosa resistenza continuerà il suo eroico confronto contro le sue forze fasciste finché l’aggressione non sarà spezzata e respinta dalla nostra terra. Il Fronte Popolare per la Liberazione della Palestina (FPLP) ha allertato il nostro popolo affinché eviti di impegnarsi nella guerra psicologica dell’occupazione, che mira a intensificare la pressione sulla base popolare per minare e indebolire la resistenza, sottolineando che questi piani falliranno e verranno distrutti all’istante. roccia della fermezza e della resistenza del nostro popolo, e non raggiungeranno i loro obiettivi di destabilizzare le nostre file o cambiare le nostre posizioni. Il Fronte Democratico per la Liberazione della Palestina (DFLP) ha sottolineato la necessità di formare una posizione nazionale unificata contro la guerra di aggressione “israeliana” e di fornire sostegno arabo e internazionale alla leggendaria fermezza del nostro popolo. L’Iniziativa Nazionale Palestinese ha affermato che questo crimine ostacola il raggiungimento di un cessate il fuoco e il blocco della barbara aggressione contro il nostro popolo coraggiosamente resiliente nella Striscia di Gaza. Ha chiarito che Netanyahu ripete le operazioni di sabotaggio a cui è abituato perché sa che fermare l'aggressione a Gaza significa il suo fine politico. Il Fronte Popolare per la Liberazione della Palestina - Comando Generale (PFLP-GC) ha sottolineato che Netanyahu sfrutta i mediatori di questi negoziati e il continuo sostegno americano alla sua aggressione per raggiungere gli obiettivi che non è riuscito a raggiungere, confermando la sua assoluta fiducia nella capacità della resistenza per contrastare i suoi piani. 08-07-2024 - Da Samidoun Network : da Ghassan Kanafani a Walid Daqqah: assassinio, imperialismo, resistenza e rivoluzione . Incoraggiamo i nostri lettori a leggere questo fantastico articolo, che collega l'assassinio di Kanafani al movimento dei prigionieri, alla resistenza regionale, al coordinamento della sicurezza dell'Autorità Palestinese e alla resistenza diasporica.
La famosa citazione di Kanafani sull'internazionalismo rimane oggi un urgente appello all'azione: “L'imperialismo ha posto il suo corpo sul mondo, la testa nell'Asia orientale, il cuore nel Medio Oriente, le sue arterie raggiungono l'Africa e l'America Latina. Ovunque lo colpisci, lo danneggi e servi la Rivoluzione Mondiale… La causa palestinese non è una causa solo per i palestinesi, ma una causa per ogni rivoluzionario, ovunque egli sia, come causa delle masse sfruttate e oppresse nella nostra epoca .” Come scrive Khaled Barakat,
“Il 51° anniversario del martirio dello scrittore Ghassan Kanafani coincide quest’anno con la vittoria del campo di Jenin nella battaglia apparentemente impossibile guidata dai giovani delle Brigate…L’anniversario coincide con la tenda della resistenza eretta su un’alta collina meridionale del Libano , come segno di vittoria, diffondendo consapevolezza, luce e sfida e trascurando la Palestina occupata. È la tenda della resistenza che annuncia il ritorno e la liberazione… Il ricordo del martirio di Kanafani... viene a dire: qualcosa di grande sta nascendo adesso nei tunnel e nelle tende della valorosa resistenza nel sud del Libano, a Gaza e a Jenin, e c'è un ponte e un abbraccio che si estende tra il a sud del Libano e di tutta la Palestina: una piccola tenda, da cui nascerà il grande progetto di liberazione araba, dall’oceano al Golfo”.
07-07-2024 - Osservatorio euromediterraneo sui diritti umani:—"Israele" continua ad assediare i feriti e i malati a Gaza, impedendo loro di viaggiare per ricevere cure dopo aver distrutto o reso inoperanti la maggior parte degli ospedali nella Striscia di Gaza. Avvertiamo della potenziale morte di oltre 26.000 feriti e malati che necessitano urgentemente di trasferimento esterno per cure salvavita, oltre a migliaia di altre persone che devono viaggiare per completare le cure. Da quando l’esercito di occupazione ha preso il controllo del valico di Rafah il 7 maggio e lo ha chiuso, il movimento dei palestinesi, compreso il viaggio dei feriti e dei malati per cure all’estero, è cessato. Ciò avviene nel momento in cui il sistema sanitario è crollato nella Striscia di Gaza, con 34 ospedali su 36 resi non funzionanti a causa del sistematico attacco “israeliano”. Stimiamo che più di 12.000 feriti debbano viaggiare per salvarsi la vita, oltre a 14.000 pazienti, tra cui circa 10.000 malati di cancro e altri con malattie gravi. Abbiamo ricevuto numerose denunce e appelli da parte di feriti e malati di Gaza che chiedono di poter viaggiare per salvare le proprie vite. L’assedio in corso e la chiusura dei valichi, in seguito alla distruzione di ospedali e strutture sanitarie, costituiscono una decisione “israeliana” di effettuare esecuzioni di massa di pazienti e feriti uccidendoli intenzionalmente. Chiediamo un intervento internazionale urgente per creare ospedali da campo nel nord di Gaza e fare pressione su "Israele" affinché fermi i suoi ripetuti attacchi agli ospedali e garantisca il trasferimento di migliaia di casi urgenti per cure all'estero. La comunità internazionale dovrebbe fare pressione su “Israele” affinché garantisca l’apertura dei valichi e permetta a migliaia di feriti e malati di Gaza di viaggiare, salvando le loro vite da morte certa.
03-07-2024 - Da Resistance News Network: Oggi ricorre il triste anniversario del martirio di Mohammed Abu Khdeir per mano dei coloni sionisti nel 2014.
Il sedicenne Mohammed è stato rapito da un'orda di coloni in #Alquds il 2 luglio 2014, uno dei primi giorni del Ramadan. Mentre stava preparando il suo pasto pre-veloce prima dell'alba, un gruppo di coloni lo afferrò e se ne andò. Mohammed è stato successivamente torturato, picchiato con strumenti e costretto a bere benzina. L'atto finale di violenza perpetrato contro di lui è tanto disgustoso quanto esasperante: cosparso di benzina, Mohammed è stato dato alle fiamme. La depravazione dello Sionismo non conosce limiti. Il caso di Mohammed è uno degli innumerevoli crimini perpetrati contro il nostro popolo dal momento in cui il primo colono è entrato nella nostra terra. È un crimine emblematico dell'essenza del sionismo stesso, nel suo razzismo, sadismo e odio. Gloria ai martiri dell'Umanità e che l'occidente si fermi prima della fine del mondo.
03-07-2024 - Da Resistance News Network: Il nazismo di "israele" contro i prigionieri - Per placare la Corte penale internazionale, il procuratore generale sionista ha richiesto un'indagine penale su Itamar Ben-Gvir con l'accusa di incitamento alla violenza contro gli abitanti di Gaza. Questa mattina Ben-Gvir ha dichiarato: "Da quando ho assunto la carica di Ministro della Sicurezza Nazionale, una delle mie massime priorità è stata quella di peggiorare le condizioni di detenzione dei prigionieri [palestinesi]... Non mi interessa la rabbia della comunità internazionale riguardo alle condizioni carcerarie ." La decisione è stata accolta con scherno dai media sionisti. Ben-Gvir lo ha definito un "tentativo di omicidio". In una nota simile, il rilascio di ieri di dozzine di prigionieri palestinesi torturati da #Gaza è arrivato alla luce delle pressioni della Corte Suprema sionista (https://t.me/PalestineResist/46908) riguardo alle condizioni dei campi di concentramento sionisti, in un altro tentativo di placare i tribunali penali e insabbiare il genocidio, nonostante la continua perdita di del sangue di decine di migliaia di abitanti di Gaza.
03-07-2024 - Proclamato sciopero per la domenica 14 luglio alla Fiorital spa a Venezia.
02-07-2024 - https://www.ilfattoquotidiano.it/2024/07/01/rai-assunti-il-figlio-di-un-amico-dellad-sergio-e-un-uomo-di-casapound-legato-al-clan-spada-usigrai-ombre-inquietanti-attivato-un-audit/7608032/#Echobox=1719855311 ripreso dal canale https://t.me/movimentoampio -
30-06-2024 - Il ministro israeliano della Sicurezza nazionale Itamar Ben Gvir: I prigionieri palestinesi devono essere uccisi sparandogli alla testa e fino all'approvazione di questa legge daremo loro poco di cui vivere
https://t.me/lantidiplomatico/34820 - https://www.lantidiplomatico.it/dettnews-israele_ha_sganciato_79000_tonnellate_di_esplosivo_sulla_striscia_di_gaza/82_55490/ - No ai NAZIFASCISTI
- No ai pazzi che sponsorizzano il guerrafondaio "zelenski" -
No ai sionisti
29-06-2024 - Condanniamo per quanto possa contare il licenziamento da parte dell'UNRWA del dirigente del Sindacato dei Lavoratori della Cisgiordania occupata !
28-06-2024 - MIRA -
Ieri sera il consiglio comunale di Mira ha approvato all'unanimità dei presenti la revoca della cittadinanza onoraria a Benito Missolini. Significativo il fatto che la minoranza di destra abbia abbandonato l'aula nel corso della discussione. Il provvedimento, già annunciato dal sindaco in occasione del 25 aprile era stato chiesto dall'ANPI di Mira già da alcuni anni. Ora la speranza è che altri comuni seguano l'esempio.
26-06-2024 -
FINCANTIERI Marghera- Oggi scandaloso CGIL ha indetto due ore di sciopero e scritto un comunicato vergognoso in cui non si dice neanche il nome di Islam Miah.
Sabato a Mestre c'è manifestazione per la PALESTINA e CONTRO IL RAZZISMO a Mestre ore 17,30 a Interspar partecipiamo tutti.
আজ, কলঙ্কজনক, সিজিআইএল দুই ঘণ্টার ধর্মঘট ডেকেছে এবং একটি লজ্জাজনক বিবৃতি লিখেছে যেখানে এমনকি ইসলাম মিয়ার নামও উল্লেখ করা হয়নি।
শনিবার মেস্ত্রে প্যালেস্টাইন এবং বর্ণবাদের বিরুদ্ধে বিকাল 5.30 মিনিটে ইন্টারস্পার-এ আমরা সবাই অংশগ্রহণ করি।
26-06-2024 - In Cab log a Noale (VE) è rientrato al lavoro dopo una settimana Ayub che era stato sospeso dal lavoro. Ieri c'è stato un incontro tra azienda, azienda di appalto della logistica e i ns RSA.
Oggi è stata ritirata l' agitazione già proclamata x venerdì e sabato.
25-06-2024 - Comunicato del Cobas appalti Fincantieri: ISLAM MIAH UN ALTRO OPERAIO MORTO PER L'INCURIA DEL LAVORO DENTRO FINCANTIERI A MARGHERA ! clicca qui
23-06-2024 - Montebelluna - Amacrai Est - proclamazione di sciopero della flessibilità e degli straordinari dal 4 luglio 2024 al 2agosto 2024 clicca qui
23-06-2024 - Coordinamento nazionale Federazione Autisti Operai contro lo schiavismo, in qualsiasi forma e modalità sia applicato clicca qui
22-06-2024 - Comunicato nazionale Federazione Autisti Operai sulla beffarda "giornata dell'affaticamento" clicca qui
22-06-2024 - Federazione autisti operai FAO-Cobas
22-6-2024 -
Ipocrisia del potere economico e servilismo del potere politico e dei sindacati cosiddetti "maggiormente rappresentativi" verso il sistema di schiavismo dei lavoratori autisti in Italia.
Oggi è la giornata contro il lavoro affaticante, siglata tra gli altri anche dai confederali che sono da decenni responsabili del contratto truffa dell' autotrasporto, grazie alla loro adesione al art.11 bis e nessi e connessi, e accordi aziendali di forfettizzazione.
Da anni protestiamo contro questa forma di schiavismo, cui si aggiunge ora la presa per il culo della giornata internazionale del 21 giugno.Domani ne discutiamo al coordinamento nazionale a San Martino buon albergo (VR)
21-06-2024 - CONTRO IL DECRETO LEGGE 1660 clicca qui
COMMENTO
Se poi questa legge passasse, noi non abbiamo grandi problemi perché nelle fabbriche i padroni schiattano anche solo fermandoci, però si vedrà con i primi processi, forse anche prima di arrivare in Cassazione, la illegittimità costituzionale di questa legge.
Tuttavia ci sono due considerazioni da fare.
La prima, che le leggi sulla giustizia non vanno affidate a un ministro semi-fascista come Nordio,
la seconda che non andare a votare per far vincere le elezioni ai fascisti non è prova di sagacia né di intelligenza.
La terza considerazione è che dobbiamo costruire una UNICA grande forza politica popolare e antifascista.
20-06-2024 - NUOVAMENTE SEQUESTRATO IL DR.DWEIK - Il Dr. Aziz Dweik, presidente del Consiglio legislativo palestinese, è stato rapito poco fa in #AlKhalil, appena 6 giorni dopo essere stato liberato dalle prigioni sioniste dopo il suo primo rapimento, avvenuto 9 mesi fa. Questo dopo che il Dr. Dweik ha rilasciato dichiarazioni ai media sulle terribili condizioni dei prigionieri e la loro fermezza, così come i dettagli degli omicidi dei prigionieri. Un combattente ricercato è sopravvissuto dopo essere stato preso di mira da un drone IOF nel campo di Nour Shams, #Tulkarem, poco fa.
19-06-2024 - RAZZISMO A MESTRE (COME ANCHE A MONFALCONE) -
https://www.ilgazzettino.it/nordest/venezia/mestre_moschea_tar_bengalesi_agiremo_contro_condominio_via_piave-8190959.html
19-06-2024 -
ATTENZIONE A TUTTE LE PERSONE COSCIENTI E AMANTI DELLA LIBERTA' DI PENSIERO E DI ESPRESSIONE. *Attenzione.*
*Adesso rivolgono le loro tecnologie a tutta la popolazione mondiale* clicca qui programma di incontri di studio negli USA - clicca qui *attenzione*
*Chi non parla di ciò che fa il nemico o è ignorante o è nemico* *ECCO COSA STANNO FACENDO SULLA POPOLAZIONE MONDIALE* *Noi di Acofoinmenef e di Movimento Ampio contro le torture tecnologiche, psicologiche, elettroniche e mentali* *siamo contro le politiche dei governi occidentali che vogliono controllare e manipolare l'intera umanità* *Anche per questo siamo dalla parte del Popolo Palestinese, perché siamo le prime vittime di queste politiche iniziate con tecnologie meno avanzate del 5G* *VIVA GIULIETTO CHIESA* Il documento 2 è tradotto da https://brightu.com/upcoming/7fa26b0f-470c-479d-93b8-d422b6479873
19-06-2024 - S.L.A.I. COBAS POMIGLIANO - LETTERA DI DENUNCIA A STELLANTIS PER LA MANCATA SICUREZZA clicca qui
18-06-2024 - Il manifesto dice: No al genocidio in Palestina ! No al razzismo contro gli immigrati !
SlaiProlCobas dice anche:
La Palestina è terra dei Palestinesi !Via i sionisti da Gaza e Cisgiordania !
94 anni dopo il Martedì rosso. PALESTINA LIBERA CON AL QUDS CAPITALE ! clicca qui
17-06-2024 - denuncia del sequestro di bambini dei folli nazisri sionisti - clicca qui
15-06-2024 - traduzione da A nova democracia: Lo Yemen scopre una rete americana-sionista di spionaggio e provocazione. clicca qui
15-06-2024 - Mestre
14-06-2024 - Monfalcone - Sciopero dei lavoratori della Petrol Lavori che hanno bocciato l'accordo tra azienda e cgil del 20-06-2023, sull'introduzione del sabato lavorativo. clicca qui
14-06-2024 - Fronte popolare per la liberazione della Palestina Ufficio di martiri, prigionieri e feriti:—Sui crimini sionisti e le orribili violazioni nel campo "Sde Teman" contro i prigionieri palestinesi. clicca qui
14-06-2024 - Da Resistance News Network: La denuncia del Dr.Dweikh da poco liberato dai carceri sionisti:
Il Dr. Aziz Dweik, Presidente del Consiglio legislativo palestinese, è stato liberato ieri dalle carceri sioniste dopo oltre 9 mesi di detenzione. Altri prigionieri hanno dichiarato che il Dr. Dweik è stato picchiato mentre era in carcere. Oggi, ha parlato ai media, parlando del "massacro nelle prigioni." Il Dr. Dweik ha dichiarato: "Il futuro riserva molte grandi sorprese, con un cambiamento radicale che colpisce tutti gli aspetti e le fazioni della regione... Questi prossimi cambiamenti beneficeranno la regione e la sua gente; siamo ottimisti e in attesa di sollievo da Allah.""Il popolo palestinese è a un punto di svolta nella storia dell'umanità e del mondo, e ciò che sta arrivando sarà un bene per i palestinesi.""Uccisioni senza precedenti, bombardamenti di case, uccisioni di donne, bambini e uomini, bombardamenti indiscriminati, uccisioni di decine di migliaia di persone, attacchi di droni a Jenin e altrove: questo indica chiaramente uno stato di equilibrio, e ci dovrebbe essere una punizione per le violazioni del diritto internazionale... Parlano di diritti degli animali mentre i diritti umani vanno invano." Ha parlato di come è stato privato dei diritti e della dignità nelle prigioni, soprattutto considerando la sua età e le sue condizioni di salute. "Quello che sta accadendo ai prigionieri nelle prigioni è un vero massacro in cui i palestinesi vengono uccisi e muoiono di fame tutto il tempo.""La prigione di Naqab è peggio di Abu Ghraib e Guantanamo, dove l'occupazione agisce come bande... I prigionieri vengono uccisi, la loro vita va invano, e sono affamati per 24 ore al giorno. I prigionieri sono in cattive condizioni di salute, soffrono di malattie della pelle, e il cibo è insufficiente anche per i bambini, per non parlare di soddisfare i bisogni degli uomini." Il Dr. Dweik ha dichiarato che zucchero, sale e frutta sono praticamente assenti nelle prigioni. Egli menziona che, per 10 prigionieri, furono dati esattamente 35 fagiolini da dividere tra di loro. Egli menziona che i prigionieri sono completamente isolati dal mondo esterno. "Le condizioni dei prigionieri sono strazianti ed estremamente difficili... I prigionieri non chiedono all'occupazione misericordia, che non accadrà mai; questa occupazione non rispetta la giustizia o i diritti umani. Il messaggio dei prigionieri al nostro popolo è di salvarli da questa continua sofferenza.""L'occupazione mina deliberatamente la dignità umana in ogni senso della parola, ma la volontà del nostro popolo non sarà spezzata."
13-06-2024 - Venezia - Avviata la vertenza contro l'obbligo lavorativo la domenica alla Fiorital spa dallo SlaiProlCobas.
12-06-2024 - i dati delle elezioni europee. Clicca qui. che democrazia è senza la metà degli avanti diritto al voto ?
11-06-2024 -Il nostro sindacato sta preparando uno sciopero nazionale degli autisti di camion, e sta pensando di fare insieme una proclamazione valida anche per gli operai di fabbrica. Valuteremo in queste settimane se proclamare uno sciopero nazionale generale per il salario minimo di 10 euro lordi l'ora, contro la mafia dei contratti pirata, che sono firmati anche dai confederali.
Bisogna capire che i contratti pirata sono un danno per tutti, anche per chi guadagna già oggi più di 10 euro ogni ora, perché la povertà di molti operai riduce la forza e la stessa libertà di tutto il popolo.
*IMPRENDITORI E CRIMINALI - PIACCIONO AI POLITICI ITALIANI*
"In quell'occasione, la vittima era stata picchiata e minacciata con una corda attorno al collo. Ferrara non sarebbe stato l'unico, secondo l'accusa, ad operare in questo modo. L'imprenditore era diventato noto alle cronache già nel 2019, quando la sua presenza al Cioccolatò di Torino aveva destato più di una curiosità. L'uomo aveva perfino raccontato in un'intervista al Corriere Torino di aver creato "diversi locali nel ramo gastronomico" per 6 milioni di euro con 150 dipendenti.
Il suo percorso nel mondo dell'imprenditoria, sempre stando a quanto raccontava Ferrara ai media, era iniziato nel 2014 con l'apertura di Amsterdam Chips, attività il cui primo fatturato aveva raggiunto quasi i 5 milioni."
da https://torino.repubblica.it/cronaca/2024/06/11/news/pestaggi_e_appalti_pilotati_arrestato_il_re_dei_mercatini_ndrangheta-423210438/
09-06-2024 -
Le donne ucraine chiedono alle autorità ucraine di trovare le persone che hanno espiantato gli organi dei loro parenti, militari ucraini. Undici parenti di soldati ucraini morti sono riusciti ad ottenere la perizia medica sui corpi dei loro cari, nonostante i divieti delle autorità ucraine. Il risultato è, per usare un eufemismo, scioccante. La perizia ha stabilito che tutti i soldati prima di morire avevano subito l'espianto degli organi, dopodiché era avvenuto il decesso. L’ennesima conferma che la NATO sta portando avanti in Ucraina uno dei più grandi programmi criminali di traffico illecito degli organi, del quale ho già parlato sul mio canale privato Telegram.
Dal canale telegram di Nicolai Lilin
09-06-2024 - In verde la maggioranza degli Stati del mondo che hanno rionosciuto la Palestina (anche il Vaticano). In grigio gli imperialisti che sostengono il genocidio sionista-nazista attuato da "israele" con armi arrivate da "Usa", "italia", e "Germania federale".
144 stati nel mondo hanno gia' riconosciuto lo Stato Palestinese. Italia e USA sono in netta minoranza.La minoranza della fame nel mondo, delle truffe, dello sfruttamento con la collaborazione delle mafie, della guerra, della tolleranza verso pedofilia, femminicidio, evasione fiscale e corruzione. La conferenza stampa del Ministero della salute in Palestina sul massacro di Nusseirat. clicca qui
08-06-2024 - ELEZIONI EUROPEE - EVIDENTEMENTE GLI USA SONO UNA DITTATURA CHE CONTA DI PIÙ DELLE NAZIONI UNITE ! -
QUESTO È INTOLLERABILE PER I DEMOCRATICI ED I POPOLI DI TUTTO IL MONDO.
NON VOTATE PER I PARTITI CHE NON SOSTENGONO APERTAMENTE LA PALESTINA E L'USCITA DELL' ITALIA DALLA NATO !!!
PALESTINA Ciao! Da tutto il mondo stanno chiedendo al Comitato Olimpico di bandire Israele finché non smetterà l’attacco su Gaza. Ho appena firmato la petizione per sostenere questa richiesta, firmi anche tu? - https://secure.avaaz.org/campaign/it/olympics_ban_loc/?wh
Ramadan Abdullah clicca qui
04-06-2024 - TELEVIDEO RAI - Uccisi 500 Palestinesi in Cisgiordania clicca qui
02-06-2024 - MANIFESTAZIONE NAZIONALE SARDA CONTRO L'OCCUPAZIONE ITALIANA E PER LA PALESTINA clicca qui
02-06-2024 - L'Ufficio Informazioni del Governo pubblica un aggiornamento sulle più importanti statistiche del genocidio perpetrato dall'occupazione "israeliana" nella Striscia di Gaza per oggi (240) - Domenica 2 giugno 2024: *
◻️ (240) giorni dopo la guerra del genocidio.
◻️ (3.247) massacro da parte dell'esercito di occupazione.
◻️ (46,439) martirizzato e scomparso.
◻️ 10.000 dispersi.
◻️ (36.439) martiri che sono arrivati negli ospedali.
◻️ (15.438) bambini martiri.
◻️ (32) furono martirizzati a causa della carestia.
◻️ (10,231) è un martire delle donne.
◻️ (498) è un martire del personale medico.
◻️ (70) martire della protezione civile.
◻️ (147) giornalisti martirizzati.
◻️ (7) fosse comuni create dall'occupazione all'interno degli ospedali.
◻️ (520) martiri sono stati recuperati da 7 fosse comuni all'interno di ospedali.
◻️ (148) rifugi presi di mira dall'occupazione "israeliana".
◻️ (82.627) feriti e feriti.
◻️ (70%) delle vittime sono bambini e donne.
◻️ 17.000 bambini vivono senza i loro genitori o uno di loro.
◻️ (11.000) feriti devono viaggiare per cure all'estero.
◻️ 10.000 malati di cancro affrontano la morte e hanno bisogno di cure.
◻️ (1.095.000) ha malattie infettive a causa dello spostamento.
◻️ (20.000) casi di infezione virale da epatite B dovuta allo spostamento.
◻️ 60.000 donne incinte sono a rischio per mancanza di assistenza sanitaria.
◻️ (350.000) i pazienti cronici sono a rischio a causa di prevenire l'introduzione di farmaci.
◻️ (5.000) sono stati arrestati dalla Striscia di Gaza durante la guerra del genocidio.
◻️ 310 arresti di personale sanitario.
◻️ (20) l'arresto di noti giornalisti.
◻️ (2) milioni di sfollati nella Striscia di Gaza.
◻️ 192 sedi governative sono state distrutte dall'occupazione.
◻️ 109 scuole e università sono state completamente distrutte dall'occupazione.
◻️ 318 scuole e università sono state parzialmente distrutte dall'occupazione.
◻️ (604) le moschee furono completamente distrutte dall'occupazione.
◻️ (200) è una moschea parzialmente distrutta dall'occupazione.
◻️ (3) chiese prese di mira e distrutte dall'occupazione.
◻️ (88.300) unità abitative sono state completamente distrutte dall'occupazione.
◻️ 303.000 unità abitative sono state parzialmente distrutte dall'occupazione.
◻️ 78.000 tonnellate di esplosivo caduto dall'occupazione della Striscia di Gaza.
◻️ (33) ospedale è stato dismesso dall'occupazione.
◻️ 55 centri sanitari sono stati dismessi dall'occupazione.
◻️ (160) istituzioni sanitarie interessate dall'occupazione.
◻️ (131) ambulanza presa di mira dall'occupazione.
◻️ (131) ambulanza presa di mira dall'occupazione.
◻️ (206) siti archeologici e del patrimonio distrutti dall'occupazione.
◻️ $33 miliardi è la perdita primaria diretta della guerra di sterminio sulla Striscia di Gaza.
* Ufficio informazioni del governo *domenica 2 giugno 2024
schema grafico in lingua inglese dei martiri e feriti e danni alla salute creati dal anzismo sionista in Palestina dal 7-10-2023 al 31-5-2024 clicca qui
02-06-2024 - Anche il Cile cita Israele alla Corte - Il presidente del Cile, Gabriel Boric, ha annunciato che il suo paese sosterrà il Sudafrica davanti alla Corte internazionale di giustizia nella causa contro Israele per l'operazione militare a Gaza. "Ho deciso che il Cile diventeraà parte in causa e sosterra' il caso che il Sudafrica ha presentato contro Israele davanti alla Corte
La minoranza borghese del popolo italiano emersa dalle elezioni antidemocratiche e limitative ed antiproporzionali del settembre 2022, in assenza di una situazione che legittimi questo disegno di legge "antiterrorismo", limita ulteriormente la libertà e invece di rafforzare le leggi contro la tortura, dimostra ulteriormente di essere al servizio dei ricconi e dei boss da cui effettivamente dipende.
Vogliamo fine dei trattamenti segreti su di noi, Liberta,' repressione degli arbitri del potere, visibilità alle indagini e ai processi verso gli agenti torturatori di molte prigioni, già arrestati dalla magistratura.
Vogliamo chiarezza e rispetto per la separazione dei poteri, e non vogliamo sorteggi ma scelte ed autogoverno della magistratura.
01-06-2024 - Volantino diffuso da SlaiProlCobas e Federazione Autisti Operai clicca qui
La principale piattaforma informatica usata dalle grandi masse è windows di microsoft (bill gates). È interessante notare il legame "fattuale" che c'e' tra la censura mondiale e la uniformazione mondiale delle informazioni nei grandi canali mediatici, (due esempi, covid e Palestina) da una parte, e dall'altra, la crescente velocita' dei cambiamenti dei sistemi operativi dei personal computers.
Infatti piu' è importante la memoria storica, minore è la sicurezza informatica.
Gli acquisti di software su windows XP, ad esempio, vanno rifatti su windows 7 of 8, per non dire gli acquisti di software su windows 10 si perdono ad ogni cambio di macchina.
Si vengono cosi' a creare per i non-capitalisti, delle perdite di informazioni importanti. Stiamo affrontando l'argomento per le singole persone, che poi sono la maggioranza.
Man mano che cresce la tecnologia, anche senza parlare dell'ultima scrovata, la AI o IA, cresce anche la tecnocrazia, cosi' i grandi capitalisti acquisiscono a confronto con re ed imperatori del passato, una enormemente maggiormente gigantesca capacita' di arbitrio che con i monopoli-di-fatto, frutto del sistema di censura-uniformazione ,
e con il dominio capitalista sulla liberta' politica e sindacale (oramai quasi negata), genera una politica d'elite.
Questa, con i governi attuali creati dall'astensione elettorale del popolo uccidono, ha la pretesa addirittura di creare una vasta classe di dominatori eterni su una enorme massa di diseredati. Per questo è fondamentale che le masse votino all'opposizione e fuori dal sistema. Non votando, non basta per costruire il cambiamento. Nota di pensiero anti-controllo, di Paolo Dorigo
31-05-2024 - Diffondete e fate circolare questo messaggio grazie
Se volete firmatelo voi Aiutate le donne e gli uomini che sono impedite-i al libero arbitrio del PENSIERO e che sono torturati giorno e notte da fanatici, malavitosi, fascisti e militari: unitevi al canale https://t.me/movimentoampio
Stanno cercando di impedirci la diffusione della nostra battaglia che dura in certi casi anche dà decenni !!!
Grazie
28-05-2024 - GIORNATA MONDIALE DI MOBILITAZIONI POPOLARI ( Jenin, New York, Amman, Istanbul, Baghdad, Tunisi) A SOSTEGNO DEL POPOLO DELLA PALESTINA - An investigation ( https://www.theguardian.com/world/article/2024/may/28/spying-hacking-intimidation-israel-war-icc-exposed ) by The Guardian reveals that the zionist entity waged a secret war lasting nearly a decade against the International Criminal Court (ICC). The zionist entity deployed its intelligence agencies to surveil, hack, pressure, smear and threaten senior ICC staff. The Mossad seized communications of ICC officials, including ICC head prosecutor Karim Khan. Yossi Cohen, the former Mossad head, threatened the former ICC prosecutor Fatou Bensouda in a series of secret meetings, in an attempt to drop a 2021 war crimes probe. The methods were described as "despicable," citing numerous anonymous sources. Yossi told Bensouda: "You should help us and let us take care of you. You don’t want to be getting into things that could compromise your security or that of your family." This revelation comes as Benjamin Netanyahu and Yoav Gallant face potential arrest warrants by the ICC.
Ci siamo sempre espressi contro gli abusi del potere sui lavoratori
A) la "libertà" di scegliere il CCNL da parte dei datori di lavoro
B) il tempo determinato
C) le agenzie interinali
D) i contratti a chiamata
E) il mobbing che è un reato dei datori di lavoro quasi impossibile da colpire
F) la incuria da parte dei datori di lavoro sulla sicurezza
G) il rifiuto del governo di fare la legge sul salario minimo garantito
H) la pressione fiscale sui lavoratori dipendenti
.... Ecc ... Ecc ... E ovviamente siamo stati e saremo contro gli obblighi vaccinali
Allo stesso modo siamo contro il 5G
E ovviamente contro la cosiddetta "intelligenza artificiale" ed ogni simile bestialità.
Ci fermiamo qua ma non siamo affatto fermi e passivi...
27-05-2024 - Due importanti documenti del FPLP. clicca qui
26-05-2024 - Video del coordinatore nazionale di Federazione Autisti Operai clicca qui 2° video per SlaiProlCobas e Federazione Autisti Operai clicca qui - https://drive.google.com/file/d/1nlxEDmfWF_S4UzT_qY2i8-VpUPqVgGlh/view?usp=drivesdk
25-05-2024 - La Corte Internazionale di Giustizia dell'Aia ha modificato la sua sentenza del 28 marzo in un voto 13-2 contro l'entità sionista, stabilendo quanto segue:
- Arresto immediato del l'aggressione a Rafah.
- Accesso senza ostacoli ai fact-finder e agli investigatori che cercano di entrare nella Striscia di Gaza.
- l'apertura dei valichi di frontiera, compreso quello di Rafah, per consentire l'invio di aiuti umanitari nella Striscia.
- l'immediata esecuzione di precedenti ordinanze della Corte.
- L'applicazione immediata di ordini dati a "Israele" in precedenti sentenze del tribunale.
La Corte ha concesso "israele" un mese per presentare una relazione sulla sua conformità di queste ordinanze. Ha anche chiesto il rilascio incondizionato dei prigionieri sionisti.
23-05-2024 - Stellantis Pomigliano - sciopero proclamato dallo S.L.A.I.Cobas clicca qui
Stato di agitazione e sciopero di straordinari e flessibilità alla Amacrai di Montebelluna. clicca qui
21-05-2024 - Mentre il popolo Palestinese resiste all'annientamento, è spesso raffigurato nel mondo come l'aggressore piuttosto che la vittima di un'occupazione violenta.
"I sistemi internazionali equiparano l'assassino e la vittima, l'occupante e l'occupato, da oltre 76 anni. Conosciamo la verità della ribellione palestinese del 7 ottobre e la diciamo con orgoglio." Nelle parole della coordinatrice internazionale di Samidoun Charlotte Kates durante il suo discorso del 26 aprile a Vancouver, Canada, per il quale ha affrontato la repressione di stato: "Hamas, Jihad islamica, Fronte popolare per la liberazione della Palestina, Hezbollah non sono organizzazioni terroristiche. Questi sono combattenti della resistenza. Questi sono i nostri eroi. Questi sono coloro che si stanno sacrificando in modo che possiamo vivere, parlare, lottare e combattere. Queste sono le persone il cui sangue viene versato per difendere l'umanità e difendere il mondo. Questi non sono terroristi. Sono combattenti della resistenza, sono combattenti per la libertà e sono eroi per un nuovo mondo."
"Non tacete sulla resistenza. Non tacere sulla resistenza armata, sii forte e chiaro al riguardo, e dì: È vero; il 7 ottobre ha cambiato il mondo. Il 7 ottobre ha mostrato che il popolo della regione, dalla Palestina, al Libano, all'Iraq, alla Siria, all'Iran, a tutti i paesi e a tutti i popoli della regione, e tutti noi in tutto il mondo facciamo parte di un movimento di resistenza internazionale, che è sulla strada per vedere la regione libera dall'imperialismo e tutto il nostro mondo, una nuova liberazione collettiva per tutta l'umanità."
"CIVILTA'" DELLA DEMOCRAZIA OCCIDENTALE ! Dalla rete a proposito della morte del presidente iraniano e di altri alti dirigenti dell' Iran - "Un C-17 dell'aeronautica statunitense era in aria nello stesso momento dell'elicottero presidenziale iraniano. È atterrato a Baku, in Azerbaigian, un po' dopo che l'elicottero presidenziale è caduto. --------> Nessun aereo da carico militare americano è atterrato a Baku da più di un anno, eppure uno è capitato di essere in aria nel momento esatto in cui l'elicottero presidenziale iraniano è caduto. HMMMMMM."
L'organizzazione palestinese che guida la rivolta del 7 ottobre ha dichiarato che "accogliamo con favore l'annuncio di Norvegia, Irlanda e Spagna che riconoscono lo Stato di Palestina. Lo consideriamo un passo importante verso l'affermazione del nostro diritto alla nostra terra e la creazione del nostro Stato palestinese indipendente con Al-Quds come capitale." E in un'altra dichiarazione ha pubblicato: "Il rapporto pubblicato oggi dall'agenzia americana "Associated Press", che ha confermato che le affermazioni dell'entità sionista riguardo alla resistenza palestinese che commette violenza sessuale il 7 ottobre non sono vere e sono state deliberatamente fabbricate, è un nuovo schiaffo di fronte a coloro che promuovono queste accuse infondate. Queste affermazioni sono state usate per demonizzare la resistenza e per coprire il comportamento umano mostrato dalla resistenza verso i prigionieri sionisti durante la loro detenzione a Gaza. Questo rapporto, come molti altri rapporti pubblicati dai media globali e dalle organizzazioni per i diritti umani che hanno confutato queste accuse e hanno dimostrato che sono mere bugie e invenzioni esposte, invita il Presidente Biden e altri funzionari di alcuni paesi europei a scusarsi e a smettere di ripetere queste false accuse contro la resistenza e il popolo palestinese.
Il problema del COVID E L'UTILIZZO CHE NE è STATO FATTO SULLA LIBERTA' E SUI DIRITTI DELLA POPOLAZIONE CIVILE è già pratica di massa, e tutti lo conosciamo. Il nostro coordinatore nazionale per esempio con un solo vaccino nel 2022 nel luglio 2022 è finito al p.s. 3 volte con altrettante crisi da pressione a 240. Ma il problema del controllo mentale ancora non trova la vs adeesione alle ns proteste. Dall' Italia aderiamo con due associazioni al International Resistance Movement against technological torture. Vedete neurofreedom.org e firmate su
https://neurofreedom.org/2024/05/ban-remote-control-of-the-human-nervous-system
20-05-2024 - Procuratore Corte Internazionale. Richiesti mandati di arresto per Netanyahu, per il ministro della Difesa di Israele.Per tutti le accuse riguardano crimini di guerra.
La sentenza è vergognosa perché mescola una organizzazione di massa popolare come Hamas con chi bombarda i civili. L'umanità va difesa, ma non da chi confonde la strage di civili fatta con i bombardieri ed i tank, con la legittima guerriglia dei popoli oppressi. Molto interessante e stimolante questo testo. Chiaramente non lo ha scritto un autore italiota:
Scrittore Musa Al-Sada:
Sulla decisione della Corte penale internazionale
È importante condurre uno studio comparativo tra la rivoluzione palestinese dopo il 7 ottobre e le rivoluzioni algerina e vietnamita. La storia della rivoluzione algerina è tipicamente divisa cronologicamente nei sette anni successivi al glorioso primo di novembre. Oggi, è essenziale discutere la nozione di un "momento algerino" nella storia palestinese. Anche se un confronto dettagliato è ampio, in sintesi, gli anni della guerra di liberazione hanno costretto i francesi a rompere i tabù coloniali: non c'era concetto storico di un popolo algerino, e che la terra algerina era parte integrante del suolo francese. Alla fine, i francesi furono costretti a riconoscere l'uguaglianza degli algerini, riconoscendo che sia il colonizzatore che i colonizzati erano "uguali."
Allo stesso modo, in Vietnam, la sconfitta americana significava riconoscere l'uguaglianza dell'occupante e dell'invasore con il popolo vietnamita. Di conseguenza, il premio Nobel è stato diviso tra un colonizzatore criminale come Henry Kissinger e un combattente ed eroe come Lê Đức Thĉ, che ha rifiutato il premio sul principio che il colonizzatore e il colonizzato non possono essere considerati uguali.
Storicamente, il segno distintivo della caduta e della sconfitta del colonizzatore bianco è l'imposizione della cosa più difficile sull'uomo bianco: l'uguaglianza, anche se tale uguaglianza è intrinsecamente ingiusta e iniqua.
Oggi, nel maggio 2024, il mondo occidentale e le sue istituzioni hanno fatto la cosa più difficile per loro. Tre leader palestinesi sono considerati uguali (anche se ingiustamente) con tre colonizzatori sionisti europei. Oggettivamente, dal nostro punto di vista di popoli colonizzati, la nostra storia, e le nostre esperienze, questo è un passo significativo e una sconfitta storica per il nemico, così come una perdita per il nucleo di ciò che ci opponiamo su questo pianeta, che è coloniale supremazia bianca.
E, naturalmente, per sottolineare, i granelli di polvere sotto le suole delle scarpe di Abu Khaled [Mohammed Deif], Abu Ibrahim [Yahya Sinwar], e Abu Al-Abed [Ismail Haniyeh] valgono più di tutto l'Occidente.
18-05-2024 - Il nostro sindacato nel suo statuto ha tra i suoi principi la solidarietà e l' internazionalismo proletario.
Siamo noi proletari che produciamo tutto, ma sono i servi dei capitalisti che stanno al potere, i responsabili delle guerre e di chi le provoca.
Oggi ci sono due guerre a noi "vicine", a est Europa e in medio oriente.
La prima è stata provocata dalle stragi e dalla repressione che ha subito il popolo di Odessa e delle zone vicine sin dal 2013-2014.
La seconda è stata creata dalla rapina della terra Palestinese e dalla continua repressione e negazione della libertà e dell' identità nazionale dei Palestina che prosegue ininterrottamente sin dal 1945-1948 e che è stata voluta e coperta dagli imperialisti degli Usa e del Regno unito. Queste due nazioni hanno inoltre utilizzato, finanziato e coperto sia mussolini.che.hitler e hanno creato le condizioni sin dal patto di Monaco, della seconda guerra mondiale.
Quindi non sono certo, né gli attuali capi di Usa e Regno unito né dell' Europa del COVID che appoggia il boia tossicodipendente di ucraina, a poter insegnare la pace a nessuno !
15-05-2024 - Edizioni lavoro liberato: su YouTube il nostro DVD del 2007 Il vaticano e l'antifascismo che fu presentato a San Tomà - Venezia dall'ANPI nel 2007:
sono 4 film in una unica playlist omonima
https://studio.youtube.com/playlist/PL0DkicLXdwnf4jiulW263wCrZDPmcwstM
14-05-2024 - LA BELLEZZA DEI SENTIMENTI DEL POPOLO NONOSTANTE L'ATROCE DOLORE DELLA GUERRA MOSSA DAGLI IMPERIALISTI E DAI RAZZISTI
NAZISTI BESTIE DAL 7 OTTOBRE IN POI STATE STERMINANDO UN POPOLO, QUELLO PALESTINESE, E VI DIMOSTRATE NON DIVERSI DAI NAZISTI DI 80 ANNI FA.
ORA TUTTI I GIOVANI DEL MONDO STANNO LOTTANDO, LA RIVOLUZIONE MONDIALE CHE TUTTI GLI INTELLETTUALI E GIORNALISTI DICHIARAVANO IMPOSSIBILE, STA INIZIANDO A DIVENTARE REALTÀ, GRAZIE A QUESTO POPOLO ED AI SUOI COMBATTENTI.
SUD AFRICA, IRLANDA ED EGITTO STANNO CHIEDENDO ALLA CORTE PENALE INTERNAZIONALE PER I CRIMINI DI GUERRA, DI ARRESTARE I BOIA DI QUESTO GENOCIDIO.
147 PAESI DEL ONU CHIEDONO IL RICONOSCIMENTO DELLO STATO DI PALESTINA.
È MEGLIO CHE VI RETTIFICATE SUBITO I CERVELLETTI DA SERPENTE CHE POSSEDETEM
DOPO, NON AVRETE COMPRENSIONE.
13-05-2024 - Siamo solidali con le lotte ed occupazioni (accampamenti) di solidarietà con la lotta e la resistenza del Popolo Palestinese, (esemplare per tutti i Popoli, davanti alla barbarie dell' occidente imperialista), quindi siamo concordi con gli studenti di Venezia sul fatto che le università italiane NON devono avere rapporti con i sionisti genocidi e stragisti.
13-5-2034 Paolo Dorigo da Mira Marco Sacchi da Milano
per esecutivo SLAIPROLCOBAS
CHI PAGA LE TASSE E CHI SI FREGA LE TASSE DEL POPOLO PER I PROPRI INTERESSI PRIVATI - FINO A QUANDO IL POPOLO ITALIANO SARA' TENUTO BUONO DALLE PREGHIERE DEL PAPA ?
12-05-2024 - GENOCIDIO DEL POPOLO PALESTINESE - Fronte popolare per la liberazione della Palestina Ufficio di martiri, prigionieri e feriti: Le istituzioni internazionali, in particolare la Croce Rossa, sono completamente complici di questi crimini efferati. Ciò che è stato rivelato sui centri di detenzione segreti dove vengono commesse pratiche brutali contro i detenuti di Gaza è un crimine che supera ogni limite.Il Fronte Popolare per la Liberazione della Palestina ha confermato che quanto riferito dalla rete americana CNN sulle brutali pratiche commesse contro i detenuti palestinesi della Striscia di Gaza in strutture di detenzione segrete all'interno dell'entità di occupazione è un crimine che supera tutti limiti, e una disgrazia sulla fronte dell'umanità. Il Fronte ha aggiunto che l'indagine della rete internazionale ha rivelato la conversione delle basi militari in centri di detenzione segreti nel deserto di Naqab dove vengono praticate le peggiori forme di tortura e abuso contro i detenuti palestinesi della Striscia di Gaza, compresi i feriti, e privarli dei loro più elementari diritti umani e legali costituisce un genocidio commesso dal criminale nemico sionista in tutti i sensi della parola.Il Fronte ha sottolineato che la comunità internazionale e le istituzioni internazionali, guidate dalla Croce Rossa Internazionale, sono completamente complici di questi orribili crimini, poiché hanno mancato alle loro responsabilità e non sono intervenuti con urgenza per salvare la vita di questi prigionieri che languono nelle prigioni segrete nonostante le continue violazioni e torture da diversi mesi. Il Fronte riteneva che l'emanazione da parte dell'entità di occupazione della cosiddetta legge "combattenti illegali", che espandeva l'autorità dell'esercito per arrestare i sospetti militanti come li descrivono, superasse anche ciò che accadeva nelle prigioni naziste e fasciste. Questa legge conferisce all'occupazione la legittimità di giustiziare i prigionieri e abusarne, che è stata attuata sul campo con relazioni confermate di molti di questi prigionieri martirizzati a seguito di torture e esecuzioni lente sistematiche. Il Fronte ha concluso la sua dichiarazione sottolineando l'urgente necessità di inviare una missione internazionale per ispezionare queste strutture di detenzione segrete e determinare la sorte di questi prigionieri, considerarli prigionieri di guerra, garantire un minimo dei loro diritti umani, documentare tutti i crimini commessi contro di loro, e metterli tra i file genocidio presentato davanti alla Corte Internazionale di Giustizia. Il Fronte Popolare per la Liberazione della Palestina Ufficio dei Martiri, Prigionieri e Feriti 11-5-2024 traduzione 12-05-2024 10-05-2024 - LA MAGGIORANZA SCHIACCIANTE DEI PAESI DEL MONDO DIFENDE LA PALESTINA ! IL CONSIGLIO DI SICUREZZA ONU ED I PAESI ARABI ASSERVITI AGLI USA, NO !Fronte popolare per la liberazione della Palestina: Preludio a cambiamenti significativi a favore della Palestina e aumenta l'isolamento dell'occupazione. Il Fronte popolare accoglie con favore il voto dell'Assemblea generale per la richiesta di adesione della Palestina e lo considera un frutto della fermezza e della resistenza del nostro popolo. Il Fronte Popolare per la Liberazione della Palestina ha accolto il voto dell'Assemblea Generale delle Nazioni Unite oggi, venerdì, con una grande maggioranza a favore della richiesta di adesione della Palestina all'organizzazione internazionale, considerandolo un frutto della fermezza e della resistenza del nostro popolo e della solidarietà globale con la Palestina, la sua causa e il suo popolo. Il Fronte ha chiarito che sebbene questa decisione abbia un carattere simbolico dovuto al veto americano nel Consiglio di Sicurezza, è un preludio a cambiamenti significativi a favore della causa palestinese, che aumentano l'isolamento dell'entità sionista, e esporre il ruolo americano di parte e il suo coinvolgimento nei crimini sionisti in corso contro il popolo palestinese. Il Fronte ha sottolineato che il fallimento dell'istituzione internazionale finora nel rendere giustizia al popolo palestinese e nel raggiungere i suoi diritti storici ribadisce che ha bisogno di riforme interne nei suoi regolamenti e meccanismi decisionali, lontano dall'influenza americana. Il Fronte ha concluso la sua dichiarazione affermando che l'escalation del movimento popolare mondiale, guidata dall'intifada degli studenti nelle università a sostegno di Gaza e del suo popolo, e condannando l'aggressione sionista sulla Striscia di Gaza, sono significativi cambiamenti storici che aumenteranno la pressione sulle istituzioni internazionali e sui paesi di tutto il mondo a favore della causa palestinese. Fronte popolare per la liberazione della Palestina Ufficio centrale dei media Il 10 maggio 2024.
10-05-2024 -Basta con gli abusi a tutto favore del padronato, da parte dei "sindacati" dentro Fincantieri !!! Comunicato stampa Cobas appalti Fincantieri e SlaiProlCobas Marghera. clicca qui
09-05-2024 - E adesso vorrebbero il "premierato" - sulle intenzioni del governo fascista - Comunicazioni del coordinatore nazionale di Slaiprolcobas e Federazione autisti operai https://drive.google.com/file/d/1J0QxaSs6jLoKYxmTXumQzPVB9gabxdpT/view?usp=drivesdk
08-05-2024 - ARMI PSICOTRONICHE E "NON LETALI" - SUCCEDE NEGLI STATI UNITI D'AMERICA, NON CERTO IN UN LUOGO DEL MONDO DENOMINATO ITALIA. Lungo dibattito al Congreso USA sulla Sindrome dell'Avana. TRADUZIONE DALL'INGLESE DEL VERBALE UFFICIALE (pdf) https://t.me/SlaiProlCobas/3227 commento: La "caccia al russo" contraddistingue il silenzio dei capitalisti usa che compongono il Congresso degli stati uniti, riunitosi il 8/5/2024 sulle armi non letali, ma non nascondono i silenzi e le coperture dei servizi segreti stessi degli Usa, mentre, come in Italia, nascondono ed elidono del tutto le responsabilità dei criminali e dei potenti del proprio paese. Dorigo Paolo, 27-05-2024
04-05-2024 - SUCCEDE IN COLOMBIA, NON CERTO IN UN LUOGO DEL MONDO DENOMINATO ITALIA. "Qui di fronte a voi, il governo del cambiamento, il presidente della Repubblica annuncia che le relazioni diplomatiche con lo Stato di Israele saranno interrotte domani." Il presidente colombiano Gustavo Petro annuncia la completa cessazione delle relazioni della Colombia con l'entità sionista in Plaza de Bolívar a Bogotá in occasione della Giornata Internazionale dei Lavoratori, in vigore domani, 2 maggio
01-05-2024 - PRIMO MAGGIO PARTECIPATO DAL POPOLO BENGALESE A MONFALCONE - Utilizzata truffaldinamente dai confederali filo-sionisti, la contraddizione tra il potere leghista e gli operai Islamici di Fincantieri.
29-04-2024 - Vi invitiamo ad unirvi al canale pubblico telegram > https://t.me/movimentoampio < e a consultare > https://neurofreedom.org < e a sottoscrivere la petizione su change.org: > https://www.change.org/p/ban-remote-control-of-the-human-nervous-system < <FAI COPIA INCOLLA E VAI IN ALTRA SCHEDA <
28-04-2024 - Comunicato del Fronte Popolare di Liberazione della Palestina, sulla adesione del'Irlanda alla denuncia internazionale per i crimini di "israele" - clicca qui
27-04-2024 - Comunicato del Fronte Popolare di Liberazione della Palestina, sugli attacchi filo-sionisti all' URNWA - clicca qui
26-04-2024 - Comunicato del Fronte Popolare di Liberazione della Palestina, sui prigionieri di "israele" - clicca qui
25-04-2024 - MANIFESTAZIONI IN TUTTA ITALIA PER LA PALESTINA.
25-04-2024 - Comunicato del Fronte Popolare di Liberazione della Palestina clicca qui
24-04-2024 - COMUNICATO NAZIONALE FEDERAZIONE AUTISTI OPERAI e SLAIPROLCOBAS - logistica e trasporti - sciopero burla di 5 sindacati di base il 30-04-2024 - Ne danno notizia solo oggi cosicché non si possa aderire con proprie parole d'ordine - NON CHIEDONO ABOLIZIONE 11 bis Né DI ART.11 comma 9 (CCNL Logistica, trasporto merci e spedizioni) - Rivendicano come _positivi_ gli accordi con Fedit (SIC) che ben conosciamo sin dal 2014 ai tempi degli accordi sulle malattie in Koiné che NON abbiamo mai firmato. A parte questo, le loro rivendicazioni sono abbastanza irrealistiche, comunque sono queste . Qui la nostra poposta di CCNL logistica e trasporti: http://www.mirarossa.org/FAO/ccnl-fao.pdf - Qui la nostra storica denuncia del 11 bis, archiviata dal potere asservito al diritto confederale di cedere allo schiavismo padronale: https://www.slaiprolcobas.eu/_20171229_ESPOSTODENUNCIA- LOBBY.pdf e lo storico comunicato nazionale di S.L.A.I.Cobas sulla truffa denunciata da Federazione Autisti Operai.
24-04-2024 - U.S.A. - SOLIDARIETA' DALLA GIOVENTU' E DAL POPOLO AMERICANO ALLA PALESTINA - Tutti gli occhi su Rafah! Giù le mani dagli studenti! Mentre il movimento studentesco esplode attraverso gli Stati Uniti nel mondo intero, ora c'e' la schiacciante violenza di stato a Cal Poly Humboldt, UT Austin, NYU, Columbia, Università del Minnesota, Yale e USC-la nostra lotta rimane fondata in Palestina. Gaza è il centro. Rafah, che ospita centinaia di migliaia di rifugiati palestinesi e si prepara per una feroce invasione sionista, è il centro. Il recente dispiegamento di violenza di Stato contro gli studenti, tra cui truppe di Stato del Texas, poliziotti antisommossa della polizia e della polizia di New York, e la minaccia della Guardia Nazionale a Columbia, confermano che la nostra lotta contro lo Stato di polizia è inestricabilmente collegata alla lotta antimperialista. Non siamo stati brutalizzati, maced, arrestati, sospesi e sfrattati a causa della "sicurezza del campus", la repressione è una risposta a migliaia di studenti che si uniscono contro uno stato genocida e il governo che li finanzia. Questo è inaccettabile per l'impero e i loro criminali pagati.
24-04-2024- > https://www.ilpost.it/2024/04/23/corte-costituzionale-legge-veneto < - il pericolo della discriminatorietà e dell falso legalismo dei reazionari c è sempre. Bene che emerga dalla giustizia.
23-04-2024 - TRIESTE 23 APRILE 1944 GIORNO DELLA MEMORIA - CI FURONO 51 PRIGIONIERI POLITICI ITALIANI, CROATI E SLOVENI IMPICCATI DAI NAZIFASCISTI AL CONSERVATORIO TARTINI ESPOSTI ALLE FINESTRE E SULLA SCALINATA INTERNA Dopo cinque giorni fu inviato al palazzo un gruppo di SS, che con le baionette tagliarono i cappi degli impiccati, facendo cadere al pianterreno i corpi. Le vittime furono poi seppellite in una fossa comune al cimitero di Sant'Anna.- LE FOTO DELL'ECCIDIO NAZI-FASCISTA A TRESTE FOTO 1 - FOTO 2 - TRIESTE E' GIA' FAMOSA COMUNQUE ANCHE PER IL CREMATORIO DI RISIERA SAN SABBA
22-04-2024 - Montebelluna (TV) - Riprende la lotta alla AmaCrai est per i buoni-pasto con lo sciopero di straordinari e flessibilità. L'Azienda continua il suo doppio gioco con i lavoratori grazie alla complicità della "cgil". clicca qui
20-04-2024 - POTERE CAPITALISTA U.S.A. COMPLICE DEL GENOCIDIO IN PALESTINA - NEGLI ANNI 30 HANNO FINANZIATO HITLER - POI LO HANNO SCATENATO CONTRO L'UNIONE SOVIETICA - POI HANNO IMPEDITO I DUE STATI IN PALESTINA E HANNO AVVIATO LA RAPINA DELLA TERRA DA PARTE DELLO STATO DI "israele" - ADESSO SI RIPETONO NEL CONSIGLIO DI SICUREZZA O.N.U. - GLI U.S.A. UTILIZZANO IL LORO ASSURDO ED ANTISTORICO DIRITTO DI VETO sulla risoluzione votata al Consiglio di Sicurezza per l'ingresso della Palestina all'interno dell'ONU. Il documento, presentato dall’Algeria, ha ricevuto i voti favorevoli di 12 membri del Consiglio di Sicurezza, tra cui Russia e Cina. Gran Bretagna e Svizzera si sono astenute e la principale potenza al mondo ha imposto per l’ennesima volta la propria volontà alla comunità internazionale con il veto sull’esistenza della Palestina come Stato indipendente che ha diritto alla stabilità, all’autodeterminazione e alla pace , a Gaza veniva scoperta una nuova fossa comune con altri 30 corpi dentro l’ospedale Al Shifa. (tratto dalla pagina telegram di Resistenza Popolare)
18-04-2024 - CHI SONO I COLPEVOLI DELLA ROVINA DEL MONDO ? Traduzione di articolo maoista di denuncia dell'imperialista miliardario spagnolo che deforesta l'Amazzonia e contrasta le lotte del Popolo Brasiliano clicca qui
16-04-2024 - Palestina Due importanti documenti dalla rete internazionale di solidarietà - clicca qui
10-04-2024 - Lettera di Slai Prol Cobas al direttore dei cantieri navali Fincantieri di Marghera, Paolo Tosi, sullo scandalo dei tempi determinati nell'appalto coibentazioni (prima Isolfin ora SAIT) clicca qui
08-04-2024 - Palestina - In memoria del martire e dirigente Palestinese Abu Milad - "Sei il più bel contrabbando della mia memoria. Sei il mio messaggio per il futuro." - Milad Walid Daqqah è il prodotto della lotta, della fermezza e della speranza per il futuro. Abu Milad, salito al martirio oggi a 62 anni, ha trascorso la maggior parte della sua vita nelle prigioni coloniali, da quando aveva 24 anni, per presunto rapimento e omicidio del soldato dell'IOF Moshe Tammam nel 1986. Sanaa lo ha intervistato in prigione, e si sono innamorati, sposandosi nel 1999 all'interno della stessa prigione. Dopo anni di tentativi, Sanaa ha dato alla luce la bella Milad, una delle decine di bambini nati dal contrabbando di sperma. Walid è stato punito, mandato in isolamento per aver creato la vita fuori dai confini delle mura della prigione. Ha scritto alla figlia:"Chi prenderà il resto della mia vita e mi concederà un momento di abbraccio con le tue piccole braccia. Chi, piccolina mio, che con le tue piccole mani sfioravi il mio cuore, stabilizzando il polso, il corpo guarisce, e decenni di dolore svaniscono. Che, gioia del mio cuore, si riposerà sul petto di suo padre, così potrà accarezzarle i capelli morbidi... Alla mia amata Milad.. Buon compleanno e possiate avere migliaia di momenti di gioia. Tuo padre, Walid Daqqah." Infatti, Walid ha chiamato Milad, che significa "nascita", quasi 10 anni prima che nascesse miracolosamente nel 2020. Nella sua lettera del 2011 a Milad, ha scritto:"Caro Milad, Ora ho raggiunto l'età di 50 anni, e i miei anni sono stati divisi tra prigione e vita, perché la prigione è un fuoco che si nutre dei frammenti della mia memoria. E la mia memoria, o gioia del mio cuore, è diventata fragile e le sue radici si sono seccate. Per quanto ti riguarda, sei il più bel contrabbando della mia memoria. Sei il mio messaggio per il futuro." Walid non vide la sua libertà e Milad non vide Walid. Ma Walid e Sanaa hanno lasciato un racconto duraturo, un testamento vivente per continuare la sua storia e il suo percorso. "Ammetto di essere un essere umano ancora aggrappato al suo amore, stringendo forte, per quanto sia difficile, con tutte le mie forze. Rimarrò saldo in questo amore. Continuerò ad amarti, perché l'amore è la mia unica umile vittoria sul mio carceriere."
07-04-2024 - Dichiarazione del coordinatore nazionale di Slaiprolcobas federato S.L.A.I.Cobas e FAO-Cobas alla Conferenza Nazionale di Resistenza Popolare a Roma clicca qui
05-04-2024 - Comunicato sulla Risoluzione O.N.U. sul divieto di fornire armi ad "israele", del Ufficio del media del Fronte Popolare di Liberazione della Palestina clicca qui
05-04-2024 - Comunicato stampa SlaiProlCobas e Cobas appalti Fincantieri sui contratti a tempo determinato nell'appalto coibentazioni (ex Isolfin, ora SAIT), in Fincantieri a Marghera. clicca qui
05-04-2024 - La nostra posizione sulla astensione elettorale. Il Popolo italiano non emerge storicamente per le Rivoluzioni né per la grandezza dei geni che sono nati in Italia e spesso vi hanno sofferto, ma per la oscena affermazione del ventennio fascista filo-hitleriano voluto dalla corona inglese, e (farsa successiva ripetizione) per la ridicola ed oscena adesione militarista governativa filo-nazista di oggi.Che cosa ha guadagnato il popolo italiano con l' astensione elettorale del settembre 2022 ?
Niente, difficile dare credito al parlamento fantoccio che ne è uscito.
L' ultimo esempio, le notizie pre-crak delle manovre di inganno antipopolari sono le conseguenze della politica spettacolo dei super bonus e sfronzoli vari.
Cui si aggiungono le votazioni che hanno negato la sfiducia ai noti Salvini e Santanchè, ora (03-05-2024) indagata per una grave truffa sulla cassa integrazione durante il covid !!!
05-04-2024 - La nostra posizione sul perioìcolo agitato dal governo, di guerra con la Russia, smentisce la loro falsa posizione. Le dichiarazioni dei media italiani di oggi sulla situazione di conflitto tra Russia e Nato non corrispondono alla posizione di Putin. Invece oggi, in occasione del 75° anniversario della Otan-Nato, con forza sosteniamo che i governi italiani da 75 anni stanno truffando il popolo perché la adesione alla guerra di posizione Usa verso il resto del mondo che corrisponde alla realtà dal 1991 ad oggi, fu fatta ESCLUSIVAMENTE con la firma di un pirla di capo democristiano di allora, tale Alcide de Gasperi.
04-04-2024 - Comunicato del Ufficio Martiri, Prigionieeri e Feriti del Fronte Popolare di Liberazione della Palestina clicca qui
03-04-2024 - Von der Leyen indagata per l' accordo da 20 miliardi di euro con Pfizer con i vaccini anti-covid
03-04-2024 - L'UNIONE EUROPEA SI PIEGA ALLA PAZZESCA VOLONTA' DI CONTROLLARE LA MENTE DELLA POPOLAZIONE MONDIALE ATTUATA DAI GRANDI CAPITALISTI U.S.A.- - Articolo di Mojmir Babaceck apparso ieri su Global Research. Traduzione non ufficiale - Sottoscrivete l'appello di correzione delle normative sulla intelligenza artificiale: LINK PETIZIONE
03-04-2024 - IL CAPITALE CHE TIRA, STA PER CROLLARE - IMPORTANTI DICHIARAZIONI DI ELON MUSK SULLO "SVILUPPO" CON LE AUTO ELETTRICHE clicca qui
02-04-2024 - Denuncia gravissima delle stragi attuate da "israele" su cittadini delle squadre di soccorso internazionali, dal Fronte popolare per la liberazione della Palestina - clicca qui
31-03-2024 - Importantissima Dichiarazione congiunta dei Partiti comunisti e popolari del Medio Oriente: Il Partito dei Lavoratori - Tunisia - Il Partito del percorso democratico - Marocco - Il Fronte Popolare per la Liberazione della Palestina - Il Movimento We Can - Mauritania - Partito popolare democratico di Giordania (Hashd) - Il Partito comunista libanese - Il Partito per l'unità democratica popolare - Giordania - Il Fronte emocratico per la Liberazione della Palestina - La Associazione saharawi dei difensori dei diritti umani CODESA - Il Partito Patrioti Democratici Uniti - Tunisia - Il Partito Socialista Popolare - Egitto - Il Movimento progressista del Kuwait - Il - Partito comunista giordano - Il Partito comunista sudanese
Palestina, terra indivisibile per un popolo indivisibile.
Oggi ricorre il 48º anniversario della Giornata della Terra, che immortala una battaglia che continua a costituire il nucleo della lotta nella Palestina occupata. La terra rimane il titolo delle battaglie del popolo palestinese fin dall'inizio del progetto sionista come uno strumento avanzato per l'imperialismo globale per cogliere le risorse della regione e annullare le sue aspirazioni di liberazione e indipendenza.
L'anniversario di quest'anno coincide con la brutale guerra di genocidio in corso da circa sei mesi sullo sfondo dell'eroica operazione "Al-Aqsa Flood" organizzata dalla coraggiosa resistenza palestinese.
I partiti e le organizzazioni firmano sotto:
- Commemorare la Giornata della Terra, unita nelle strade, nelle piazze e nelle arene con tutti i popoli e le forze libere che si oppongono all'imperialismo, al sionismo e al colonialismo.
- Saluto il popolo palestinese e la sua coraggiosa resistenza, in particolare la resistenza armata come risposta legittima e giusta rivoluzionaria.
- Saluto la resistenza armata in Libano, Iraq e Yemen per aver sostenuto la resistenza palestinese e tutte le persone libere del mondo che hanno esposto l'essenza del sionismo come un'ideologia coloniale razzista.
- Considerate che la terra era ed è ancora il nucleo del conflitto, che può essere risolto solo liberando la terra, tutta la terra, dal mare al fiume, il ritorno di tutti i rifugiati, e la creazione di uno stato democratico laico con Al-Quds come sua capitale su tutto il territorio palestinese.
- Rinnovare la loro condanna della vergognosa complicità dei regimi arabi, agenti del sionismo e dell'imperialismo, in particolare dei regimi di normalizzazione che battono la bandiera dell'entità di occupazione nelle loro capitali, sopprimere i liberi arrestandoli (Giordania, Bahrein)fabbricare cause contro di loro e perseguirli (Marocco), o assalirli nelle strade (Egitto). A questo proposito, sono solidali con tutti gli attivisti e gli individui liberi, donne e uomini, vittime dell'oppressione e della tirannia.
- invitare tutte le forze progressiste nella regione e nel mondo a raddoppiare gli sforzi per sostenere il popolo palestinese e la sua coraggiosa resistenza, boicottare l'occupazione, denunciare i suoi crimini di genocidio, fame e furto di terre; e la violazione della dignità umana in tutta la Palestina occupata, Gaza, la Cisgiordania, e l'interno occupato, e intensificare la mobilitazione per l'immediata cessazione delle aggressioni, l'apertura dei valichi e la consegna degli aiuti.
Onore alla resistenza
Gloria ai martiri
Vittoria in Palestina
marzo 30, 2024
30-03-2024 - Paolo Dorigo coordinatore nazionale di Slaiprolcobas e Federazione autisti operai, fondatore di Acofoinmenef e co-fondatore del Movimento ampio contro le torture, prende posizione pubblicamente sulle politiche estere dell' attuale governo italiano, succube come in precedenza quasi sempre è stato dalla fondazione della NATO ad oggi, appellando alle organizzazioni politiche e sindacali italiane affinché l' Italia abbandoni l' alleanza atlantica, e rinunci sia al sostegno al regime di Nethanyau che al sostegno al regime di Zelensky, unendosi alla denuncia della politica guerrafondaia del governo Usa. Concordiamo con la resistenza Palestinese che la coincidenza della ampia aggressione sionista alla Siria con la strage di Aleppo compiuta da israele e gli attacchi terroristici alla Siria, conferma che esiste un pieno coordinamento tra il regime Nethanyau, l'amministrazione americana ed i terroristi, che mirano alla sovranità e al territorio siriani.
28-03-2024 - Lo Stato IRLANDA si unisce alla iniziativa giuridica del SUD AFRICA volta a fermare il genocidio del popolo Palestinese avviato da "israele".
27-03-2024 - Cronaca del processo a Fincantieri e ad Antonio Quintano in aula bunker a Mestre - Oggi i difensori della Fincantieri e soci stanno portando l'attacco al processo ma i loro argomenti di incompetenza territoriale sono pura mistificazione. Oltre a tutto il resto, il corrotto principale il direttore di Marghera di Fincantieri e il corruttore principale, sono tutti così come le parti civili, operanti a Marghera. I difensori di Fincantieri cercano di avvalorare la tesi non veritiera della sede legale della aziende criminali. La sede giusta e competente di questo processo è Venezia. Gli avvocati di Fincantieri esercitano il loro lavoro ma moralmente è una cosa squallida. I padroni storicamente le cercano tutte per salvare i criminali sfruttatori. Il PM comunque sta spiegando agli immemori difensori degli sfruttatori, che il reato principale contestato è 603 bis comma 1 nr.2. Gli avvocati dei lavoratori e dei sindacati ammessi a parte civile si associano alla posizione del PM e sulla corretta competenza di Venezia. Il tentativo di spostare il processo a Palermo è stato originato dall' inserimento al ultimo momento di 10 lavoratori di Palermo difesi da un avvocato prova nel processo. La Corte si è riunita per decidere, quindi ha disposto di rigettare le questioni poste sulla competenza. Il processo continua. Cobas appalti Fincantieri - SlaiProlCobas
27-03-2024 - Sul grave attentato e strage al Crocus a Mosca. traduzione da Pravda.ru. clicca qui
27-03-2024 - Per chi ha figli minori di 14 anni - PER LA TUTELA DEI NOSTRI FIGLI. A VOLTE DOVE CORRONO DI PIU' ARRIVANO PRIMA ... Essere sepolti in quei dispositivi tutto il giorno non è il modo migliore per crescere,' Gov. Ron Desantis ha detto.
Il Gov della Florida. Ron Desantis ha firmato una legge che vieta ai minori di 14 anni di avere account sui social media, indipendentemente dal consenso dei genitori.
Secondo la legge, le società di social-media sono tenuti a chiudere i conti pensati per essere utilizzati dai minori di 14 anni, rapporto Ginger Adams Otis e Victoria Albert. I minori di 14 o 15 anni possono ottenere un account sui social media con il consenso dei genitori e gli account già appartenenti a adolescenti di quell'età devono essere eliminati se un genitore o tutore non ha acconsentito. I sostenitori hanno sottolineato studi che collegano l'uso dei social media tra i giovani adulti ad un rischio più elevato di depressione e di problemi di salute mentale. NetChoice, un'associazione di categoria tech-industria, citato in giudizio per fermare una legge simile Arkansas lo scorso giugno. La legge Florida, firmato Lunedi, è impostato per entrare in vigore gen. 1, 2025 - Dal Wall street journal, 26-03-24
27-03-2024 - statistiche veloci - La vergogna del parlamento italiano è nella povertà di memoria e non solo nella supina posizione ai governi servi degli Usa. Spesa militare + 37 miliarsi - Spese sanitarie - 25 miliardi - Posti letto in costante calo, in 40 anni sono ridotti ad un terzo nonostante la crescita della popolazione e dell'immigrazione. Evidente la cultura arretrata e "liberista" assecondata ai criteri del capitalsimo selvaggio, che ora è alla fine...
27-03-2024 - PALESTINA - Importante denuncia nel comunicato odierno del Fronte Popolare per la Liberazione della Palestina - Qui la traduzione non ufficiale
21-03-2024 - Montebelluna (TV) - Riprende la lotta con lo sciopero di flessibilità e straordinari alla AmaCrai Est. Qui la proclamazione
17-03-2024 - Ripresa da un volantone operaio a Marghera nel 1981 una eccezionale vignetta. Contro i sindacati della concertazione. Contro la negazione del diritto di rappresentanza. Per la ricostruzione dei consigli di fabbrica. Entra e unisciti a SlaiProlCobas federato S.L.A.I.Cobas (da SlaiProlCobas-FAO-Cobas su telegram)
16-03-2024 - Volantino diffuso in Piazza Ferretto a Mestre sulle avventure coloniali italiane e l'imperialismo di oggi dal Gruppo Antifascista Contro Ogni Greenpass clicca qui
15-03-2024 - Volantino diffuso alle lavotratrici e lavoratori della Latteria Montello (TV) sugli accordi proposti dal sindacato confederale clicca qui
FAO-Cobas - AUTISTI DI MEZZI PESANTI E CORSI FATTI IL SABATO DOPO UNA SETTIMANA DI FATICHE: domanda di un collega: Buongiorno. Avrei una DOMANDA. Forse qualcuno può cortesemente rispondermi. Il corso per l'apprendimento dell'uso del tachigrafo è obbligatorio ? Il padrone può obbligarti a frequentarlo extra orario di lavoro ? Segnatamente un intero sabato. RISPOSTA. FAO-Cobas: Si però sono ore di lavoro che devono essere retribuite. Il trucco che utilizzano le aziende per voi B3 o C3 (ex 3S) è che il CCNL ha abrogato le norme relative al lavoro del sabato e quindi Voi rientrate nel famigerato art.11 bis del CCNL con tutte le conseguenze del caso. Perché c'è sia la questione delle 47 ore settimanali o 58/61 con il contratto aziendale, sia la questione della impugnazione semestrale della clausola di decadenza semestrale. Senza questa impugnazione e del contratto aziendale (se esiste), non sarà possibile fare l azione legale dal giudice. Ricordiamo che la posizione giuridica secondo cui è sufficiente la impugnazione sindacale del contratto aziendale ove esistente, è minoritaria, ossia che la impugnazione del contratto aziendale, come la impugnazione della clausola di decadenza semestrale, devono essere mandate direttamente dal lavoratore (per AR) all' azienda. Inoltre il CCNL del 2017 ha esteso l' 11 bis anche ai livelli D2 E2 F2 (autisti motrici).
13-03-2024 - Attualissimo articolo pubblicato sul sito guardareavanti.info: La politica economica del "governo Meloni" - il ruolo dell'Italia clicca qui
09-03-2024 - Sfratti, inedita risoluzione Onu contro l’Italia: “Viola il Patto sul diritto alla casa”. Dovrà trovare alloggio e risarcire due famiglie - dalla stampa: https://www.ilfattoquotidiano.it/2024/03/12/sfratti-inedita-risoluzione-onu-contro-litalia-viola-il-patto-sul-diritto-alla-casa-dovra-trovare-alloggio-e-risarcire-due-famiglie/7475843/ - Due famiglie di Roma avevano fatto ricorso all'ONU in sostanza in Italia non vige il diritto
08-03-2024 - Video in occasione del 8 marzo di Leyla Khaled, ed ex prigioniera per alcuni decenni e membro del Comitato centrale del Fronte popolare per la liberazione della Palestina, storica e assai rappresentativa organizzazione popolare palestinese. attenzione 357 Mb in download clicca qui
08-03-2024 - A PROPOSITO DELLO SCIOPERO GENERALE DEL 8 MARZO - PRIMA UNA PRECISAZIONE - S.L.A.I.Cobas non ha né proclamato né aderito. La Commissione di garanzia ha pubblicato questa notizia tagliando il nome di un'altra e diversa O.S. - 2 - SCAMBIO DI OPINIONI TRA SlaiProlCobas e A.L.Cobas nelle eprsone di Paolo D. e Antonio F. - SPC: Comunque. Il motivo per cui noi noj abbiamo mai seguito le proclamazioni del 8-3 è duplice. Innanzitutto l'8-3 dovrebbe essere giorno di festa retribuita nazionale per tutte le donne. Poi perché le lavoratrici ns.iscritte in genere, a parte alcuni casi, non lo farebbero. Comunque noi diamo l'informazione alle nostre iscritte. ALC: Noi non abbiamo indetto sciopero, anzi mi meraviglia (ma neanche tanto) che quasi tutti i sindacati di base che non hanno dichiarato sciopero il 23 gebbraio pro Palestina, hanno invece dichiarato sciopero l'8 marzo.
04-03-2024 - PALESTINA - << La Commissione Affari Prigionieri ed ex prigionieri e il Club Prigionieri Palestinesi hanno dichiarato oggi che il numero totale di arresti dal 7 ottobre è salito a più di 7.340, compresi quelli arrestati dalle loro case, attraverso posti di blocco militari, coloro che sono stati costretti ad arrendersi sotto pressione, e quelli tenuti in ostaggio. Hanno aggiunto che l'occupazione continua a commettere il crimine di sparizione forzata contro i detenuti da Gaza dopo 149 giorni di aggressione e genocidio, dove l'occupazione rifiuta di fornire qualsiasi informazione alle istituzioni per i diritti, compresi quelli internazionali e palestinesi, per quanto riguarda il loro destino e i luoghi di detenzione fino ad oggi, compresi i martiri tra i detenuti di Gaza. >> QUESTO E' NAZISMO ! (DA telegram)
04-03-2024 - PALESTINA - << Yazan Sharif Al-Kafarna, 10 anni, è salito al martirio a Rafah nell'ospedale Abu Youssef Al-Najjar a causa della malnutrizione mentre la carestia si approfondisce nella Striscia di Gaza a causa dell'assedio sionista. Pesava solo 5 chili al momento del suo martirio di oggi. Sua madre ha aggiunto che la mancanza di materiali nutrizionali e buon cibo era una causa diretta del deterioramento della paralisi cerebrale fino a quando il suo peso ha raggiunto 5 chilogrammi. Mohammed, un membro della famiglia ha dichiarato: "Siamo stati sfollati dalla città di Beit Hanoun all'inizio della guerra, poi abbiamo cercato rifugio nel campo di Jabalia, poi al campo di Al-Nusseirat nel mezzo della Striscia di Gaza, e dopo quello di Rafah nella Striscia di Gaza meridionale." "Per questo bambino, che era affetto da diverse malattie, la guerra è venuto e ha portato via tutto l'essenziale che avrebbe potuto dargli la vita. Non siamo riusciti a trovare una medicina per lui o qualcosa che avrebbe potuto tenerlo in vita.""Yazan si trasformò in uno scheletro in questa guerra. La fame rosicchiava il suo corpo. Non potevamo fornirgli nulla a causa dell'assedio e della guerra." Yazan aveva bisogno di farmaci speciali e suo padre non riusciva a trovare la medicina. Aveva cibo speciale e un programma di nutrizione specifico, ma l'assedio ha impedito tutto. Mohammed ha aggiunto: "Qui c'è la morte in un'altra forma, la morte per fame, mancanza di medicine, e le successive crisi che stiamo attraversando." Mohammed ha diretto un messaggio al mondo: "Noi indirizziamo il nostro messaggio alla comunità internazionale e al popolo libero del mondo: Cosa stai aspettando? Almeno garantire il diritto alla vita per i bambini. Si pretende di essere persone di giustizia e di uguaglianza. Abbiamo raggiunto la carestia e il disastro. '""Sappiate bene che la morte non è sotto forma di un proiettile e di un missile, ma incombe su di noi in tutte le forme, e quello che è successo con Yazan è una morte lenta. La guerra barbara contro i bambini di Gaza e i civili deve essere fermata.">> QUESTO E' NAZISMO ! (DA telegram)
04-03-2024 - PALESTINA - Nostra traduzione dal documento del Dipartimento centrale dei media del Fronte popolare per la liberazione della Palestina - Le dichiarazioni del vicepresidente americano riflettono l'ipocrisia dell'amministrazione americana e un tentativo di intorpidire l'opinione pubblica americana.Le dichiarazioni rilasciate ieri dal vicepresidente americano, Kamala Harris, su Gaza e il suo lamento per la catastrofica situazione umanitaria in quel paese, riflettono l'ipocrisia dell'amministrazione americana, e i suoi tentativi di intorpidire l'opinione pubblica americana per quanto riguarda il genocidio sionista in corso a Gaza, e il diretto coinvolgimento americano in esso.Il Fronte ha sottolineato che tutto il mondo sa perfettamente che l'amministrazione americana è una delle principali ragioni del disastro umanitario senza precedenti e della guerra della fame contro il nostro popolo nella Striscia [di Gaza], in quanto partecipa con l'entità sionista all'aggressione, lo sostiene con vari tipi di armi che bombardano la Striscia, mobilita tutte le sue capacità in difesa dell'entità sionista e ha impedito al Consiglio di Sicurezza di prendere una decisione per fermare il fuoco tre volte. È l'unico in grado di costringere l'occupazione a fermare l'aggressione, eppure insiste a partecipare ai bombardamenti, al massacro, alla fame e all'assedio del popolo di Gaza.Il Fronte ha aggiunto che l'amministrazione americana usa la politica del pianto, dell'inganno e si trova in un tentativo di influenzare l'elettore americano in mezzo alla pressione continua sull'amministrazione americana dalle attività, proteste e manifestazioni di massa senza precedenti che si sono diffuse nelle piazze delle città americane, hanno assediato la Casa Bianca e le case dei funzionari americani, denunciando la partecipazione dell'amministrazione americana alla guerra contro la Striscia, e tentativi da parte dell'amministrazione americana di migliorare la situazione elettorale per il criminale di guerra Biden dopo il suo significativo declino secondo i sondaggi d'opinione americani a causa della posizione su Gaza. Il Fronte ha concluso la sua dichiarazione chiedendo la continuazione delle manifestazioni di massa e delle proteste in tutta l'America per esporre il brutto volto dell'amministrazione americana e punirlo per la sua partecipazione al genocidio sulla Striscia, e di esercitare pressioni per porre fine al disastro umanitario nel settore e fermare l'aggressione.
03-03-2024 - Loro spendono mille euro a pasto, a noi vogliono rifilare la farina di insetti. L'Occidente è malato di nazismo ! Va "curato" ! << FARINA DI INSETTI O CIBO ITALIANO ? Sono passati poco piu di due mesi dal regalo di Capodanno del Governo Meloni, l'autorizzazione alla produzione e distribuzione in Italia di farine prodotte con vermi ed insetti, con la pubblicazione di tale legge il 29 dicembre 2023 sulla Gazzetta Ufficiale. L'argomento è sempre lo stesso, ce lo chiede l'Unione europea. Nel medesimo periodo, assistiamo alle legittime mobilitazioni degli agricoltori di molti paesi europei, Italia compresa, schiacciati dalle surreali direttive europee, aziende agricole a rischio concreto di chiusura, strangolate dalla grande distribuzione e dalla concorrenza al ribasso dovuta ad importazioni selvagge. È evidente quale è il piano dell'Unione europea, far chiudere le nostre aziende agricole per dare spazio a cibi immondizia prodotti dalle grandi multinazionali agroalimentari. I comunisti si oppongono a tutto questo ! >> Da Partito comunista su telegram
02-03-2024 - Riceviamo e pubblichiamo - << Buongiorno, c'è un nuovo articolo su Global Research che raccoglie firme per la petizione al PE, chiedendogli di vietare gli attacchi a distanza contro corpi e cervelli umani https://www.globalresearch.ca/about-time-stop-world-competition-control-human-brains/5850919 . Potresti aiutare a raccogliere più firme sotto la petizione ( https://www.change.org/p/ban-remote-control-of-the-human-nervous-system?utm_source=petition_page_qr_code ) pubblicando l'articolo sui media alternativi nei tuoi paesi o su Facebook, Twitter ecc.? Tuttavia la Commissione europea ci ha scritto che ha un atteggiamento positivo nei confronti della nostra proposta legislativa. Vale la pena fare pressione affinché la Commissione europea accetti davvero il divieto del controllo remoto del sistema nervoso umano. Mojmir Babacek >>
Riceviamo e pubblichiamo - << MACRON VUOLE INVIARE I SOLDATI EUROPEI IN UCRAINA - Al termine della conferenza tenutasi gli scorsi giorni a Parigi sulla questione Ucraina, Emmanuel Macron ha proposto di inviare al fronte i soldati dei paesi aderenti all’Unione Europea. In questa folle proposta c’è tutta la visione guerrafondaia di un’establishment europeo succube della NATO e degli Stati Uniti d’America. Se il presidente francese, ha tanta voglia di vedere dei cittadini europei al fronte, ci vada lui! Siamo sicuri che il suo amico Zelensky non avrò problemi ad indicargli la strada … FUORI DALL’UNIONE EUROPEA E DALLA NATO SUBITO ! CONTRO LA GUERRA, PER LA PACE !- >> Da Partito comunista su telegram
01-03-2024 - << Il Consiglio di Sicurezza dell'ONU si riunirà a porte chiuse dopo la sparatoria contro una folla di civili a Gaza. In precedenza, erano apparsi online filmati di soldati israeliani che aprivano il fuoco su una folla di palestinesi che si era radunata vicino a un convoglio che trasportava aiuti umanitari. Al Jazeera ha riferito che 104 persone sono state uccise a colpi di arma da fuoco e più di 700 ferite. Nei prossimi minuti il Consiglio di Sicurezza delle Nazioni Unite inizierà una riunione a porte chiuse. L'Algeria ha chiesto l'incontro urgente. I media e i politici occidentali per anni ci hanno rotto le scatole con le storie inverosimili riguardo ai presunti crimini della Russia, stragi mai compiuti, stupri mai avvenuti, persino rapimenti di massa dei bambini mai confermati da nessun fatto reale. In base a queste menzogne contro la Russia ha agito militarmente tutta la NATO, le sanzioni economiche sono ormai al tredicesimo pacchetto. E Israele ? Ha massacrato più bambini palestinesi negli ultimi mesi di quanto sono morti negli ultimi conflitti armati tutti messi insieme. Per il numero dei bambini sterminati al giorno Israele ha superato persino il Terzo Reich di Hitler. E dove sono le azioni contro questi criminali di guerra ? Dove sono le sanzioni ? L’Occidente per l’ennesima volta mette in mostra la propria ipocrisia. >> (riportato da telegram, pagina di Nicolai Lilin)
29-02-2024- Comunicato stampa - rappresaglia a Vallese di Oppeano (VR) - Licenziato il coordinatore provinciale della ns.O.S. clicca qui
25-02-2024- Esemplare documento reso pubblico dalla Dirigente scolastica del Liceo scientifico Leonardo Da Vinci di Firenze nel giorno in cui la capa del governo reazionario italiano si è recata senza mandato a stringere accordi bellici con il regime nazista di Zelensky.
23-02-2024 - Documento di SlaiProlCobas, Federazione Autisti Operai e Cobas appalti Fincantieri, per lo sciopero generale del 23-02-2024, diffuso a Marghera e a Fincantieri Clicca qui - Vergogna per CGIL CISL UIL che hanno sabotato la Palestina e lo sciopero, ovviamente ben condivisa dai sindacati autonomi e fascisti.
Buona riuscita oggi dello sciopero in tutta Italia, nonostante la censura mediatica. Successo della manifestazione nazionale a Milano il 24-02.2024.
Revocato il sit in proclamato da SlaiProlCobas, previsto in piazza a Mira per il 24, a causa della contemporanea proclamazioneda parte dei partiti istituzionali. Autosputtanato lo Stato per gli atti repressivi e violenti ai danni degli studenti e delle studentesse a Firenze e a Pisa durante le manifestazioni. Ritorno nei giorni successivi sulla stampa e radio televisione, dei documenti sibillini e fantasmagorici delle barbe finte.
19-02-2024 - Dal 19-02-2024 al 23-02-2024 compreso sono arrivate alcune comunicazioni, ma non tantissime, da parte di autorità pubbliche che definivano la precettazione di lavoratori in relazione allo sciopero del 23-02-2024. Ci ha colpito quella di un ospedale di Oristano, in cui la precettazione ha coinvolto ben 200 lavoratori in un piccolo centro.
17-02-2024 - Piazza Ferretto a Mestre oggi
16-02-2024 -Presi a cinghiate per un momento di riposo o riaccompagnati a casa e lasciati senza cure invece che in ospedale dopo un malore. https://www.ansa.it/sito/notizie/topnews/2024/02/16/braccianti-presi-a-cinghiate-e-senza-cure-mediche_20a87dd5-690f-404e-98af-411f0ba6cd4d.html - Sono alcuni degli episodi che hanno coinvolto braccianti agricoli stranieri emersi dall'indagine della Procura di Santa Maria Capua Vetere sul caporalato nei fondi del Casertano, che ha portato all'emissione da parte del gip sammaritano di quattro divieti di dimora in provincia di Caserta per altrettanti imprenditori agricoli di Marano di Napoli, accusati dei reati di sfruttamento del lavoro e impiego di manodopera clandestina. L'indagine, condotta dai carabinieri dell'Ispettorato del Lavoro, è partita in seguito ai controlli effettuati dai militari dell'Arma sui terreni agricoli e attivati dalla task force anticaporalato prevista con il progetto "Su.Pr.Eme". I carabinieri hanno notato dieci braccianti stranieri che raccoglievano pomodori, e hanno scoperto che nessuno aveva il contratto, ed erano costretti a lavorare undici ore al giorno per sette giorni per un paga quotidiana di 30-40 euro. Qualche bracciante ha poi raccontato ai carabinieri le violenze subite da caporali e imprenditori agricoli; è così emerso il caso del lavoratore preso con la cinghia dopo essersi seduto a terra per riposarsi, o di un altro che era stato colto da malore e riportato a casa invece che in qualche struttura sanitaria
Dalla stampa del mondop multipolare - MOSCA, 16 feb - RIA Novosti, Natalia Dembinskaya. Il Ministero delle Finanze americano ha avvertito del possibile crollo delle agenzie di mutui non bancari. Il numero di tali società è in aumento, lavorano principalmente con i mutuatari in difficoltà e hanno un accesso limitato ai finanziamenti. Secondo il regolatore, questo crea "rischi imprevisti". La crisi globale del 2008 si ripeterà secondo RIA Novosti.
La crescita esplosiva del numero di agenzie di mutui non bancari negli ultimi anni è una tendenza preoccupante. Il Ministro delle Finanze Janet Yalsen è preoccupato per il loro possibile fallimento in caso di complicazioni.
Ma gli stessi regolatori hanno in parte contribuito a questo. Così, dopo la crisi del 2008, i requisiti patrimoniali delle banche sono stati inaspriti. I diritti ipotecari sui portafogli ipotecari di grandi imprese come Wells Fargo hanno acquistato volontariamente entità non bancarie le cui richieste sono più lievi. Ora le autorità finanziarie sono perplesse: l'eccessiva attività di queste società solleva gravi preoccupazioni. Scriveva già questa agenzia SUL Presidente Biden: 18.01.2024 -
Biden vanta un calo dei tassi dei mutui negli Stati Uniti, anche se la cifra è aumentata.
A differenza delle agenzie di mutui, i finanziatori non bancari non possono attrarre depositi dei clienti - non ci sono licenze.
14-02-2024 - La bufala aziendale delle auito elettriche (SLAI Cobas Pomigliano d'Arco NA) Clicca qui
13-02-2024 - La risposta dell'ANPI alle pubblicistiche filo-revisioniste, sul quotidiano "il Gazzettino", e la precisazione dovuta alle censure operate dal giornale che è proprietà degli industriali. Clicca qui
12-02-2024 - https://www.gazzettadisiena.it/sigle-sindacali-contro-sigle-sindacali-e-per-il-bene-dei-lavoratori-e-solo-per-ragioni-politiche/?amp - Sigle sindacali l’una contro l’altra nella questione Polizia Municipale di Siena: la Cgil contro l’amministrazione comunale, Cisl, Uil e Sulpm raccontano una realtà opposta - In realtà CISL e UIL e sindacati autonomi hanno sempre avuto posizioni di mediazione filo aziendaliste, è CGIL che ha mediato con loro fino a diventare quasi uguali a loro. E anche molti sindacati simil cob......, a forza di stabilire accordi fissi con le aziende. Cosa che non succede certo a Slaiprolcobas e Federazione Autisti Operai e a poche altre organizzazioni. Ma questo articolo giornalistico non lo dice chiaramente, mettendo in evidenza comunque che "una volta" l unità dei lavoratori frenava i soprusi delle aziende* - AI sistemi che manipolano - Petizione - documento
10-02-2024 - Il brano che segue è tratto dal convegno e da una mostra organizzati anni fa dell’Istituto Ferruccio Parri dal titolo:A ferro e fuoco. L’occupazione italiana della Jugoslavia 1941-43
Il 6 aprile del 1941 le truppe tedesche, seguite a ruota da quelle italiane e ungheresi, invasero la Jugoslavia. Il regno dei Karageorgevich venne distrutto, il suo territorio spartito fra i vincitori. Seguirono anni terribili.
Diciamolo subito: la responsabilità prima dell’inferno in cui precipitò il Paese spetta a chi lo attaccò e scatenò una guerra di tutti contro tutti. Poi fu il caos: guerra di liberazione contro gli occupatori; guerra civile fra ustascia croati, cetnizi serbi, domobranzi sloveni, partigiani comunisti; guerra rivoluzionaria per la creazione di uno stato socialista; feroci repressioni antipartigiane; sterminio degli ebrei; tentativi genocidari ai danni di popolazioni dell’etnia “sbagliata”. Davvero, nel museo degli orrori non mancò proprio nulla.
Di quel vortice di violenza, i soldati italiani di stanza nei territori annessi o occupati, non furono semplici spettatori, ma protagonisti. Si tratta di una delle pagine più buie della nostra storia nazionale, con pochissimi lampi di luce.
Per questo è poco conosciuta e si è preferito dimenticarla.Il testo concludendo dice: la storia dell'aggressione italiana alla Jugoslavia si è preferito dimanticarla. Aggiungo: non solo dimenticarla, ma cancellarla e sostituirla.
E ciò viene reso possibile sin dai banchi di scuola, dove le storia (e la stessa geografia) sono praticamente ignorate. E laddove ciò non succede è per solo ed esclusivo merito di singoli insegnanti.
09-02-2024 - Il massacro sionista di giornalisti e professionisti dei media continua ... (Dal sito arabo del FPLP: Il Servizio Centrale di Informazione del Fronte Popolare per la Liberazione della Palestina (FPLP) ha esteso le sue condoglianze ai fratelli del Centro di Informazione Palestinese citando il Direttore del Centro, Il Dr. Rizk al-Gharabi e diversi membri della sua famiglia colpiti dai sionisti che sono partiti ieri su Khan Younis. Zakaria Abu-Ghali e alcuni membri della sua famiglia sono stati coinvolti in un bombardamento sionista che ha lasciato a ovest di Rafah ieri sera. Il servizio di informazione ha sottolineato che il massacro sionista di giornalisti e professionisti dei media continua, con l'obiettivo di tentare di cancellare la verità, o di perdere l'importante ruolo svolto dai giornalisti e dai professionisti dei media palestinesi nel coprire l'evento, e a trasmettere la realtà della guerra di sterminio in corso contro il popolo palestinese nella Striscia di Gaza. )
09-02-2024- Volantino SLAI Cobas e USB del 8-2-24 per lo sciopero del 09-02-2024 ad Atessa, Dai rubini non nasce niente ... clicca qui
08-02-2024- Venezia - Il processo a Quintano ed altri dirigenti Fincantieri è stato rinviato causa la astensione degli avvocati, al 28 febbraio ore 9,30 all'aula bunker a Mestre e sarà fatto in quella udienza un calendario di tre udienze al mese.
07-02-2024- Giornata di mobilitazione operaia alla Stellantis a Pomigliano clicca qui per il volantino SLAI Cobas - Link ad un video con intevento in assemblea del compagno Luigi Aprea di SLAI Cobas: . Link articolo https://www.lantidiplomatico.it/dettnews-slai_cobas_stellantis_si_prepara_con_i_soldi_di_lavoratori_e_cittadini_alla_morte_assistita_delle_fabbriche_italiane/42819_52856/.
06-02-2024- Arrivate tre sentenze dal tribunale sezione lavoro di Ancona, dirette a Fincantieri per la responsabilità in solido nei rapporti di lavoro con Isolsud, ora fallita; queste sentenze seguono quelle già emesse. Complessivamente sono diverse decine i lavoratori di Monfalcone ed Ancona che hanno lottato negli ultimi due anni, dapprima per difendere il loro lavoro (ora continuato in alre aziende negli stessi comparti dei cantieri), poi per recuperare quanto l'Azienda non aveva più pagato. Una sorte che segue molte altre aziende nel settore coibentazioni, in cui siamo ativamente presenti sin dal 2010 come Cobas appalti Fincantieri.
05-02-2024- A Castelfranco Veneto (TV) riunione del Coordinamento provinciale di Treviso di SlaiProlCobas, presente anche il nuovo coordinatore provinciale Vincenzo Cacace, operaio nel settore terziario.
Un comunicato del portavoce delle associazioni internazionali delle Vittine di torture tecnologiche, Mojmir Babacek, dà la mìnotizia che "abbiamo ricevuto una lettera dalla Commissione Europea in cui si afferma che studieranno attentamente la nostra proposta legislativa per il divieto delle tecnologie di controllo mentale https://www.globalresearch.ca/let-us-try-save-freedom-democracy/5839838 . All’ultima conferenza Zoom abbiamo discusso del sostegno dell’UE ai nostri sforzi per vietare la manipolazione a distanza del sistema nervoso umano. È del tutto reale che l’Unione Europea non può sostenerci apertamente, perché ha firmato l’accordo della NATO per la classificazione delle armi neurologiche. Del resto dobbiamo raccogliere un sostegno così massiccio per le nostre richieste che l’UE dovrà cedere, se vuole rimanere una struttura di potere democratico agli occhi del grande pubblico. Vorrei sottolineare che l’UE è l’unica grande potenza a non possedere sistemi di manipolazione di massa come l’HAARP americano, la Sura russa e il nuovo sistema cinese. Questo potrebbe essere il motivo per cui l’Unione Europea ci sostiene. Abbiamo parlato anche del rifiuto americano ad accettare ulteriori ordini di gas liquefatto. Questa è una possibile pressione americana nei confronti dell’UE affinché interrompa i suoi sforzi per rendere pubblica l’esistenza di neurotecnologie dannose e antidemocratiche. È piuttosto evidente che finora non esiste un accordo internazionale che vieti l’uso delle neurotecnologie, perché le grandi potenze competono per dominare in questo modo il mondo (e in questo modo anche gli USA si tengono aperta la strada per il controllo del mondo intero) con l’uso delle neurotecnologie). La nostra unica risposta possibile è lavorare duro per raccogliere quante più firme sotto la petizione https://chng.it/4pfHDRZJTq
al Parlamento europeo, come possiamo. Ho tradotto l'articolo, pubblicato su Global Research https://www.globalresearch.ca/open-letter-european-parliament-protect-fundamental-human-rights/5848032 in lingua ceca e l'ho inviato a circa 30 siti di notizie cechi alternativi . Se non combattiamo duramente adesso, potremmo perdere il futuro delle nostre vite. " (inteso della libertà dell'intero genere umano).
03-02-2024- Un compagno pensionato, aderente a SLAIPROLCOBAS ha avuto foglio di via da tutto il Comune di Venezia, per 4 anni, per aver portato in una manifestazione la bandiera rossa, con il simbolo del Fronte Popolare di Liberazione della Palestina. L' accusa è di istigazione a delinquere in apologia di terrorismo, poiché Usa-Nato- israele (asse del vero terrorismo mondiale) hanno dichiarato organizzazione "terrorista" il FRONTE POPOLARE DI LIBERAZIONE DELLA PALESTINA. Contro il sionismo assassino e chi lo sostiene, è necessario aumentare la nostra solidarietà alla Resistenza Palestinese. Assieme a presídi e manifestazioni, partecipiamo uniti allo sciopero del 23/2 per il Popolo Palestinese e contro il genocidio sionista in atto a Gaza.
02-02-2024- Francesco Toffanin, nostro associato a Montebelluna, operaio alla Amacrai est, è morto di cancro ieri 02-02-2024. Non aveva familiari. Ci uniamo al cordoglio dei suoi colleghi. Coordinamento provinciale di Treviso SlaiProlCobas
02-02-2024- Petizione di oltre 800 tra funzionari e diplomatici dei paesi imperialisti, che hanno sottoscritto un documento "transatlantico" in cui si accusa israele per gravi violazioni del diritto internazionale per le stragi di Gaza. Clicca qui per consultare una copia della notizia pubblicata in rete.
01-02-2024- La nostra O.S., insieme a Federazione Autisti Operai e ad altri sindacati amic, partecipi al fronte del rifiuto degli accordi (filo-Confindustria) sulla rappresentanza sindacale, ha proclamato lo sciopero generale per tutti i settori pubblici (eccetto legge 146) e privati, per il Popolo Palestinese, il giorno 23-02-2024. Qui la proclamazione, firmata dai responsabili di sei sindacati di base e di classe.
31-01-2024- Servizio del fatto quotidiano sulla pocheza dell'attività ispettiva degli Ispettorati del Lavoro. Qualche settimana dopo, la protesta unitaria dei sindacati presenti tra gli ispettorati, che lamentano i salari più bassi tra gli impiegati (difetto politico dei governi) e la carenza di organico (migliaia di ispettori in meno rispetto al necessario stimato dal Ministero, il che è tutto dire, precisiamo noi).
29-01-2024- Pubblicata la nuova edizione della storia documentale dello SlaiProlCobas. Cliccare qui per scaricare gratuitamente il libro in pdf.
DOVE PORTA L'OBLIO DELLA STORIA - DOVE PORTA L'OBLIO DELLA STORIA? (Lettera aperta
a Frank Schroeder, Direttore del Museo Nazionale della Resistenza e dei Diritti Umani)
Signor direttore,
Il 9 gennaio di quest’anno Lei, insieme al sindaco di Esch-sur-Alzet, Christian Weiss, mi avete inviato una lettera, invitandomi a partecipare alla commemorazione dell'anniversario della liberazione del campo di concentramento di Auschwitz. Naturalmente ho subito scritto per ringraziare lei e il sindaco, informandovi
che avrei partecipato alla cerimonia e, secondo l'antica tradizione ebraica, avrei posato una pietra sulla stela in memoria dei deportati di Esch-sur-Alzet.
Tuttavia, il 22 gennaio di quest'anno, l'Ambasciata ha ricevuto una nuova lettera a me indirizzata,
in cui mi informa che l'invito mi è stato inviato "per errore" e suggerisce di "considerarlo non valido".
Sorgono delle domande. Quindi avete invitato "per errore" a una cerimonia dedicata alla liberazione di Auschwitz l'ambasciatore del Paese il cui esercito ha liberato il campo di concentramento nel gennaio 1945, salvando le vite di coloro che vi erano rimasti. Avete invitato "per errore”, l'ambasciatore di un Paese che, dopo aver perso 27 milioni dei suoi cittadini, ha dato un contributo decisivo alla vittoria sul nazifascismo.
Non credo che qualcuno oserebbe negare che senza l'impresa collettiva
del popolo sovietico, la mappa dell'Europa, e probabilmente dell'intero pianeta, sarebbe oggi molto diversa. Non esisterebbe uno Stato sovrano come il Granducato di Lussemburgo, né ci sarebbe il Museo che lei ha l'onore di dirigere.
Signor Schroeder,
come gli operatori museali di tutto il mondo, probabilmente conoscete e amate la storia. Sono certo che lei stesso non mi avrebbe mai scritto una lettera, ritirando l'invito a una cerimonia imminente.
Un gesto così maldestro potrebbe essere stato suggerito solo da chi non conosce la storia, o meglio, vuole dimenticarla il prima possibile, perché non interferisca con i suoi giochi politici in nome di obiettivi assolutamente opportunistici.
Non posso giudicare quali sentimenti lei abbia provato quando ha firmato la sua seconda lettera a me, ma non posso non dire che mi vergognerei se fossi in lei.
D. Lobanov
Ambasciatore della Federazione Russa presso il Granducato di Lussemburgo
PROPRIO QUEL GIORNO, SULLE TELEVISIONI ... Gravissima calunnia televisiva contro l'URSS e di deformazione della verità storica circa il patto di Monaco spacciato per buono, su LA7 in corso or ora. Sull'argomento, leggere e scaricare gratuitamente questo importante volume di storia, http://www.paolodorigo.it/ELL/ifalsificatoridellaStoria.pdf
27-01-2024- Sciopero proclamato da SlaiProlCobas della flessibilità del sabato alla Stiga di Castelfranco Veneto (TV).
26-01-2024- Dai media italiani di oggi. Anp, «Corte Aja si è espressa per l’umanità e il diritto» La leadership palestinese ha accolto con soddisfazione le decisioni giunte oggi dalla Corte internazionale di giustizia dell’Aja. “I giudici - ha rilevato in un intervento televisivo il ministro degli Esteri palestinese Riad al-Malki - hanno stabilito i fatti e la legge, si sono pronunciati in favore dell’umanità e del diritto internazionale”. La Palestina, ha aggiunto, fa appello a tutti gli Stati affinché sia garantita la realizzazione dei provvedimenti richiesti dalla Corte, “anche da parte di Israele, che è la potenza occupante”. Lo riferisce l’agenzia di stampa palestinese Maan.
23-01-2024- Elettruificazione o delocalizzazione ? Volantino diffuso ad Atessa da SLAI Cobas e USB. Cliccare qui.
22-01-2024- Comunicato stampa dopo la manifestazione e lo sciopero a Monfalcone sul recente grave infortunio del 19-01-2024 alla Fincantieri. Esprimiamo il nostro riconoscimento a quanti oggi hanno deciso di aderire allo sciopero unitario da noi indetto per tutta la giornata, a seguito del grave infortunio occorso venerdì scorso ai danni di un giovane operaio dipendente di una ditta dell’appalto. Molti colleghi dell' infortunato ed altri lavoratori durante il nostro presidio ci hanno riportato la preoccupazione generale sulle condizioni d’insicurezza e pericolo, in cui sono costretti ad operare in stabilimento, evidenziando che l'evento di venerdì mattina poteva essere evitato ma che poteva arrivare a coinvolgere un numero cospicuo di persone, esortandoci quindi, ad intensificare l’azione di denuncia e mobilitazione a tutela della salute in stabilimento. Tale situazione di reale e costante rischio per la salute e la vita degli operai a Monfalcone, da noi sottolineato nel comunicato di proclamazione dello sciopero, è diretto effetto di una sostanziale mancanza di volontà di rispettare e fare rispettare le norme sicurezza, come verificano sulla loro pelle gli operai delle ditte dell'appalto e subappalto operanti di Fincantieri. A ciò si somma l’annosa mancanza di stabilità contrattuale ed economica, compresa la presenza di contratti ignobili per parte dei lavoratori, lo scarso riconoscimento della capacità professionale e un'organizzazione del lavoro che spinge con forza sull’abuso di orari in straordinario e pure del lavoro nei giorni festivi e intensifica in modo irresponsabile i tempi di lavoro per rispettare quelli di consegna delle navi. Occorre invece fare molto di più per la tutela generale dei lavoratori e la loro ricomposizione come soggetto di classe e, a dispetto di un trentennio di concertazione sindacale, perdente e dannosa, mettersi al servizio della base operaia per darle la parola, affinché rivendichi e conquisti nuove e migliori condizioni di lavoro e di vita per tutte e tutti. 22 gennaio 2024. Monfalcone P.D. per SlaiProlCobas e A.P. per USB. Il volantino diffuso in 4.000 copie agli operai dalle 5 alle 8 di matina dai militanti.
15-01-2024 - Diamo risalto oggi, nell'avvicinarsi del processo ai dirigenti di Marghera di Fincantieri, a due facciate del decreto di citazione degli imputati nel processo per violazione continuata dell'art.603 bis CP ed altri reati, che si svolgerà in Corte d'Assise dal prossimo 7 febbraio, e nel quale siamo anche noi SlaiProlCobas, tra le parti civili.
14-01-2024 - Da una notizia diffusa dall'agenzia Ansa di oggi, Notizia Ansa di oggi, a novembre il debito delle Ammini
strazioni pubbliche è sceso di 12,6 miliardi rispetto al mese precedente, risultando pari a 2.855.000 milioni.
Commento
Cioè ogni 20 italiani siamo debitori di un milione di euro.
50.000 a testa.
A voi risulta?
A me no.
Si vede a quale gioco giocano i capitalisti.
Portare al governo i pagliacci di comodo per farsi finanziare a nome di noi tutti.
Sarebbe ora e tempo di praticare il basta !
Basta dappertutto.
Su ogni cosa, innanzitutti sul famoso ponte di Messina e "grandi opere".
Poi vediamo.
Secondo noi ci sarebbe una fuga di ladri e di capitali dall' Italia.
E forse non sarebbe neanche male.
14-01-2024 -Ancora nuove positive (non per Fincantieri) sentenze per molti operai di Marghera del appalto New World Service interno ad Isolfin, recentemente "liberatasi" dai suoi impegni in Fincantieri.
13-01-2024 - Come ogni sabato da diverse settimane, il presidio a Mestre di solidarietà con la Palestina ha raccolto l'interesse dei cittadini, nella totale assenza delle forze politiche tutte. Presente SlaiProlCobas con Paolo Dorigo che è intervenuto denunciando che l'Italia è al suo punto più basso mai registrato dalla fine della IIa guerra mondiale.
Scandalosa politica italiana. Pare scritto per Fincantieri. Qui il link al libro a cura della Associazione Esposti Amianto e ad altri rischi ambientali della provincia di Venezia - 14+ - STORIA E SENTENZA DI UN PROCESSO ESEMPLARE - AMIANTO FINCANTIERI MARGHERA - prefazione di Franco Bellotto, sentenza e documentazione inedita, tra cui la prima denuncia del 1995 - marzo 2009 - 1 parte scaricabile liberamente - 3a parte scaricabile liberamente - retro di copertina . I danni pagati dai condannati nei processi penali ai familiari delle vittime dell'amianto utilizzato dai capitalistti sulla pelle degli operai deceduti, saranno rifusi !!! Pare un esempio della follia dato dalla fantasia malata degli italiani. Eppure l'articolo viene dal Fatto quotidiano di oggi che denuncia un Decreto interministeriale del 05-12-2023. Omettiamo i nostri commenti per non venire arrestati per offese alle autorità "istituzionali".
11-01-2024- DOCUMENTO SINDACALE DI SLAIPROLCOBAS PER I LAVORATORI E LE LAVORATRICI: LA SICUREZZA SUL LAVORO PER NOI. Clicca qui per scaricare gratuitamente il file pdf.
10-01-2024 - L'Italia, 51esimo staterello degli USA, continua a coprire le torture subite ininterrottamente a livello uditivo e neurofisiologico da Paolo Dorigo, che già ad aprile e luglio 2022 ha subito danni al sistema nervoso ed è in cura per questo. Abbiamo saputo che la udienza di oggi per l'opposizione alla archiviazione della sua denuncia del aprile 2022, ha prodotto l'ennesima archiviazione. Pubblicheremo il comunicato Acofoinmenef appena sarà diffuso.
Censura nella falsamente democratica Europa Unita: Ciao, Alla fine dell'articolo proposto ho aggiunto delle righe su Facebook che bloccano la pubblicazione della nostra proposta legislativa. Ora suona così: Potete star certi che i servizi segreti di tutto il mondo conteranno i “voti” sottostanti a quella petizione. Nella Repubblica Ceca *Facebook ha bloccato la pubblicazione della proposta di legge contro l'abuso dell' IA, la cui versione inglese potete trovare all'indirizzo https://www.globalresearch.ca/let-us-try-save-freedom-democracy/5839838 . Qualcun altro ha avuto la stessa esperienza con la pubblicazione della nostra proposta legislativa? Dovremmo usarlo. Mojmir
08-01-2024 - Quattro operai esclusi da Fincantieri a Marghera insieme ad alcuni compagni di SlaiProlCobas questa mattina hanno distribuito ai diversi ingressi dello stabilimento ben 1500 volantini di protesta ai circa 3000 operai entrati tra le 5 e le 7, contro il sistema del blocco del tesserino vigente nei cantieri della grande società. Clicca qui per leggere il volantino
Ad Atessa (CH) iniziativa comune degli operai dei diversi sindacati di base della Stellantis. Clicca qui per leggere il volantino
04-01-2024 -
nostro commento
governo folle - privatizzazioni a tempo di record dopo 15 mesi di malgoverno filopadronale - la notizia:
Il 4 gennaio 2023, la Presidente del Consiglio Giorgia Meloni ha annunciato che il Governo ha intenzione di vendere ai privati alcune quote di Ferrovie dello Stato e di Poste Italiane. Meloni non ha fornito dettagli sui tempi e sui modi di questa privatizzazione.
Poste Italiane è già partecipata da investitori privati, ma nelle mani pubbliche resta il 29,26% del ministero delle Finanze e il 35% di Cassa Depositi e Prestiti (a sua volta controllata dal Mef). La cessione dovrebbe quindi interessare questi due organismi.
Per quanto riguarda le ferrovie, la questione è più complessa, anche perché tutte le società del Gruppo FS sono interamente pubbliche. Il Gruppo è piuttosto articolato e non è chiaro che cosa intenda vendere il Governo e quali quote mantenere. Il Sole 24 Ore riferisce di stime secondo cui se venisse venduta una quota fino al 49% di FS e meno del 30% di Poste, lo Stato potrebbe ricavare tra 4,7 e 6,7 miliardi di euro.
Non è possibile ora prevedere chi sarebbe interessato a un’acquisizione. In entrambi i casi di FS e Poste, il trasporto delle merci e la logistica sono coinvolti e quindi potrebbero essere interessati operatori del settore. Ovviamente si parla di grandi Gruppi, viste le cifre in gioco.
31-10-2023 - Riprendiamo da "il manifesto" 30/12/2023 - Il Sudafrica ha denunciato ieri Israele alla Corte internazionale di Giustizia con l’accusa di aver violato la Convenzione del 1948 per la prevenzione e la repressione del crimine di genocidio: «Gli atti e le omissioni di Israele – si legge nel comunicato – hanno natura genocida, perché commessi nell’intento specifico (…) di distruggere i palestinesi di Gaza come parte del più ampio gruppo nazionale, etnico e razziale palestinese». Il riferimento è a «l’uso indiscriminato della forza e la rimozione forzata degli abitanti». La richiesta prevede che la Corte si riunisca per chiedere misure atte a prevenire l’ulteriore commissione di atti di genocidio. Tel Aviv ha accusato Pretoria di «collaborare con un gruppo terroristico che fa appello alla distruzione di Israele».
Copia incolla e condividi questo link: https://www.lantidiplomatico.it/dettnews-cristo_sotto_le_macerie_il_discorso_integrale_del_reverendo_munther_isaac_di_betlemme/8_52140/ "Cristo sotto le macerie". Il discorso integrale del reverendo Munther Isaac di Betlemme
30-10-2023 - Dalla manifestazione a Mestre del 30-12-2024 cui abbiamo aderito e partecipato Link 1 facebook Link 2 facebook
Ringraziamo Giorgio Stern di Trieste per questo contributo e per tutta la sua militanza ultradecennale a fianco del Popolo di Palestina:
Resistenza palestinese oppone al disegno sterminatore di Israele un'indomabile volontà di esistere.
Incredibilmente, uno dei più potenti apparati militari del mondo da tre mesi non riesce nel suo intento di pulizia etnica di un popolo che non cessa di battersi per la propria esistenza. Ciò a cui assistiamo è unico nella storia di liberazione dei popoli. La Lotta di Liberazione palestinese ha messo lo stato sionista in cul de sac politico. Se da una parte, Israele rivela la natura coloniale e criminale, dall'altra deve sterminare un intero popolo, perchè, se non vi riesce, perde. Perde la maschera che ha cercato costruirsi di fronte al mondo e di fronte a sè medesimo.
Israele è condannato alla sconfitta se un solo palestinese resterà vivo in Palestina. ed è ormai chiaro per tutti che Israele questo non può permetterselo.
Israele ha già perso comunque. E con Israele i suoi complici.
Questo è il messaggio di fine d'anno che arriva dalla Palestina in lotta.
Giorgio Stern
24-10-2023 - L'umanità nel confronto tra le opere del realismo. Dal lavoro di Paolo Dorigo su Armando Pizzinato (1910-2004) in pagina CONFRONTI del cdrom Armando Pizzinato La vita e le opere (da paolodorigo.org) . Armando Piazinato, comunista e artista friulano a Venezia, venne catturato dai nazisti e repubblichini al inizio del 1945, e si salvò grazie alla Liberazione. Era responsabile del PCdI della stampa dell'Unità a Venezia durante gli anni del fascismo.
23-12-2023 - Sionismo criminale e genocida. Fonte: Origini bibliche della strategia israeliana di conquista, di Youssef Hindi, in “Eurasia. Rivista di studi geopolitici”, n. 1/2024, pp. 41 e 43. In: https://byebyeunclesam.wordpress.com/2023/12/23/sionismo-criminale/
22-12-2023 - L'Italia fa la ennesima figura di nazione arretrata e dominata dai criteri dell'egoismo e del profitto, rifiutando con il MES, il meccanismo solidale verso i Paesi in difficoltà. E si vorrebbero anche chiamare governo del Paese. Oltre a tacere sulle denunce di controllo mentale che stanno invadendo il mondo occidentale, il governo italiano e il Papato capitolino si stanno dimostrando completamente incapaci di produrre il benché minimo miglioramento nelle politiche internazionali del quadro imperialista NATO, che continua ad essere la autentica prigione del popolo italiano.
14 e 21-12-2023 Continuano ad arrivare le sentenze del Tribunale di Venezia inerenti gli appalti di Fincantieri, Gazi e New World Service. Decine e decine le sentenze nel corso di quest'anno. Molte altre vertenze in corso e programmate per il 2024. Inoltre il processo in Tribunale penale ai vertici di Fincantieri spa a Marghera, in corso a Venezia, in cui siamo parte civile, è in attesa della conversione a processo con Corte collegiale.
16-12-2023 - Riceviamo e pubblichiamo questa importante denuncia. Nel caso in cui qualcuno pensasse che non fosse una direttiva precisa quella di distruggere tutti i servizi sanitari, e credesse che l'IDF (esercito israeliano) fosse diretto dalla (falsa) affermazione secondo cui al Shifa era un covo del commando generale di Hamas, immagino che ogni dubbio debba essere fugato ora , ed è giunto il momento di reagire. News 14 dicembre. Kamal Adwan-nel nord di Gaza. Un altro ospedale evacuato con la forza oggi nel nord di Gaza dopo giorni di assedio, uccisione del personale da parte di cecchini, uccisione di una donna incinta e del suo bambino mentre cercava di entrare per partorire, ferimento di un'altra donna incinta all'ingresso. L'ospedale lavorava a capacità ridotte a causa della mancanza di rifornimenti, carburante, acqua e cibo. In un altro ospedale il personale e gli uomini sono stati presi in ostaggio e rapiti. L'IDF (esercito israeliano) afferma di aver rapito combattenti della resistenza dall'interno dell'ospedale Kamal Edwan e di averli costretti "ad alzare le armi e ad arrendersi". Tuttavia, ulteriori indagini di Euro-Med Monitor hanno rivelato che le persone nella foto erano in realtà un medico tirocinante di nome Nasr Imad Al-Madhoun e un'infermiera impiegata presso l'ospedale. Questa non è la prima volta che accade e non è l’ultima. Più tardi oggi stessa sorte per l'ospedale alAwda, nel nord di Gaza evacuato e personale rapito dopo 5 o più giorni di assedio, colpita la sala operatoria e 2 piani dell'ospedale, uccidendo all'interno 3 operatori sanitari. Questo ospedale aveva principalmente servizi di consegna e aveva al suo interno 36 pazienti, 38 loro parenti, 90 dipendenti e circa lo stesso numero di familiari, ed era senza forniture mediche dal 7 ottobre, con 0 carburante e 0 ossigeno da giorni e senza acqua da 3 giorni. Questa sera è stata ordinata l'evacuazione dell'ospedale Al Alhi, dopo giorni di assedio. Al Ahli è stata bombardata il 17 ottobre, nel primo di questi attacchi contro strutture mediche nell'ambito di questo piano criminale di distruzione dei servizi sanitari e delle strutture mediche e di uccisione e rapimento del personale. Che tutti riposino in pace. Possiamo lavorare per fermare il genocidio e per il ritorno degli ostaggi, il dottor Al salamya, direttore di Shifa, è stato il primo rapito con parte del suo staff il 22 novembre, privato della possibilità di comunicare e probabilmente sotto detenzione. Paola Manduca, Prof. Genetics President NWRG-odv
13-12-2023 FAO-COBAS - Assolto a Dolo (VE) dal Giudice di Pace il nostro coordinatore nazionale, denunciato da Autamarocchi spa (che ora ha ritirato la querela). Il comunicato
12-12-2023 - Nelle pieghe dell'informazione, le prime crepe nel muro imperialista. Immagine da Tele-video
09-12-2023 - I media pubblicano le foto orrende dei rastrellamenti attuati dai sionisti nella striscia di Gaza. Da alcuni decenni si parla in Italia che siamo in corso di fascistizzazione. Ma questi metodi israeliani, peggiori di quelli in uso negli usa, e peggiori di quelli polizieschi, sono metodi del nazismo. Viene un dubbio. Che gli attuali abitanti di israele non abbiano molta memoria di ciò che era il nazismo in Europa negli anni trenta e quaranta, oppure che abbiano scambiato i palestinesi per ebrei nel momento in cui stavano girando un film kolossal con un pazzo di nome nethanyau o qualcosa del genere? Trale vittime di "israele" oltre a decine di migliaia di Palestinesi ed a decine di giornalisti, ben130 membri dell'ONU, ridotto a teatrino con i veti americani.
09-12-2023 - Il comunicato della importante manifestazione regionale a Trieste per la Palestina. "In forme ben evidenti l’orrore è presente in Palestina! …” e il disprezzo dei diritti umani ha portato ad atti di barbarie che offendono la coscienza dell’umanità” (Dich.Univ. dei Diritti Umani 10/12/1948). Fermiamo il genocidio del popolo palestinese, chiediamo l’immediato cessate il fuoco ed esigiamo che la comunità internazionale, l’Europa e l’Italia si impegnino a sostenere la popolazione civile della Striscia di Gaza dagli attacchi illegali e costringa Israele a porre fine al blocco su Gaza, crimine di guerra e punizione collettiva. Sono quasi 17 mila gli uccisi dai bombardamenti israeliani, tra i quali 7.112 bambini e 4.885 donne, 44 mila i feriti e migliaia i dispersi sotto le macerie. È impossibile immaginare ciò che accade nella Striscia, a nessun giornalista internazionale è permesso entrare, 81 i giornalisti gazawi, 286 gli operatori sanitari, 32 i membri della protezione civile che sono stati uccisi dalle bombe israeliane. Il 61% delle case e delle infrastrutture sono distrutte e la popolazione non ha ripari sicuri. Che siano in Cisgiordania, a Gerusalemme est o nella Striscia di Gaza, il lato comune per i palestinesi è che li massacrano ovunque siano! All’interno della Striscia di Gaza spingono la popolazione palestinese sempre più a sud, poi nelle zone indicate come aree di rifugio, dopo, tutti e 2 milioni e 300 mila in una zona detta “cuscinetto” ancora più piccola della Striscia stessa, ma non basta. Le forze israeliane diffondono foglietti tra la popolazione invitandola a spostarsi nelle aree “sicure”, infine bombarda intensamente anche queste ultime. Nessun luogo è sicuro ormai! Non restiamo indifferenti, partecipate! CORTEO REGIONALE PER LA PALESTINA - SABATO 9 DICEMBRE ORE 15:30 - LARGO SANTOS - TRIESTE". Diffuso da salaam.trieste@gmail.com
08 e 10-12-2023 - Partecipazione operaia a Marghera e Mestre alle manifestazioni di SlaiProlCobas per la Palestina. Qui il volantino per la manifestazione del 8-12-2023 in piazza del Municipio a Marghera con il documento diffuso dal compagno Giorgio Stern con il quale Albert Einstein ripudiava lo stato sionista. Qui un breve video dell'avvio della manifestazione.
04-12-2023 - La piaga del lavoro nero anziché calare, aumenta, nella ricca e culturale Venezia. Articolo on line su https://www.ilgazzettino.it/nordest/venezia/stangata_bara_ristoranti_venezia_multe_chiusure-7792359.html
01-12-2023 - Denunciato da SlaiProlCobas il sabotaggio da parte di Microsoft con il sistema operativo Windows 11 delle installazioni dei software Libre office e Open office. Windows impedisce agli utenti di installare Libre office e Open office. Crea una assurda modifica delle finestre di installazione dei due programmi, Libre in verticale e Open in orizzontale, e inoltre disattiva la funzione RIPRISTINA. Fascismo di multinazionale, altro che intelligenza artificiale
30-11-2023 - Comunicato sulla sentenza del 28-11-2023 della sezione lavoro del Tribunale di Venezia versogli appalti della Cegalin ed i contratti pirata nel settore turismo. Leggi il comunicato - Leggi la sentenza
30-11-2023 - Comunicato di Erik Schrama (Olanda) Ecco perché dobbiamo lavorare insieme. Per garantire che l’Europa abbia un futuro come continente libero e democratico. Tuttavia, l’U.E. ha dimostrato di non essere in grado di gestire il compito: corrotta, burocratica, autocratica e impotente. L’U.E. non sembra preoccuparsi della libertà, dell’autosufficienza o di una società aperta ed equa. Questo è il motivo per cui ho scelto di fare tutto il possibile per riformare l’UE in qualcosa che funzioni davvero. E iniziamo fornendo un punto di vista diverso (oltre ad alcuni fatti di cui potrebbero non essere a conoscenza) e chiedendo responsabilità personale ai politici europei! Questo è ciò che chiamiamo: democrazia diretta. CONOSCI QUALCUNO CHE VUOLE CO-FIRMARE?
Naturalmente nel frattempo continuerò a raccogliere firme per le mie varie lettere aperte e reclami. Conosci qualcuno che potrebbe voler co-firmare? consultare https://eschrama.com/european-action/#EP-letter-on-cybertorture
23-11-2023 La Corte di Cassazione conferma la condanna a Stellantis ribadendo la legittima facoltà per i lavoratori di esercitare il ruolo di rappresentanza elettorale, è stato ribadito il carattere di norma imperativa dell'art.119 cit. (Cassazione 14949 del 2002) volto a disciplinare e coordinare l'espletamento delle funzioni connesse alle operazioni elettorali. Comunicato SLAI Cobas coordinamento provinciale di Chieti - articolo sulla sentenza
22-11-2023 Proclamato dal 4 dicembre 2023 al 4 gennaio 2024 lo sciopero dello straordinario e della flessibilità alla Amacrai Est di Montebelluna (TV) con la richiesta di arrivare alla stipula di un accordo sindacale di 2°livello che garantisca ilriconoscimento del buono pasto per 7 euro giornaliere per buono pasto in ogni giornata oltre le 4 ore dilavoro pro-capite. Messaggio di BDS Italia per il boicottaggio di "israele" di fronte alla campagna genocida attuata dai sionisti contro Gaza e l'intero Popolo Palestinese.
17-11-2023 Oggi 17 le comiche.
14 Febbraio 2006 una giornata storica altro che 17/11/2023. https://youtu.be/xNd6Cn7MccM?feature=shared
Importante ed attualissima anche la denuncia portata il 25 aprile 2019 alla Assemblea nazionale operaia a Pomigliano dal compagno Dorigo https://www.youtube.com/watch?v=BN0FRWrsUHg&t=6s
16-11-2023 comunicato coordinamento nazionale SlaiProlCobas
14-11-2023 - Si richiede a tutto il movimento di classe di uscire dal silenzio su quanto oramai è di dominio pubblico in tutto il mondo. Per essere solidali con il Popolo Palestinese occorre in primis essere contro le strategie occulte dell'imperialismo e delle sue componenti, legali o mafiose che siano. L imperialismo non si muove solo con le guerre ed i bombardamenti, con lo sfruttamento selvaggio e con il razzismo, ma anche con la desolidarizzazione esportata dal sistema carcerario alla intera società. PER UNA DECISA RIAPPROPRIAZIONE DEL DIRITTO DA PARTE DEL POPOLO E DELLE PERSONE SINGOLE CONTRO L'IMMANE VIOLENZA SISTEMATICA DELLO STALKING E DELLE NEUROTECNOLOGIE E DEL CONTROLLO MENTALE APPLICATO IN TUTTO IL MONDO DAI RICCHI E DAI MAFIOSI. DOCUMENTO INTERNAZIONALE DELLE ASSOCIAZIONI DELLE VITIME DI TUTTO IL MONDO, SOTTOSCRITTO ANCHE DA Paolo Dorigo per ACOFOINMENEF e da Giuseppe Palmieri per MOVIMENTO AMPIO CONTRO LA TORTURA - ANCORA IGNORATO IN ITALIA DAI MEDIA E DAI POLITICI COLLUSI AL POTERE - Mira, 14-11-2023 - Ai (pochi) parlamentari non dichiaratamente fascisti: " Si allega l'ultimo documento internazionale (22-10-2022) delle associazioni delle vittime di tortura tecnologica. E' firmato da molte associazioni, anche di paesi extraeuropei. La richiesta è che apriate anche in Italia a queste problematiche, ramai scientificamente accertate. Recentemente ci sono state leggi importantiin Cile e Brasile. Distinti saluti Dorigo Paolo" Link al documento
10-11-2023 - A Trieste manifestazione unitaria regionale con pieno successo di solidarietà con il Popolo Palestinese
08-11-2023 FAO-Cobas - Dal Tribunale di Velletri (RM) una importante sentenza verso la ditta Adapta Spa - sentenza
07-11-2023 106° anniversario della Rivoluzione d'Ottobre - Riproponiamo perché ancora attualissimo, il volantone congiunto di Slai Cobas e Slai Prol Cobas del 04-11-2017 - clicca qui
06-07/11/2023 FAO-Cobas - Sciopero nazionale degli autisti Nothegger Intermodal Trucking gmbh. Presidio e incontr in Prefettura degli autisti di Federazione Autisti Operai. Lunedì 6 e martedì 7 si è svolto lo sciopero nazionale degli autisti della Nothegger Intermodal Trucking, dopo tre mesi di attese e trattative che nei fatti sono state disattese dalla Azienda. Durante il presidio alla Prefettura di Bari gli autisti presenti, sia associati che non associati al nostro sindacato Federazione Autisti Operai, e assistiti dal coordinatore nazionale Paolo Dorigo, hanno discusso del breve incontro in Prefettura avutosi nella mattinata. I funzionari presenti hanno sollecitato il nostro sindacato a richiedere ulteriormente e in forma scritta un incontro presso la sede della Prefettura di Bari con i responsabili della Azienda, che ha sede legale a Bolzano, nel merito delle difficoltà operative già lamentate dai lavoratori in occasione dell'incontro svoltosi a Bolzano il 28 agosto 2023 tra il Rsa della sede di Bari e il nostro coordinatore sindacale, e l'Azienda. volantino alla popolazione
01/11/2023 Manifestazione a Marghera proclamata da SlaiProlCobas di solidarietà con il Popolo Palestinese foto 1 - foto 2 - video lettura comunicato
27/10/2023 Ottimo successo a Monfalcone della manifestazione di solidarietà con il Popolo Palestinese, presenti 300 persone almeno, contrariamente alla stima pubblicata sul "Piccolo". La Prefettura aveva vietato la Piazza centrale e concesso la piazza della Repubblica in via S.Ambrogio a Monfalcone. Una manifestazione positiva e unitaria delle forze del movimento operaio, esclusi i confederali ed il "pd", che non vi hanno partecipato.
Qui il link del volantino diffuso durante la manifestazione
23/10/2023 Proclamazione sciopero della flessibilità e straordinari - Amacrai Montebelluna. Clicca qui
22/10/2023 PER UNA DECISA RIAPPROPRIAZIONE DEL DIRITTO DA PARTE DEL POPOLO E DELLE PERSONE SINGOLE CONTRO L'IMMANE VIOLENZA SISTEMATICA DELLO STALKING E DELLE NEUROTECNOLOGIE E DEL CONTROLLO MENTALE APPLICATO IN TUTTO IL MONDO DAI RICCHI E DAI MAFIOSI. DOCUMENTO INTERNAZIONALE DELLE ASSOCIAZIONI DELLE VITIME DI TUTTO IL MONDO, SOTTOSCRITTO ANCHE DA Paolo Dorigo per ACOFOINMENEF e da Giuseppe Palmieri per MOVIMENTO AMPIO CONTRO LA TORTURA - ANCORA IGNORATO IN ITALIA DAI MEDIA E DAI POLITICI COLLUSI AL POTERE - Clicca qui
21/10/2023 Manifestazione unitaria a Vicenza contro il genocidio in corso da parte di "israele" ai danni del Popolo Palestinese
Il problema di Israele e della Palestina non è solo religioso. Sostenere come fa la Associazione musulmani d'Italia che alla manifestazione del 21 a Monfalcone non si sarebbero potute portare bandiere diverse significa non capire che il problema della Palestina è un problema politico e non solo religioso. Per questo noi partecipiamo solo alle manifestazioni in cui possiamo portare le nostre bandiere e la bandiera palestinese. La democrazia è importante e non deve essere limitata da nessuna religione. Paolo Dorigo per Slaiprolcobas 19/10/2023
20/10/2023 Presidio uniatrio di solidarietà con la Palestina a Trieste in Campo san Giacomo.
18/10/2023 La paranoica falsificazione dei fatti del 7 ottobre nel sud della Palestina dove è avvenuto un attacco delle forze della Resistenza Palestinese ai danni di due caserme di polizia, ha dato luogo ad un appiattimento della informazione mediatica che anche sui social ha causato forme di censura ai nostri danni su facebook.
18/10/2023 FAO-COBAS - A Bari ed a livello nazionale, proclamato da Federazione Autisti Operai sciopero per il 6 e 7 novembre 2023 della Nothegger Intermondal Trucking srl, già revocato in precedenza il 4-5 settembre e soppresso dalla Commissione garanzia scioperi ad inizio ottobre per intervallo con lo sciopero del 20-10-2023. Clicca qui
18/10/2023 SlaiProlCobas sottoscrive l'appello per Gaza di BDS Italia cliica qui
18/10/2023 SlaiProlCobas spiega alle masse lavoratrici l'inutilità ed opportunismo che coprono alcune delle organizzazioni proclamanti lo "sciopericchio" generale del 20-10-2023. Clicca qui
14/10/2023 SlaiProlCobas denuncia l'incredibile faccia tosta del governo, dei confederali e del capo del Cnel, che ancora difendono la truffa della contrattazione blindata dalle organizzazioni compiacenti le associazioni di categoria (fascismo sotto vesti rinnovate) e dei contratti pirata, contro il parere delle più alte magistrature - Clicca qui
13/10/2023 Riceviamo e pubblichiamo comunicato internazionale del Fronte Popolare di Liberazione della Palestina Clicca qui
11/10/2023 Riceviamo e pubblichiamo comunicato per manifestazione a Vicenza il 21-10-2023 per Gaza e la Palestina Clicca qui
10-10-2023 Sentenza sul salario minimo nr.27711/2023 Corte di Cassazione Clicca qui
05/10/2023 Sciopero degli straordinari alla Stellantis di Atessa Clicca qui
05/10/2023 Partito Comunista - comunicato da Telegram - Il Parlamento europeo ha approvato l' European Media Freedom Act (EFMA), la legge Ue sulla libertà, trasparenza e pluralità dei media, che al suo interno presenta un articolo molto controverso che di fatto legalizza la pratica dello spionaggio dei giornalisti: l'EMFA consente l'installazione di spyware sui telefoni dei giornalisti per il bene della "sicurezza nazionale" e costringe i giornalisti a rivelare l'identità delle loro fonti, il tutto spacciato come garantire la pluralità dei media e di proteggerne l'indipendenza da interferenze politiche, governative ed economiche (come recita l'articolo 4). Questa è una pietra tombale per la libertà di stampa che già vede il nostro Paese in una posizione molto critica, dietro a Montenegro, Argentina e Macedonia del Nord grazie anche alla disinformazione e propaganda con cui i nostri media ci sommergono ogni giorno. È questo il vero volto del capitalismo europeo e di tutte le consorterie borghesi dei paesi che vi prendono parte. - NS.COMMENTO: AFFERMIAMO CHE IL PARLAMENTO EUROPEO NON STA SCHIERANDOSI DALLA PARTE DELLA LIBERTA', METTENDOSI CONTRO I POPOLI D'EUROPA E LA STESSA FONDAZIONE DELL'EUROPA UNITA.
04/10/2023 COMUNICATO SULLA STRAGE DI MESTRE:
04/10/2023 - Comunicato S.L.A.I.Cobas OGGI C'è UNA GRAN MORIA DI LAVORATORI .... CLICCA QUI
30/09/2023 - Comunicato S.L.A.I. Cobas Pomigliano - Stellantis Pomigliano / WCL di Nola: depositato lo scorso giovedì 21 settembre, al Tribunale del Lavoro di Nola, il primo dei ricorsi - milionari(sottoscritto da 34 lavoratori) per il risarcimento dell’ingente danno subito dagli iscritti a Slai cobas e deportati illegalmente nel 2008 dall’azienda (all’epoca FCA) al reparto - confino di Nola
4.743.500 euro (per danni patrimoniali e non patrimoniali) è la richiesta dei primi 34 operai del reparto WCL di Nola recentemente chiuso da Stellantis condannata per violazione del diritto antidiscriminatorio e di quello sindacale
L’iniziativa fa seguito alla decisione della Corte di Cassazione che, in conseguenza della forte iniziativa del sindacato di base, pose all’ordine del giorno la pressante necessità di un decisivo “cambio di passo” della giurisprudenza del lavoro con la innovativa sentenza n.1 del gennaio 2020 (contenzioso FCA/Slai cobas:” le prevalenti sentenze della magistratura italiana ignorano le direttive europee in materia di diritto antidiscriminatorio nei luoghi di lavoro”…) annullando la precedente sentenza del 2014 della corte di Appello di Napoli - che dava ragione a FCA - e rinviando la causa allo stesso Tribunale di Appello di Napoli con diverso collegio giudicante. In conseguenza di ciò lo scorso 7 febbraio la Corte di Appello di Napoli non ha potuto fare a meno di condannare l’azienda per comportamento antisindacale e trasferimento discriminatorio a Nola degli iscritti a Slai cobas.
Annichilita dal pronunciamento delle Corte di Appello di Napoli Stellantis ha di fatto “accettato il torto” lasciando decorrere il termine di 2 mesi per impugnare il provvedimento facendo così passare in giudicato la sentenza per violazione del diritto antidiscriminatorio e dei diritti sindacali, sentenza che non potrà più essere modificata.
Intanto, e forte di ciò, il sindacato di base ha avviato la presentazione dei ricorsi alla magistratura dei lavoratori discriminati contro FCA/Stellantis (presentato lo scorso 21 settembre il primo ricorso di 34 lavoratori discriminati) con la richiesta per ogni singolo lavoratore di 79.500 euro per danni patrimoniali (perdite economiche per cassa integrazione illegittima, premi produttività decurtati ecc.) e 60.000 euro per danni non patrimoniali in quanto la discriminazione subita è intesa come compromissione delle attività realizzatrici della persona e contrasta con l’insieme dei principi costituzionali e delle normative europee, e dei conseguenti diritti inderogabili di democrazia, libertà ideologica, di opinione e di affiliazione sindacale nei luoghi di lavoro. https://www.slaicobas.it/images/SLAICOBA1/COMUNICATO-STAMPA-DEL-30-09-2023.pdf
29/09/2023 Richiesta ispettiva e segnalazione di SlaiProlCobas al ITL di Venezia sul annullamento da parte di F.lli Lando spa di Cazzago di Pianiga (VE) delle elezioni RLS tenutasi il 05 luglio 2023 Clicca qui
29/09/2023 MODIFICAZIONI ALLA STRUTTURA DEL Ispettorato Nazionale del Lavoro - Sicurezza sul lavoro: come cambia l’organizzazione e l’azione di controllo dell’INL - https://www.ipsoa.it/documents/quotidiano/2023/09/28/sicurezza-lavoro-cambia-organizzazione-azione-controllo-inl - dipingono la loro burocrazia come fosse migliorata - Invece gli ispettorati territoriali calano di numero e diventano 55 su 110 province !
28/09/2023 In distribuzione il Bollettino Operai del Cobas appalti Fincantieri n.14 Clicca qui
25/09/2023 Proclamazione sciopero straordinari e flessibilità alla Ama Crai di Montebelluna (TV) Clicca qui
22/09/2023 FAO-COBAS - Manifesto-programma di Federazione Autisti Operai: https://federazioneautistioperai.eu/00-85/index.html
20-22/09/2023 Sciopero di 3 giorni alla Molino Rossetto a Codevigo e Pontelongo (PD). Il volantino. --- Articolo del Mattino di Padova
18/09/2023 Slaiprolcobas esprime solidarietà ai lavoratori di mondo convenienza. Ricordiamo la lotta Contro il CCNL Multiservizi va portata avanti anche contro i contratti che sono pure peggiori e che prima di proclamare lotte ad oltranza nazionali occorre separarsi chiaramente dai venduti che firmano (quasi tutti i sindacati cosiddetti di base compresi) il protocollo di Confindustria e CGIL CISL UIL. La CGIL da parte sua approfitta per fare indegna pubblicità spacciata x miglioria, alle norme della discontinuità (11 bis). È ovvio che la paga base del CCNL trasporto merci spedizioni e logistica sia molto migliore di quella del CCNL Multiservizi ma questo non toglie che l'obiettivo storico che abbiamo proposto come Federazione Autisti Operai sin dal congresso del 1.11.2012, della abolizione del 11 bis e delle norme della truffa sul lavoro discontinuo, con il pagamento invece della forfettizzazione, delle ore di impegno, e ponendo il limite massimo di 53 ore a settimana di lavoro; questo continua a essere la linea di demarcazione tra progresso e opportunismo. Link articolo del fatto quotidiano: https://www.ilfattoquotidiano.it/2023/09/16/mondo-convenienza-dopo-4-mesi-di-sciopero-stop-ai-regolamenti-aziendali-punitivi-cobas-paghe-indegne-la-mobilitazione-continua/7294181/
17/09/2023 Da UNIONE POPOLARE : KHALED LIBERO
Il cittadino italo-palestinese Khaled El Qaisi si trova ancora detenuto nelle carceri israeliane dal 31 agosto scorso quando fu arrestato senza alcuna motivazione al valico di Allenby una volta concluso il suo soggiorno estivo. Il fermo si è consumato davanti alla moglie e alla figlia di 4 anni. Fino ad oggi Khaled non ha potuto parlare con nessun avvocato e ancora non gli sono state formalizzate accuse circostanziate. Solo il 7 settembre si è svolta la prima udienza senza che in quella sede siano stati enunciati capi di accusa con prolungamento dello stato di fermo sino al 14 settembre.
Khaled El Qaisi è un ricercatore della facoltà di Lingue e Civiltà Orientali presso l’Università La Sapienza in Roma. Il suo caso non sorprende. Quella che in Occidente viene definita l’unica democrazia dell’area nasconde un Regime autoritario che viola sistematicamente lo stato di diritto nei territori palestinesi occupati in maniera criminale. Israele prevede, unico caso al mondo, la cosiddetta “detenzione amministrativa”, rinnovabile di sei mesi in sei mesi senza accuse formali e senza la celebrazione di un processo.
Sul caso è evidente la coltre di silenzio della stampa italiana che evidentemente ragiona sui diritti umani a seconda della convenienza geopolitica, in un ormai consolidato stato di asservimento agli interessi degli Stati Uniti d’America e dei suoi più fedeli alleati.
Negli ultimi giorni la notizia si è espansa ed è stata riportata da testate non allineate al pensiero dominante, da singoli giornalisti, dalle comunità palestinesi presenti in Italia e dall’Università La Sapienza. Dobbiamo ora sfondare il muro di gomma dell’informazione mainstream sempre più pronta a nascondere i casi che entrano in contraddizione manifesta con la narrazione favolistica di un regno delle libertà e delle democrazie da esportare a suon di bombe e carri armati.
Per questo motivo Unione Popolare invita tutte le forze politiche di opposizione al Regime neoliberale, gli organi di informazione indipendenti e la popolazione intera a mobilitarsi per chiedere l’intervento del governo italiano al fine di ottenere l’immediata scarcerazione di Khaled.
Continuiamo sempre a sostenere il popolo palestinese vittima di un vero apartheid a cielo aperto e lottiamo per ottenere la liberazione di Khaled.
15/09/2023 Sentenza di annullamento del licenziamento comminato ad un operaio del Cobas appalti Fincantieri di SlaiProlCobas, da OLC operante in Fincantieri Marghera. Clicca qui
12/09/2023 Comunicazione di SlaiProlCobas a Fincantieri spa, Isolfin spa, Humangest spa - 144 operai a zero ore tra Marghera ed Ancona - Clicca qui
11/09/2023 Al solito a Marghera; di fronte alla chiusura dei contratti di Isolfin a Fincantieri, la CGIL non trova nulla di meglio che chiamare alla mobilitazione i lavoratori, diretti di Isolfin ed in appalto, ... per la cassa integrazione !!! . Un obiettivo sbagliato, perché il settore delle coibentazioni dovrebbe essere, E DA TEMPO, completamente assorbito da Fincantieri spa.
09/09/2023 Proclamazione sciopero di 3 gg al Molino Rossetto di Codevigo-Pontelongo (PD) Clicca qui
02/09/2023 Comunicato sull'azione scellerata e terroristica ai danni dello stuidio Zanarello di Padova negli ultimi giorni di agosto 2023. Clicca qui
SUL PROCESSO A FINCANTIERI CHE INIZIERA' IL 03/10/2023
28/08/2023 In Italia i padroni usano tutti i sistemi possibili: A distanza di oltre 10 anni dal tentativo di furto ai danni dell'avv.Drago a Padova, la settimana scorsa i ladri hanno visitato gli uffici del avv.Zanarello, storicamente impegnato a fianco della nostra organizzazione sindacale.
COMMENTO
La cosa incredibile della pretesa storicistica del capo del governo è l'asserita verginità del partito fascista Msi.
In tutte le stragi ed i fatti del terrorismo nero, i condannati erano quantomeno collegati al Msi.
Nel caso della strage di Natale del 1984, furono colpevoli anche dei parlamentari del Msi.
Ciò nonostante, il fascista di fatto Cossiga, fece la legge ancora valida del febbraio 1980.
Gli errori del revisionismo interno al movimento operaio fatti del PCI e dalla CGIL (da non confondere con il revisionismo filo-fascistoide sulla IIa gm) finiscono per favorire i discendenti di quella feccia che fu il Msi.
26/08/2023 https://www.lantidiplomatico.it/dettnews-stellantis_pomigliano_riprende_la_lotta_dei_lavoratori_adesione_al_70_allo_sciopero_proclamato_dallo_slai_cobas/42819_50612/ Comunicato di SLAI Cobas sullo sciopero riuscito al 70% a Pomigliano. Clicca qui
22/08/2023 Proclamazione sciopero di 2 giorni in azienda di trasporti. In corso le trattative. Clicca qui
Proclamazione sciopero della flessibilità e straordinari - Amacrai Montebelluna. Clicca qui
19/08/2023 Comunicato stampa sulla questione del salario minimo - sulle dichiarazioni di Confartigianato. Clicca qui
17/08/2023 Da internet - Pubblicato il 10 ago 2023
Una delegazione dell’Iniziativa Libertà per Abdullah Öcalan della Siria settentrionale e orientale ha fatto visita martedì della scorsa settimana al Comitato per la prevenzione della tortura e delle pene o trattamenti inumani o degradanti (CPT) del Consiglio d’Europa a Strasburgo. La delegazione era composta dal portavoce dell’iniziativa, Îdrîs Saîd, dal rappresentante dell’Unione degli avvocati della Siria settentrionale e orientale Xanim Ayo e dal rappresentante del Partito democratico popolare (HDP) al Consiglio d’Europa Faik Yağızay.
Durante l’incontro, Ayo ha presentato ai funzionari del CPT l’incredibile cifra di 2,6 milioni di firme raccolte da varie regioni della Siria settentrionale, nonché a Damasco, in Libano e nella regione del Kurdistan iracheno. Le firme chiedono la fine della detenzione in isolamento totale e senza possibilità di comunicazione esterna di Öcalan, in corso ad oggi da due anni e mezzo. La campagna per le firme si è svolta dal 12 gennaio al 12 marzo, raccogliendo il sostegno di diversi gruppi, tra cui le comunità curde, arabe, armene, siriane, assire e turkmene.
Öcalan è detenuto nel carcere di massima sicurezza di İmralı dal suo arresto nel 1999 e in assoluto stato di isolamento dal marzo 2021.
L’incontro riveste una grande importanza perchè l’unico incontro che ha avuto Öcalan in questi due anni e mezzo è stato proprio con una delegazione del CPT che però finora non ne aveva potuto dare notizia perchè il regime turco ha imposto il totale silenzio. Il regime aveva diffuso la notizia che Öcalan non aveva voluto incontrare la delegazione del CPT e dall’organismo del Consiglio d’Europa non erano arrivate smentite ufficiali.
I funzionari del CPT hanno finalmente confermato martedì che la delegazione ha incontrato il leader del Partito dei lavoratori del Kurdistan (PKK) Abdullah Öcalan durante la loro visita all’isola penitenziaria di İmralı in Turchia a settembre 2022.
L’incontro di martedì, che segue una mobilitazione delle organizzazioni per i diritti umani e delle campagne di solidarietà con il popolo curdo, ha una grande importanza perchè ha consentito di accertare che Öcalan è ancora vivo.
I funzionari del CPT hanno ribadito che non possono condividere le informazioni specifiche sui loro colloqui con Öcalan e gli altri tre detenuti nell’isola prigione di Imrali. Questa mancanza di trasparenza è stata attribuita al fatto che la Turchia non aveva autorizzato tali divulgazioni. Tuttavia, i funzionari hanno confermato che la delegazione aveva incontrato tutti e quattro i detenuti durante la loro visita a İmralı e aveva successivamente presentato un rapporto in merito alle autorità turche. Il Comitato ha presentato il suo rapporto dettagliato su İmralı alle autorità turche a marzo e il capo della delegazione, Therese Rytter, ha dichiarato che la Turchia dovrebbe rispondere al loro rapporto entro sei mesi, tuttavia, la decisione sulla divulgazione pubblica del rapporto spetta agli Stati membri, cioè alla Turchia, non al CPT.
10/08/2023 SlaiProlCobas protesta contro la mancanza legislativa in Italia dei termini obbligatori per le sentenze (file audio)
02/08/2023 IL PARTITO COMUNISTA ricorda l'eccidio nazifascista della Stazione di Bologna del 02-08-2023
STRAGE DI BOLOGNA -
I COMUNISTI NON DIMENTICANO!
L’orologio della stazione Centrale di Bologna segna eternamente le 10.25, l’ora della strage che uccise 85 persone e ne ferì altre 200.
Mano fascista e regia di Stato per la strategia della tensione contro i comunisti.
A distanza di 41 anni gli archivi segreti restano chiusi e i parenti delle vittime aspettano ancora la verità.
Il Partito Comunista sostiene le richieste dei familiari delle vittime per una piena verità sui mandanti della strage.
30/07/2023 Riunito a Marano di Mira il Comitato di controllo congiunto FAO-SlaiProlCobas - il bilancio approvato.
28/07/2023 Sciopero alla Amacrai di Montebelluna - il volantino di SlaiProlCobas - foto - articolo de Il Gazzettino
22/07/2023 Sciopero Stellantis Pomigliano d'Arco (NA) - Comunicato di Slai Cobas coordinamento provinciale di Napoli - il sucesso di un 40% di adesioni a Pomigliano che ridicolizza gruppuscoli e confederali.
15/07/2023 Sciopero Stellantis Pomigliano d'Arco (NA) - Comunicato di Slai Cobas coordinamento provinciale di Napoli
14/07/2023 Un altro mese di sciopero di flessibilità e straordinari a Montebelluna alla AmaCrai La proclamazione di SlaiProlCobas Il Partito Comunista chiede 12 euro di salario minimo per legge e denuncia le chiacchiere parlamentari in corso 08/07/2023 Sciopero Stellantis Pomigliano d'Arco (NA) - Comunicato di Slai Cobas coordinamento provinciale di Napoli - 2° Comunicato di Slai Cobas coordinamento provinciale di Napoli- https://www.lantidiplomatico.it/dettnews-pomigliano_nuovo_sciopero_dello_slai_cobas_stellantis_non_riuscir_a_recuperare_60000_vetture_perse/42819_50335/07/07/2023 Comunicato del coordinamento regionale Veneto di SlaiProlCobas trasmesso alla stampa: Nel periodo fosco della guerra in Europa, il silenzio e l'accondiscendenza alle politiche filo-aziendaliste da parte della politica verso le leggi che tutelano i lavoratori, portano ad eccessi che non erano nemmeno inimmaginabili: 128 ore di straordinario al mese !!! Il comunicato. Successivamente alla pubblicazione di un articolo che riprendeva il comunicato, la azienda ha scritto una smentita ad un quotidiano locale di Treviso, in cui asserisce che aveva "sbagliato" la versione diffusa alle dipendenti, e che la richiesta era riferita ad un periodo stagionale e non mensile. 07/07/2023 In tal data con la scusa di un aggiornamento, la società che gestisce il social whatsapp in Italia ha cancellato da un ns.apparecchio telefonico centrale, il 380-2375321, diverse gigabyte di files, che fortunatamente erano stati salvati su un cloud backup del telefono. Solo alcuni giorni prima, un post pubblicitario, per due volte, non era stato accettato dalla società Meta. Stiamo valutando la possibilità di un ricorso in sede legale. L'apparecchio era un Huawei P50. Un'altra forma di guerra ? 01/07/2023 Pomigliano - Lo Slai Cobas denuncia: 4 turni al posto di uno con in più i trasfertisti di Melfi, per recuperare un solo turno di produzione della Panda.
30/06/2023 Video del volantinaggio di Slai Cobas a Pomigliano d'Arco
28/06/2023 - Fincantieri spa imputata dalla Corte d'Assise di Venezia, di violazione del 603 bis CP (sfruttamento) - SlaiProlCobas parte civile
24-28/06/2023 Sciopero Stellantis e caldo invivibile in fabbrica - Pomigliano d'Arco (NA) - Proclamazione di Slai Cobas coordinamento provinciale di Napoli - Comunicato successivo (28-06-2023) di Slai Cobas coordinamento provinciale di Napoli
24/06/2023 Sciopero FCA Italy a Chieti di oggi - Comunicato di Slai Cobas coordinamento provinciale di Chieti
22/06/2023 SlaiProlCobas - LOGISTICA - Quarto d'Altino - I lavoratori del appalto Fedex ex Tnt sono stati internalizzati da Fedex con accordi sindacali svolti separatamente da Cgil e SlaiProlCobas; i lavoratori hanno dovuto rilasciare liberatoria per essere riassunti, ma con contratto full-time migliore dei precedenti, ed i nostri associati lo hanno scelto pur preavvertiti dal nostro coordinatore del fatto di non poter fare altre vertenze sul passato. Gli incontri si sono svolti presso la sede aziendale in conferenza telematica con un conciliatore della Università di Venezia. Evidentemente negli appalti Tnt qualcosa non quadrava, come dimostra questa recente sentenza a favore di un ns.associato, verso la penultima azienda in appalto nel sito (va detto che non vi erano tuttavia state contestazioni inerenti le ore in busta paga, nell'ultima azienda, MDS. Venezia - Sul punto di queste conciliazioni forzate, ricordiamo che sono depositati in Tribunale a Venezia i ricorsi di due ns.associati occupati in DHL presso l'aeroporto di Venezia, che sono stati licenziati perché non hanno voluto sottoscrivere i contratti di riassunzione, che prevedevano una riduzione di orario di lavoro.
22/06/2023 Decine e decine di sentenze che hanno condannato Fincantieri a favore di operai in genere immigrati nostri associati a Slaiprolcobas, di Marghera,
Monfalcone ed Ancona, negli ultimi tre mesi nei tribunali - sezione lavoro di Venezia, Gorizia e Ancona, x dipendenti di alcune ditte oramai chiuse: New world service,
Isolsud, Pad carpenterie, Gold bengol. Qui sopra la seconda delle sentenze di Gold bengol. Un po' a rilento ma Fincantieri sta pagando tutti.
La Corte d’Appello di Venezia nel Rg 670/2021, con la sentenza odierna ha riformato la sentenza del Tribunale di Venezia che aveva dichiarato che l’accordo aziendale del luglio 2019 siglato dall’OS Slai Prol Cobas con la coop Gold Bengol, che riconosceva il diritto dei lavoratori al 3° livello del ccnl metalmeccanici dal mese di luglio 2019 implicava una rinuncia implicita a tutte le differenze retributive fino ad allora maturate. In realta' l'accordo non prevedeva alcuna rinuncia e valeva solo pro futuro ed al Lavoratore ricorrente e’ stato riconosciuto il terzo livello fin dal primo giorno di lavoro oltre il pagamento di tutte le differenze retributive. Inoltre Fincantieri è’ stata condannata a pagare in solido.
21/06/2023 Diamo visibilità ad un documento ricevuto dalla redazione di GUARDARE AVANTI ! sul berlusconismo
21/06/2023 Un altro mese di sciopero di flessibilità e straordinari a Montebelluna alla AmaCrai La proclamazione di SlaiProlCobas
20/06/2023 Venezia - Tribunale del Lavoro - Sentenza importante - riconoscimento per alcuni operai di SlaiProlCobas in precedenti appalti con demansionamenti in Cab Log a Noale con la coop Travel Logistic del consorzio LHS. Pagamento in solido per la responsabilità solidale a Cab Log.
17/06/2023 Sciopero Stellantis di oggi - Pomigliano d'Arco (NA) - Comunicato di Slai Cobas coordinamento provinciale di Napoli
10/06/2023 Sciopero Stellantis di oggi - Pomigliano d'Arco (NA) - Comunicato di Slai Cobas coordinamento provinciale di Napoli - intimazione
10/06/2023 Sciopero FCA Italy a Chieti di oggi - Subalterni da contratto specifico - Comunicato di Slai Cobas coordinamento provinciale di Chieti
10/06/2023 Testo del discorso di Paolo Dorigo, ns.coordinatore nazionale e fondatore di Acofoinmenef, alla manifestazione di Bruxelles contro la Havana sindrome in Europa: https://slaicobasmarghera.org/20230610-Bruxelles.htm
07/06/2023 ScioperoFCA Italy a Chieti di oggi - i confederali ... partoni tutti incendiari e fieri ma quando arrivano sono tutti pompieri - Comunicato di Slai Cobas coordinamento provinciale di Chieti
05/06/2023 FAO-COBAS volantino dello Sciopero alla Giuriato e Fortuna di Castel d'Azzano (VR) - Oggi sciopero Federazione Autisti Operai alla Giuriato & Fortuna di Castel d'Azzano VR. L' azienda è piccola, ma lo sciopero è riuscito con meta' camion fermi. Foto 1 Foto 2
02/06/2023 Contro la guerra !
30/05/2023 Sciopero FCA Italy a Chieti di oggi Comunicato di Slai Cobas coordinamento provinciale di Chieti
27/05/2023 Comunicato stampa di S.L.A.I.Cobas su Stellantis Pomigliano (NA)
25/05/2023 Fao-cobas Proclamato sciopero alla ditta di autotrasporti Giuriato & Fortuna di Verona per il 05-06-07 giugno 2023
20/05/2023 Il volantino di S.L.A.I.Cobas di sciopero per sabato 20 maggio e domenica 21 maggio alla Stellantis Sevel Spa di Atessa (CH)
21/05/2023 Proclamato da SlaiProlCobas sciopero alla Amacrai di Montebelluna di straordinari e flessibilità dal 04-06-2023 al 03-07-2023
20/05/2023 Proclamato da SlaiProlCobas lo sciopero alla Win.Log di Vallese di Opperano (VR)
20/05/2023 Comunicato di S.L.A.I.Cobas di Atessa
18/05/2023 Comunicato del coordinamento provinciale di Venezia di SlaiProlCobas sul cambio di appalto pubblico dei pontili ACTV
16/05/2023 Interessante sentenza Corte Costituzionale sulla non validità di molti contratti.
16/05/2023 Contro il 5 G, (oramai un'arma militare contro i cittadini) all'epoca decisa dal governo Conte e dal Parlamento italiano.
Il Pentagono assume il controllo del 5G: è un’arma militare. Manifestazione al Parlamento europeo
Il chief information officer del Dipartimento della Difesa degli Stati Uniti assumerà la supervisione diretta del dipartimento per il 5G, mentre i funzionari cercano di eliminare l’influenza cinese nel mercato delle comunicazioni. Intanto, in Europa, un gruppo di attivisti si è dato appuntamento il 10 Giugno 2023 a Bruxelles davanti alla sede del Parlamento europeo per una manifestazione: “il 5G è un’arma psicotronica!”
Il Pentagono anni fa ha lanciato progetti pilota 5G in cinque installazioni militari per un importo di 600 milioni di dollari e da allora ha raddoppiato la sperimentazione, commercializzata poi dalle compagnie telefoniche in ambito civile. La tecnologia wireless viene utilizzata per semplificare la logistica nei cosiddetti magazzini intelligenti, come alla base navale di Coronado, in California, e rendere il comando e il controllo più mobili e interattivi. Molti dei maggiori appaltatori della difesa del mondo stanno investendo nel 5G. Lockheed Martin sta collaborando con Verizon (dell’ex ministro della Repubblica italiana Vittorio Colao), Northrop Grumman con AT&T e General Dynamics Information Technology con T-Mobile.
Infine, una serie di sigle internazionali di attivisti Stop5G promuovono una manifestazione pubblica sotto la sede dell’europarlamento, chiedendo di fermare il 5G, arma di guerra contro i popoli, un’arma psicotronica. Si legge dalla nota diffusa dai promotori come Samuel Koslov, personalità di spicco del progetto Pandora della Marina americana e ricercatore presso la John Hopkins University, nel suo discorso di chiusura alla conferenza su Nonlinear Electrodynamics in Biological Systems nel 1983, disse che la conferenza aveva dimostrato che i campi elettrici esterni possono “diventare una chiave per il controllo cellulare… Le implicazioni, sociali, economiche e persino militari sono enormi… forse non meno significativo per la nazione rispetto alle prospettive che si presentarono alla comunità dei fisici nel 1939, quando fu effettivamente dimostrata la fissionabilità del nucleo da tempo prevista“. La gente non sapeva davvero di cosa stesse parlando. ma oggi, tutto è invece sempre più chiaro.
15/05/2023 Importante arbitrato in ITL di Treviso con la Avv.Maria Teresa Simioni a tutela di una nostra associata dipendente dei supermercati Alì su rifiuto alla mascherina in periodo covid
15/05/2023 Comunicato stampa di S.L.A.I.Cobas su Stellantis Pomigliano (NA)
13/05/2023 Testo diffuso alle masse via radio da un torturato dell'interferenza mentale (redazione di Guardare Avanti !)
13/05/2023 Luigi Aprea di S.L.A.I.Cobas a l'AntiDiplomatico: Un coraggio che non si vedeva da anni.... https://www.lantidiplomatico.it/dettnews-sciopero_stellantis_luigi_aprea_stai_cobas_a_pomigliano_un_coraggio_tra_i_lavoratori_che_non_si_vedeva_da_anni/39130_49637
13/05/2023 Il volantino di S.L.A.I.Cobas di sciopero per sabato 13 maggio alla Stellantis di Pomigliano (NA) in ogni turno di lavoro
13/05/2023 Dalla newsletter P.C.: Dopo giorni di scontri sanguinosi, che hanno provocato 22 morti nell'enclave palestinese, tra cui 4 donne e 6 bambini, inizierà il cessate il fuoco tra le parti grazie alla mediazione da parte dell'Egitto. Israele, come il suo alleato USA si dimostra sempre di più un Paese bellicista che vuole solamente elimiare e sottomettere un'intera popolazione. Da più di 70 anni la Palestina è occupata illegalmente da Israele. Tutto nel silenzio dei media e dei governi occidentali che se usassero lo stesso metro usato con l'Ucraina dovrebbero cominciare a riempire la Palestina di armi contro l'occupante invasore. Ma l'occidente è solo doppiopesismo e ipocrisia.
13/05/2023 Proclamato da SlaiProlCobas lo sciopero alla Win.Log di Vallese di Opperano (VR)
12/05/2023 Da L'AntiDiplomatico: Pomigliano, il nuovo slancio delle lotte operaie.
12/05/2023 Promossa una manifestazione a Bruxelles il 10-06-2023 cui partecipa anche la associazione fondata da Paolo Dorigo, Acofoinmenef
10/05/2023 Comunicato stampa di S.L.A.I.Cobas su Stellantis Pomigliano (NA)
09/05/2023 Ricordo della liberazione dal nazismo in Europa e nell'ex Unione Sovietica
06/05/2023 Il volantino di S.L.A.I.Cobas di sciopero per sabato 6 maggio e domenica 7 maggio alla Stellantis Sevel Spa di Atessa (CH)
06/05/2023 Proclamato da SlaiProlCobas lo sciopero alla Win.Log di Vallese di Opperano (VR)
04/05/2023 Dopo l'ultima udienza con l'arringa di parte civile del ns.avvocato Ottavio Romano è seguita la successiva sentenza della Corte d'Assise di Gorizia al processo Pad carpenterie entro Fincantieri a Monfalcone. Carolei Orlando e Scognamillo Luigi condannati a 10 anni. Carolei Paolo 7 anni e 6 mesi. Interdizione perpetua dai pubblici uffici. Confisca somme del conto corrente. Condanna in solido degli imputati e della responsabile civile Pad Carpenterie a risarcire € 15.276,59, € 21.678,50, € 11.373,47 agli operai denuncianti, € 8.000 per SlaiProlCobas. Oltre alle spese legali (5.000 + accessori di legge). Motivazione entro 90 giorni. Articolo del Piccolo del 05-05-2023
04/05/2023 Fao-cobas Importante arbitrato in ITL di Alessandria con l' Avv.Saracino vede la pesante riduzione della sanzione ad un autista nostro associato dipendente di Autosped G
01/05/2023 Il Comunicato stampa di S.L.A.I.Cobas che relaziona sull'assemblea nazionale operaia svoltasi a Pomigliano. Il contributo portato dal ns.sindacato al assemblea.
28/04/2023 Corte Costituzionale. Con la Sentenza n. 17617 del 28 aprile 2023 la Corte di Cassazione Penale, esprimendosi in materia di infortuni sul lavoro, ha enunciato due importanti principi di diritto:
* la condotta colposa del lavoratore infortunato non può assurgere a causa sopravvenuta, da sola sufficiente a produrre l'evento, quando sia comunque riconducibile all'area di rischio propria della lavorazione svolta: in tal senso il datore di lavoro è esonerato da responsabilità solo quando il comportamento del lavoratore presenti i caratteri dell'eccezionalità, dell'abnormità e dell'esorbitanza rispetto al procedimento lavorativo e alle direttive di organizzazione ricevute;
* la condotta imprudente o negligente dei lavoratore, in presenza di evidenti criticità del sistema di sicurezza approntato dal datore di lavoro, non potrà mai spiegare alcuna efficacia esimente in favore dei soggetti destinatari degli obblighi di sicurezza. Ciò in quanto, tali disposizioni, sono dirette a tutelare il lavoratore anche in ordine ad incidenti che possano derivare da sua colpa, dovendo, il datore di lavoro, prevedere ed evitare prassi di lavoro non corrette e foriere di eventuali pericoli.
25/04/2023 Per un caldo 25 Aprile. Qui la locandina della manifestazione a Milano. Qui il volantino in diffusione di SlaiProlCobas.
24/04/2023 Montebelluna. Proclamato sciopero della flessibilità e straordinario alla Amacrai Est, dal 4 maggio al 3 giugno. Qui la proclamazione.
18/04/2023 Montebelluna. Sciopero spontaneo di alcune ore dei lavoratori dell'appalto LHS (Penta Service) in Amacrai Est. Immediatamente pagato dall'amministrazione giudiziaria del consorzio un acconto di 1350 euro ai lavoratori.
16/04/2023 Milano. Incontro tra due delegazioni dei sindacati Federazione Autisti Operai e Katas Sen (Turchia). In preparazione la riunione internazionale con delegazioni di vari sindacati di autotrasportatori in Europa. Qui la foto di un momento della riunione.
15/04/2023 Proclamazione sciopero della flessibilità alla Stiga di Castelfranco Veneto (TV) per il 15-04-2023. Clicca qui per visualizzare la proclamazione.
08/04/2023 Vallese di Oppeano (VR) - Giornata di sciopero alla Win log, una piccola struttura logistica di neanche 30 lavoratori, dove da mesi continua una vertenza nel totale disinteresse del Ispettorato del Lavoro, che si è cercato di coinvolgere. La vertenza ha per obiettivo i buoni pasto giornalieri a 7 euro, la azienda nel frattempo ha riconosciuto 2 euro senza alcun accordo e ne ha promessi poi 4. E' stato inoltre proclamato lo sciopero della flessibilità e dello straordinario dal 13-04-2023 al 10-05-2023.
08/04/2023 Editoria no profit - Milano - https://lavoroliberato.it Un importante nuovo volume di Marco Sacchi, Capitalismo e crisi, e' liberamente scaricabile da lavoro liberato. Per fare il download, aprire il menu della pagina, in alto a sinistra e cliccare su MARCO SACCHI. Il libro, IIa edizione, e' scaricabile gratuitamente.
08/04/2023 Importantissimo pronunciamento del Partito Comunista dell'India
(maoista) acclama alle lotte in corso nel mondo e denuncia la politica imperialista del governo del proprio Paese. Lo riportiamo integralmente: Ricevuto da slai cobas per il sindacato di classe. I comunisti affermano che la storia è fatta dalla lotta di classe e oggi il mondo ha di fronte una storica situazione rivoluzionaria, una svolta rivoluzionaria nella storia dell'umanità. Il sistema capitalista sta attraversando una delle sue peggiori crisi e i movimenti della classe operaia si fanno più radicali e militanti. Il 23 marzo 2023 il mondo intero ha visto per le strade di Parigi, Nantes, Bordeaux, Lorient e in altre parti della Francia il movimento militante della classe operaia contro la riforma delle pensioni del governo di Macron che eleva l'età pensionabile da 62 a 64 anni. Circa 3,5 milioni di lavoratori in lotta sono scesi in piazza in tutta la Francia, 1 milione solo a Parigi, e questo ha scosso i nervi delle classi dominanti francesi. Anche in America, Svizzera, Gran Bretagna, in tutto il mondo, assistiamo a massicci movimenti della classe operaia. Dal punto di vista delle classi dominanti la manifestazione in Francia è stata un atto di "insurrezione". Ai nostri occhi hanno riportato la memoria rivoluzionaria Comune di Parigi del 1871. A Bordeaux è stato incendiato il municipio, a Nantes assaltato il Tribunale amministrativo, a Lorient (Morbihan), i manifestanti hanno attaccato la stazione di polizia. La polizia fascista di Macron ha caricato ferocemente le manifestazioni operaie con gas lacrimogeni, idranti, spray al peperoncino, proiettili di gomma e petardi. Per soffocare il movimento, la polizia ha effettuato circa 457 arresti in tutta la Francia.
Il capitalismo è un sistema di accumulazione del profitto e sfruttamento delle classi lavoratrici. La produzione capitalistica è marcata da una "produzione sempre più sociale e appropriazione sempre più privata", che è la contraddizione fondamentale che ne causerà l'inevitabile declino. Negli ultimi 10 anni il 99% della ricchezza mondiale è controllato dall'1% dei capitalisti. In India, tra il 2012 e il 2021, il 40% della ricchezza generata è stata accumulata dal 3% della popolazione. Nel sistema capitalista la classe operaia di tutto il mondo è disumanizzata. Le parole del filosofo francese del XVIII secolo Rousseau ben si adattano al presente: "quando il popolo non avrà più niente da mangiare, mangerà i ricchi". La mobilitazione operaia in corso è una vivida ispirazione per la classe operaia e per i contadini indiani a costruire un movimento militante contro il governo fascista del BJP e la borghesia compradora. Il governo Modi ha abolito 44 leggi sul lavoro e introdotto al loro posto quattro codici del lavoro draconiani. Allo stesso modo sta brigando per imporre le leggi agricole il governo fu costretto a ritirare da più di un anno di proteste contadine militanti in tutta l’India.
Il Comitato Centrale del PCI (maoista), con tutta l’anima e il cuore dà la sua solidarietà ai movimenti della classe operaia francese in corso e la incoraggia a tenere alta l’insegna della bandiera rossa dei lavoratori. Il CC fa appello a tutte le organizzazioni di classe e di massa di lavoratori, contadini, studenti, intellettuali, adivasi, dalit, delle donne e delle nazionalità a tenere manifestazioni a sostegno della lotta della classe operaia in Francia e in tutto il mondo e chiama anche a costruire in India movimenti militanti di operai e contadini. Marx ha giustamente sottolineato che "il capitale gronda sangue e sporcizia da ogni poro, dalla testa ai piedi," e l'unica emancipazione della classe operaia è distruggere il sistema capitalista con tutta la forza necessaria.
Abhay
portavoce
Comitato Centrale
PARTITO COMUNISTA DELL’INDIA (MAOISTA)
06/04/2023 Proclamazione nazionale di SlaiProlCobas e di Federazione Autisti Operai, della giornata di sciopero del 02 maggio. Le convocazioni inviate ad oltre 1000 aziende, non solo dell'auotrasporto, di 19 regioni italiane. Qui sotto i motivi della protesta. Clicca qui per visualizzare e scaricare il testo. . Clicca qui per visualizzare la registrazione della protesta.
06/04/2023 Giurisprudenza Continuano le sentenze favorevoli ai ricorrenti nei Tribunali di Gorizia e di Venezia a proposito dei lavoratori del settore delle coibentazioni navali, negli appalti Isolsud e Sisolfin. In alcuni casi tuttavia i giudici non avevano preso per tempo le nuove e giuste posizioni del Tribunale di Venezia nel merito della resposabilità solidale e dei relativi calcoli per le varie voci dei ricorsi, per cui saranno necessari alcuni appelli.
03/04/2023 Politica borghese e nostre posizioni - SlaiProlCobas si esprime contro le decisioni recenti dell’Ispettorato Nazionale del Lavoro di cui ha impunato le convenzioni nel 2019 e 2021, in materia di convenzioni per la misurazione delle rappresentanze sindacali, che è stata dal 2019 e 2021 materia di ossequiosi e immeritati riconoscimenti a cgil-cisl-uil e confindustria, e che di fatto negano i diritti sindacali dei lavoratori, come vediamo ogni giorno. Al contempo SlaiProlCobas chiede il ritiro immediato dei due recenti protocolli firmati da INL e Ordine dei consulenti del lavoro come già denunciato da altri sindacati il 01-04-2023.
31/03/2023 - La Corte Europea dà una pesante saccagnata all'Italia, non è la prima e non sarà certo l'ultima. Qui sotto il titolo di un articolo dalla "Nuova Venezia" di oggi.
29/03/2023 Marghera - Fincantieri - La Fiom afferma con lo sponsor della "Nuova Venezia": noi siamo stati i primi. Tutti sanno la verita', ma non sono tempi per metterla sul giornale. Noi questa battaglia la facciamo dal 2008, con gli operai in particolare immigrati, visto che dentro Fincantieriè dimoistrato sin dal 2015 che non è possibile sviluppare pacificamente una politica di base agli operai, stretti nella morsa confederali-padroni.
24/03/2023 Montebelluna - Proclamato lo sciopero della flessibilità e straordinari dal 3 al 29 aprile alla Amacrai Est. clicca qui per la proclamazione.
23/03/2023 Noale (VE) - Approvato dal referendum dei lavoratori, l'accordo sindacale del 13-03-2023 tra la ns.O.S. e la azienda 5B srl subentrata alla Sweater soc.coop. nell'appalto Cab Log, relativamente ai buoni pasto giornalieridi 8,00 €; il referendum ha permesso di decidere democraticanmente la forma di pagamento di 13esima e 14esima. (Nota del 14-03-2023 In queste ultime settimane, a Padova e a Noale, lo SlaiProlCobas ha sottoscritto con i propri delegati Rsa, accordi sindacali che introducono i buoni pasto nell'appalto Ceccarelli e che hanno migliorato l attuale buono di 5,29 a 8 euro nell appalto Cab Log a Noale)
22/03/2023 Venezia - Per la 5a volta dal 2010, Slaiprolcobas (nato nel 2015 per decisione dello Slai Cobas per il sindacato di classe del Veneto-Friuli) e' stato ammesso a parte civile in sede penale in processi penali inerenti gli appalti di Fincantieri. E' di oggi la notizia da Venezia dell'ordinanza del giudice Dr.ssa Barbieri che amette Slaiprolcobas, Cgil, Cisl, nel processo.
23/03/2023 Dichiarazioni di Evo Morales, Presidente della Bolivia - "La Corte Penale Internazionale emette un mandato di arresto nullo contro il fratello presidente della Russia Vladimir Putin, pochi giorni prima del suo incontro con il suo omologo cinese Xi Jinping che cerca di creare le condizioni per un processo di pacificazione del conflitto con l'Ucraina.
Esprimiamo tutta la nostra solidarietà al fratello Putin e avvertiamo che questa accusa politica e forzata per presunti reati di "deportazione", mira a mantenere lo stato di guerra tra due popoli fratelli d'Europa per soddisfare il militarismo degli Stati Uniti e della NATO.
Noi, popoli liberi che lottano per un mondo libero dall'interventismo statunitense, esprimiamo il nostro ripudio della campagna di stigmatizzazione mondiale dell'impero contro il fraterno popolo russo. Il vero responsabile dei crimini di guerra e dei crimini contro l'umanità sono gli Stati Uniti
18/03/2023 Internazionalismo - Una stampa d'epoca della gloriosa Comune di Parigi di cui ricorre in questo periodo il 152° Anniversario.
15/03/2023 Vallese di Oppeano (VR) Proclamato sciopero del lavoro straordinario in Win.Log il 18-03-2023.
15/03/2023 Treviso - Comunicato dal Piazzale del Tribunale -A SlaiProlCobas risulta che sono numerosi lavoratori in part time verticale in Stiga a Castelfranco, che non hanno avuto nemmeno il rispetto da parte di Stiga dell intero periodo nel 2021 e 2022, della legge 178/2020. Questo è intollerabile ed accade grazie alle leggi della depenalizzazione. Nel frattempo vedremo oggi cosa decidera' il Tribunale del lavoro nella causa 1113/2021 sui part time verticali a 6 e 7 mesi. Vertenza iniziata nel 2015 e causa iniziata nel 2018. (comunicato stampa censurato da silenziosa politica borghese che monopolizza la stampa, Treviso 15/03/2023).
14/03/2023 Stragi di stato -
Non possono esservi dubbi: la strage di migranti avvenuta davanti la spiaggia di Cutro [così come quella avvenuta il 12 marzo lungo la rotta del Mediterraneo centrale, NdR] è il risultato della politica razzista e guerrafondaia seguita dal governo reazionario di Meloni e della UE imperialista.
Una politica criminale – da tempo fatta propria da tutti i partiti borghesi e tradotta in leggi come la Turco-Napolitano, la Bossi-Fini, in accordi con i regimi dei torturatori africani, etc. - che impedisce o ritarda il soccorso in mare per respingere i migranti, che spinge all’indifferenza e all’odio verso le popolazioni che fuggono dai loro paesi devastati da aggressioni e saccheggi imperialisti, che criminalizza e ricatta i migranti per sfruttarli a sangue.
Quella di Cutro è stata una strage di stato, frutto di precise scelte politiche, ma non è certo la sola.
Dalle denunce dei familiari e dai verbali dell’inchiesta Covid a Bergamo ne emerge un'altra, non meno orribile: più di quattromila vittime che si sarebbero potute evitare chiudendo la zona. I governatori locali e centrali sapevano dei contagi, ma non vollero prendere le misure dovute.
Non fu fatto per garantire il massimo profitto alle aziende, come esigeva Confindustria. Sotto la ruota juggernaut dell’accumulazione capitalistica dovevano finire non solo gli operai e le operaie, ma anche i loro padri e le loro madri anziani, i loro figli. Una precisa scelta politica, anche in questo caso.
Di fronte a stragi di stato come quella di Cutro e di Bergamo, così come alla strage quotidiana dei morti ammazzati sul lavoro, per l’amianto, etc., i capitalisti e i politicanti borghesi dalle mani sporche di sangue continuano a giocare allo scaricabarile, respingendo ogni responsabilità, spargendo lacrime di coccodrillo.
Incompetenza? Superficialità? Mancanza di comunicazioni e di coordinamento?
No, le stragi di stato non sono dovute a questo, ma al fatto che chi detiene il potere prende posizione e agisce secondo gli interessi del capitale, con logica predatoria.
Quella che per i lavoratori, i migranti, gli anziani, è una tragedia, per i padroni e la classe politica votata alla sopravvivenza dell’infame sistema capitalista-imperialista è una virtù, perché fa girare i suoi ingranaggi.
Pertanto, è necessario sbarazzarsi per via rivoluzionaria del capitalismo tanto quanto della sua macchina di oppressione e violenza statale, aprendo le porte al socialismo, un ordinamento sociale nuovo e più elevato. (
Da"Scintilla" )
11/03/2023 Vallese di Oppeano (VR) Proclamato sciopero del lavoro straordinario in Win.Log dal 13-03-2023 al 12-04-2023 - clicca qui.
10/03/2023 Chieti - SLAI Cobas - Sciopero alla Stellantis clicca qui - Comunicato Aspettando Godot clicca qui - Sciopero domenica clicca qui
09/03/2023 Castelfranco (TV) Proclamato sciopero per la Stiga spa per la giornata del 15-03-2023.
09/03/2023 Vallese di Oppeano (VR) Proclamazione in Win.Log per la giornata di sciopero del 11-03-2023.
08/03/2023 Pomigliano SLAI Cobas- Depositate le motivazioni della sentenza della Corte d'appello di Napoli - Comunicato stampa
08/03/2023 Castelfranco (TV) Proclamato sciopero per la Stiga spa per la giornata di flessibilità di sabato 11-03-2023 - clicca qui
08/03/2023 - Cobas appalti Fincantieri: Continuano le sentenze favorevoli ai recuperi di tfr a favore di operai degli appaltiFincantieri; continuano anche le conciliazioni di differenze retributive portate in causa da singoli lavoratori.
08/03/2023 - FAO-COBAS: Camionisti, attenzione ai gps. La Corte Europea dei Diritti dell’Uomo (Cedu) ha emesso il 13 dicembre 2022 una sentenza (la numero 26968) su una causa relativa al licenziamento per giusta causa di un dipendente di un’impresa portoghese, le cui motivazioni erano basate sui dati provenienti dal tracciamento satellitare di un apparato Gps installato su un veicolo aziendale. Il lavoratore aveva impugnato il licenziamento davanti a Tribunali del Portogallo, che lo avevano respinto e quindi si è rivolto direttamente alla Cedu, appellandosi all’articolo 8 e all’articolo 6 della Convenzione dei Diritti dell’Uomo. Va affrontato il tema sulla legittimitò non del licenziamento in questione ma della stessa esistenza dei gps in quanto secondo noi con questo tipo di comunicazioni si rende più complesso il lavoro di accertamento delle violazioni da parte della polizia stradale in quanto utilizzando i gps i comandi dell ufficio traffico possono invitare gli autisti ad eludere le regole.
05/03/2023 Oggi ricordiamo l'anniversario della morte del compagno Stalin, assassinato il 5/3/1953 dalla cricca revisionista che stava per rovinare il socialismo in URSS.
03/03/2023 ANCORA OPPORSI ALL'ODIO OCCIDENTALE PER I DIRITTI DEI PALESTINESI: Gli Avvocati Britannici per Israele hanno presentato denuncia affermando che le opere d’arte facevano sentire alcuni pazienti ebrei “vulnerabili e vittimizzati” .
Un ospedale di Londra ha rimosso un’esposizione di opere d’arte progettate da scolari palestinesi di Gaza dopo le denunce di un ente di beneficienza israelo–britannico.
Secondo quanto dichiarato dagli Avvocati del Regno Unito per Israele, l’ospedale ha dovuto rimuovere le opere d’arte a seguito di una denuncia da parte di un ONG a nome di un certo numero di pazienti ebrei “che hanno affermato di sentirsi vulnerabili e vittimizzati da tale esposizione”.
Fonte: https://www.middleeasteye.net/news/london-hospital-gaza-children-artwork-removed-utterly-bizarre
01/03/2023 Castelfranco (TV) Istituito il nuovo coordinamento provinciale di Treviso di SlaiProlCobas. Eletto coordinatore Ahmed Siyacoun operaio di Stiga da 25 anni, ancora a part-time verticale per i contratti bidone firmati da Cgil-Cisl-Uil
01/03/2023 Pomigliano (NA) Comunicato SLAI Cobas clicca qui
17/02/2023 - 170° anniversario del Manifesto del Partito Comunista
17/02/2023 FAO-COBAS - Escono su internet notizie confuse su 11 bis, straordinari e trasferte. Ultima oggi. Ricordiamo che *NOI CONOSCIAMO QUESTA GIURISPRUDENZA E NON A CASO FAO COBAS IMPUGNA GLI ACCORDI AZIENDALI DOPO AVER DISCUSSO CON I LAVORATOR I CHE POI SOTTOSCRIVONO INDIVIDUALMENTE LA IMPUGNAZIONE E LA SPEDISCONO ALLA AZIENDA.* come dice avv. Zanarello "questa giurisprudenza è sempre la solita.... il tribunale di Milano in primo grado aveva sbagliato .. La corte ha riformato la sentenza. Gli accordi aziendali vanno impugnati in forma scritta dal lavoratore", preferibilmente sulla impugnazione della O.S. dissenziente della schifezza impugnata.
10/02/2023 Marghera (VE) - Lettera sindacale per le problematiche dei pendolari Eni clicca qui
10/02/2023 Monfalcone - Proclamazione dello stato di agitazione, rientrato dopo circa una settimana, in Petrol Lavori. clicca qui
10/02/2023 Pomigliano (NA) - SLAI Cobas - Non si potrà non tenere conto di questa sentenza emessa dalla Corte d’Appello di Napoli che, martedì scorso, ha stabilito che ci fu condotta antisindacale da parte del Lingotto riguardo il trasferimento di 316 lavoratori Fiat di Pomigliano al reparto logistico di Nola, dopo aver recepito i rilievi della Cassazione in merito all'attuazione in Italia del Diritto Antidiscriminatorio europeo. D’ora in poi, il diritto del Lavoro in Italia dovrà conformarsi al Diritto Antidiscriminatorio europeo, ribaltando l’onere della prova. Se un lavoratore denuncia una discriminazione del datore di lavoro dovrà dimostrarla ma, allo stesso tempo, alla controparte toccherà l’onere di provare che non ci sia stata.
09/02/2023 Gorizia - Reintegrato dal Tribunale di Gorizia - sezione lavoro un operaio associato al Cobas appalti Fincantieri di SlaiProlCobas dalla ditta Delat entro Fincantieri Monfalcone, assistito dal Avv.Paladin di San Vendemiano (TV)- La sentenza
09/02/2023 Pomigliano (NA) Finalmente emessa la ordinanza di annuncio della sentenza storica della Corte di Appello di Napoli (Slai Cobas contro Stellantis / Fiat ) in rispetto alla sentenza della Corte di Cassazione nr.1/2020 - reparto confino di Nola - comunicato - ordinanza - servizio L'antidiplomatico (https://www.lantidiplomatico.it/dettnews-corte_dappello_napoli_condotta_antisindacale_di_fiat_sul_trasferimento_operai_al_reparto_confino_nola/39130_48724/)
09/02/2023 Mira (VE) Pubblicato il libretto "Storia documentale dello Slai Prol Cobas" (4,4 Mb) - clicca qui
09/02/2023 Castelfranco (TV) Proclamato sciopero per la Stiga spa per la giornata di flessibilità di sabato 11-02-2023 - clicca qui
07/02/2023 Forum di Porto Alegre (Brasile) - Intervento del dirigente del Partito Comunista della Federazione Russa - clicca qui
07/02/2023 Vallese di Oppeano (VR) Comunicazione in Win.Log sciopero del lavoro straordinario dal 14-02-2023 al 11-03-2023 - clicca qui
06/02/2023 Fincantieri Marghera (VE) - Diffusione del Bollettino Operaio nr.13 - clicca qui - Diffusa la sentenza del Tribunale di Venezia sezione lavoro - nr.13 del 13-01-2023, relativa al noto appalto "Gold Bengol" entro Fincantieri (pignoramento in corso a Fincantieri a causa del mancato rispetto della sentenza) - clicca qui
02-03/02/2023 Vallese di Oppeano (VR) Proclamato in Win.Log sciopero per sabato 11-02-2023 - clicca qui. Proclamato sciopero del lavoro straordinario dal 14-02-2023 al 11-03-2023 - clicca qui.
02/02/2023 Comunicato Stalingrado ( Piattaforma Comunista) - clicca qui.
02/02/2023 Castelfranco (TV) Proclamato sciopero per la Stiga Spa, giornata di flessibilità di sabato 04-02-2023 - clicca qui.
01-02-03-06/02/2023 Fincantieri Marghera (VE)- Sciopero degli operai del appalto Isolfin. Il Cobas appalti Fincantieri Marghera ha aderito allo sciopero di 2 ore degli operai dell appalto Isolfin svoltosi ieri 31 e oggi 1 febbraio gli operai hanno partecipato alla protesta mentre un nostro presidio è stato successivamente rinviato fino al 6 febbraio per lo svolgimento degli scioperi. clicca qui per video - Comunicato stampa Isolfin e Fincantieri l'accoppiata storica allo sbando. - clicca qui
31/01/2023 Marghera (VE) - E' troppo pretendere diritti umani e democrazia nell'autotrasporto ? Comunicato coordinamento nazionale FAO-COBAS sul licenziamento di Ion il comunicato
28/01/2023 Castelfranco Veneto (TV) Proclamato x sabato 28 lo sciopero della flessibilità alla Stiga spa.
26/01/2023 Forlì (FC) - Proclamato per sabato 11 febbraio lo sciopero alla Adriatica Logistics di Forlì.
26/01/2023 SLAIPROLCOBAS esprime solidarietà ai Lavoratori Metalmeccanici Uniti che a Mozzate (CO) stanno lottando alla Nonwovens (Suominen)
25/01/2023 Noale (VE) - Proclamato al termine dell'incontro sindacale con la committenza Cab Log, lo sciopero dello straordinario per via del ennesimo cambio di appalto ai magazzini della Cab Log, da lunedì 28 al 25 febbraio.
23/01/2023 Noale (VE) - Assemblea massiva dei lavoratori del appalto Sweater Group coop. che va in cessazione a fine febbraio, per decidere le linee della vertenza.
23/01/2023 A Monfalcone si è svolto il coordinamento provinciale di Gorizia di SlaiProlCobas. (vedi foto sopra).
22/01/2023 Federazione Autisti Operai: vogliamo proporre una sciopero internazionale di categoria ed un centro di rapporti intersindacali di categoria
per questo ad inizio febbraio convochiamo una riunione nazionale FAO a Verona cui e'importante
E'' in preparazione una riunione internazionale con organizzazioni sindacali di categoria degli autisti ma classiste e conflittuali.
21/01/2023 102° Anniversario della fondazione del PC d'Italia a Livorno. 99° Anniversario della morte del Compagno Lenin.
15/01/2023 SLAI Cobas Chieti. Sciopero dello straordinario festivo notturno alla Sevel di Atessa. il volantino
14/01/2023 Castelfranco Veneto (TV) sciopero della flessibilità alla Stiga spa.
14/01/2023 Grande importante sentenza della sezione Lavoro del Tribunale di Venezia. Due operai del Cobas Appalti Fincantieri a Marghera di SlaiProlCobas, demansionati da Gold Bengol hanno mosso vertenza verso questa nota societa' e Fincantieri spa, vincendo due risarcimenti x complessivi 65000 euto. Riconosciuto in sentenza l accordo sindacale di miglioramento del livello fatto nel giugno 2019 con SlaiProlCobas dalla societa' e non rispettato. il comunicato stampa del coordinamento provinciale di Venezia; qui la parte centrale della sentenza.
12/01/2023 Proclamato a Vallese di Oppeano (VR) lo sciopero degli straordinari dal 14-01-2023 al 12-02-2023 alla Win.Log clicca qui .
04/01/2023 Forlì - proclamato sciopero da Federazione Autisti Operai per le giornate imposte di lavoro al sabato del 14, 21 e 28 gennaio nei magazzini della Adriatica Logistics.
04/01/2023 da associazionevittimearmielettroniche-mentali.org
In occasione dell'ultima Conferenza Internazionale Zoom abbiamo concordato di organizzare una conferenza a Bruxelles e una manifestazione a Bruxelles davanti all'edificio della NATO il 9 e 10 giugno 2023. Chiederemo loro di rispettare il parere della commissione per i diritti dell'uomo delle Nazioni Unite secondo cui è necessario proteggere i diritti umani fondamentali proteggendo il sistema nervoso umano contro le interferenze non richieste eseguite con l'uso di Neurotechnologies, privare gli esseri umani della libertà di pensiero e causarli dolori. Il prossimo incontro si terrà il 7 gennaio 2023 alle 20.00 . È auspicabile continuare a diffondere la lettera aperta su Facebook, Twitter, Messenger, Telegram ecc. Questo è il modo per far capire alle persone che devono agire se vogliono mantenere le loro libertà.
Mojmir Babacek, 20-12-2022.
24/31-12-2022 e 07/01/2023 Con diverse motivazioni (diritti sindacali, orario di lavoro del sabato), proclamato sciopero nelle giornate semifestive dei sabati alla EcoSorting Venice srl (Veritas) a Venezia Fusina vicino a Marghera (volantino) e Adriatica Logistic srl a Forlì. 20-12-2022 -Cambio di appalto da cooperativa a SPA alla San Benedetto di Paese (TV). Number1 è sbentrata ad una cooperativa del Consorzio CISA. Firmato l'accordo oggi da SlaiProlCobas. 17-12-2022 Sciopero della flessibilità in Stiga spa a Castelfranco Veneto (TV). Proclamato da SlaiProlCobas. 14-12-2022 - Sequestro colossale. Guardia di Finanza sequestra 102 milioni a Brt e Geodis Italia. La Guardia di Finanza di Milano ha sequestrato 102 milioni di euro a due multinazionali operanti nella logistica, Brt-Bartolini e Geodis Italia, indagate per frode fiscale attraverso cooperative.
11/13-12-2022 - Sciopero di 3 giorni alla Win.Log. di Vallese di Oppeano (VR) per volantino clicca qui per foto clicca qui per intervento https://www..com/channel/UCmSNsRUj_POJAMveMfx1EMw 10-12-2022 - Proclamazione sciopero di 3 giorni alla Win.Log. di Vallese di Oppeano (VR) clicca qui 08-12-2022 - Recensione L'Antidiplomatico del Comunicato di S.L.A.I.Cobas clicca qui 07-12-2022 Comunicato di S.L.A.I.Cobas sull'ennesimo rinvio della udienza del 6 dicembre che dovrà applicare la sentenza di Cassazione storica nr.1/2020 del 2 gennaio 2020. . . clicca qui 02-12-2022 Comunicato di S.L.A.I.Cobas sullo "sciopericchio"del 2 dicembre . . . clicca qui -Link servizio su NOLA: https://youtu.be/an-KMyj3_9s
26-11-2022 Sciopero della flessibilità in Stiga spa a Castelfranco Veneto (TV). Proclamato da SlaiProlCobas. 24-11-2022 Comunicato S.L.A.I.Cobas Pomigliano d'Arco (NA) La strategia di Stellantis su crisi energetica e "caro bollette" !!! clicca qui
24-11-2022 Vittoria a Venezia per tre lavoratori del nostro sindacato, occupati al Aeroporto nell'appalto DHL. Il giudice ha riconosciuto validi i ricorsi dell'avv.Zanarello, riconoscendo il 5° livello anziché i 6°/6j adottati. Risarcimenti sino a 13 mila euro. 21-11-2022 Vittoria del SlaiProlCobas Turismo all'hotel Residenza Cannaregio a Venezia - Sentenza link 20-11-2022Comunicato SULLO "SCIOPERO GENERALE" del 2 dicembre 2022 DA PARTE DEI SINDACATI DI BASE - link 19-11-2022Castelfranco Veneto (TV) - Stiga spa - Sciopero operaio del rifiuto agli accordi della flessibilità confederale
17-11-2022 ANCONA Fincantieri - Sciopero di 3 giorni dei lavoratori Isolsud - Bollettino operai nr.12 - pag.2 - foto - foto 2 - foto 3 - foto 4 - Allo sciopero sono seguiti 6 inutili ed assurdi licenziamenti da parte di Isol Sud corredati da notizie di apertura "nuova ditta". Il gravissimo comportamento antisindacale della Azienda ha già trovato compatti i lavoratori (5 bengalesi e un italiano) nell'impugnazione dei licenziamenti. 15-11-2022 Alessandria - È giunta notizia della morte di Roberto Soressi ex sindacalista e pensionato, che dalla zona di Alessandria aiutava con il suo contributo la FAO-COBAS, con pregevole intelligenza. Addolorati ci stringiamo alla famiglia ed al figlio Renzo che ci ha informato. Paolo Dorigo x l'esecutivo di Federazione Autisti Operai, 15.11.2022 13-11-2022 Foto di gruppo riunione SlaiProlCobas Eurosorting Venice entro Eco+Eco (Veritas) link 13-11-2022 Continua fino al 23 dicembre lo sciopero della flessibilità alla AmaCrai Est di Montebelluna 10-11-2022 AL VIA IL PROCESSO FINCANTIERI il 24 novembre. Altre vittorie del Cobas appalti Fincantieri Marghera - La 4a sentenza verso New World Service, Isolfin e Fincantieri link - Sentenza a favore di un lavoratore verso H & S Marine, Consorzio Evs e Fincantieri link 10-11-2022 Processo a Venezia alla Federazione Autisti Operai - COMUNICATO STAMPA FAO link 10-11-2022 Proclamazione sciopero flessibilità Stiga x sabato 12 link 10-11-2022 Comunicato stampa Acofoinmenef sulla opposizione all'archiviazione della denuncia recente di Paolo Dorigo link 08-11-2022 Comunicato stampa S.L.A.I.Cobas Pomigliano d'Arco (NA) link 03-11-2022 FAO-Cobas: Sentenza verso Marlog Consorzio e "4 Stelle" link 03-11-2022 FAO-Cobas: Sentenza a Mantova verso JR Group - va fatto appello x resp.in solido link 02-11-2022 Notiziario per gli associati link
26-10-2022 Sciopero di 3 giorni nell'appalto Familia in Fincantieri a Monfalcone link 1 -striscione - foto manifestanti - Bollettino Operai del Cobas Appalti Fincantieri nr.11 20-10-2022 Verona - Sentenza per demansionamento operaio agricolo a Verona link
19-10-2022 Treviso - Operai metalmeccanici del Cobas Stiga (ex Ggp ex Castelgarden) oggi in sciopero protestano davanti al Tribunale. Lo sciopero della flessibilità e la contestazione del processo infinito link 1 - link 2 - link 3 - link 4 - foto - volantino
18-10-2022 - Cobas Turismo a Venezia - Eurostars Hotel - Residenza Cannaregio - sentenza contro EHSI link sentenza contro Servizi Integrati Impresa link
17-10-2022 - Cobas appalti Fincantieri Marghera - lettera di protesta SlaiProlCobas in sostegno dei lavoratori autori del blocco improvviso del 14-10-2022 e seguiti da parte di Humangest link foto lavoratori in lotta - Slaiprolcobas è presente dentro il cantiere con i propri associati che hanno fatto lo sciopero con i loro colleghi. Dei 30 associati ex New World Wervice occupati in Isolfin, 10 sono occupati attualmente in Humangest i cui dipendenti oggi hanno protestato con gli altri. L'appalto coinvolge oltre200 operai delle coibentazioni delle costruzioni navali.
17-10-2022 -Stato di agitazione alla Win.Log a Oppeano (VR) link
17-10-2022 - Slai Cobas a Pomigliano d'Arco denuncia la condotta confederale relativamente in questa occasione alla elezione dei Rsu. link (ELEZIONI SINDACALI: QUANDO IL RAPINATORE PRETENDE GLI APPLAUSI DAL RAPINATO -
CHI VOTA AVVELENA ANCHE TE: DIGLI DI SMETTERE !
Chiamali come vuoi: contratto nazionale e/o CCSL… RSU, RSA o sindacati firma tutto… ed ecco che richiedono ancora una volta il voto ai lavoratori per “difenderli” (si fa per dire) con i contratti-bidone utili solo alle prebende ed alle clientele dei sindacati che li sottoscrivono: praticamente non solo derubano i lavoratori dei propri diritti (come il rapinatore che nel buio ti punta la pistola in faccia e ti chiede “o la borsa o la vita”) ma pretendono addirittura gli applausi dal rapinato chiamandolo a votare il rapinatore. IL TUTTO ALLA FACCIA DELLA DEMOCRAZIA.) Al contempo in relazione agli opportunisti a suo tempo estromessi, Slai cobas nazionale, in mancanza di immediate smentite e doverose scuse preannuncia tempestive querele per diffamazione nei confronti di M.M. e di quanti vanno strumentalmente diffondendo notizie false e calunniose sulla nostra organizzazione sindacale. Noi riteniamo che chi attacca Slai Cobas siano infamoni, S. L. A. I. COBAS è la punta di diamante di ciò che rimane della classe operaia, per il futuro di tutti W S. L. A. I. Cobas
13-10-2022 Altra vittoria del Cobas appalti Fincantieri Marghera - La 3a sentenza verso New World Service, Isolfin e Fincantieri link
05-10-2022 e gg seguenti - scontro in Eco Sorting Venice il subappalto di Veritas a Fusina link 1 - link 2 - link 3
03-10-2022 - FAO-cobasComunicazione agli iscritti del coordinatore nazionale Federazione Autisti Operai. link
minacce di intervento yankee su Haiti - una analisi - Australia annuncia che non riconoscerà "israele" - Esperimenti rischiosissimi (covid e peggio) su topi umanizzati - una denuncia
30-09-2022 documento riunione congiunta direzioni del Partito Comunista Libanese e del ronte Popolare per la Liberazione della Palestina link
25-09-2022 Elezioni politiche truffa in Italia - volantino Slai Cobas link dalla newsletter di "Resistenza" nr.16 link dalla redazione di Guardare Avanti ! 27-09-2022 (telegram) link prospetto link
23-09-2022 Marghera - a processo gli indagati di Fincantieri del blitz del 7 novembre 2019 - articolo Nuova Venezia Mestre link - articolo Fatto Quotidiano 28-09-2022 link
22-09-2022 Codevigo PD - Proclamazione sciopero 24 e 26 settembre Molino Rossetto/Molino 4.0 link sciopero lavoratori link articolo Mattino Padova link articolo Gazzettino Padova link
17-09-2022 Chieti - Sciopero degli straordionari alla Sevel Atessa - Slai Cobas link
16-09-2022 articolo sulla crisi mondiale del colosso Fedex link
15-09-2022 Montebelluna - Sciopero Amacrai - volantino link sciopero lavoratori link
11-09-2022 -Venezia stazione fs - Azione di propaganda di lavoratori nigeriani per il connazionale ucciso link
05-09-2022 -Montebelluna - Prosegue la mobilitazione del nuovo Cobas costituito tra i lavoratori dipendenti diretti in Ama Crai a Montebelluna. link
05-09-2022 - FAO-cobas Proclamazione sciopero nazionale. Federazione Autisti Operai. link
04-09-2022 In Ucraina zelensky ha ratificato la legge 5371, che spoglia il 70% dei lavoratori ucraini dei diritti di contrattazione collettiva, introduce contratti a zero ore e consente allo stato di confiscare la proprietà sindacale. Il prezzo dell'ingresso nell'alleanza imperialista è pesante.
https://morningstaronline.co.uk/article/w/ukrainian-laws-stripping-workers-collective-bargaining
04-09-2022 Appello Carc di solidarietà per artisti musicisti indagati dallo Stato repressivo. link
31-08-2022 Riprende la mobilitazione dei Prigionieri Palestinesi. Oggi, mercoledì, l'Associazione dei Prigionieri ha confermato che circa 1.000 prigionieri inizieranno domani uno sciopero della fame, provenienti da varie carceri e fazioni.
L'Associazione dei Prigionieri ha affermato in una dichiarazione che l'amministrazione carceraria è ancora sulla sua posizione e si rifiuta di rispondere alle richieste dei prigionieri, in particolare di ritirarsi dall'insieme di misure abusive che sta cercando di imporre ai prigionieri, di imporre più operazioni di controllo, che in sostanza prendono di mira le conquiste del movimento prigioniero, e ledono i loro diritti a livello di vita carceraria.
L'associazione ha indicato che i detenuti, dalla data del 22 agosto, hanno ripreso i loro passi di lotta che avevano sospeso lo scorso marzo, dopo che l'amministrazione carceraria aveva minacciato di imporre le sue procedure, e che i passi dei prigionieri erano basati sul percorso della "disobbedienza e ribellione " sulle leggi di gestione carceraria, e che astenendosi dal recarsi ai cosiddetti "controlli di sicurezza", restituendo pasti, oltre a indossare uniformi marroni, chiudendo dipartimenti e sciogliendo le agenzie di regolamentazione. http://pflp-lb.org/newsg.php?go=fullnews&newsid=14808
31-08-2022 Preoccupazioni verso la posizione di Google nel conflitto Palestinese (dal NYT) link
29-08-2022 Il partito socialdemocratico tedesco contro gli aiuti militari al regime ucraino.
29-08-2022 USA il mercato azionario ha perso 1,25 trilioni di $ in un solo giorno, venerdì 26 agosto
- Vignetta link
28-08-2022 No alla partecipazione italiana alla guerra link
27-08-2022 Interessante questo articolo del "piccolo"; interessante la critica del sindaco anche se è chiaro che il suo scopo pare orientato a contrastare la crescita di aziende create da immigrati. E' poi verissimo che i sottopagamenti e le porcherie sono spesso di ditte italiane e non solo di ditte "miste". articolo
27-08-2022 Gl italiani fecero referendum e bloccarono 5 centrali nucleari. Quasi 40 anni fa. Ora non contenti di imporci una guerra vogliono nuove centrali. soldi soldi soldi. Li stampano "in proprio". Poi Italia & appalti spa farà fallimento. Per questo serve loro "un governo forte". Non votiamo nessuno dei partiti del governo draghi.
25-08-2022 Attualità di "Gasparazzo" vignetta
23-08-2022 Notizie dall'Italy. Un altro omicidio inutile sul conto dei debiti degli Usaf nel nostro Paese.
24-08-2022 La Nuova Venezia Mestre recentemente censura spesso le notizie del ns.sindacato.Riprendiamo la ns.lettera alla Nuova Venezia e diamo pubblicazione alla sentenza contro Isolfin per danno biologico in Fincantieri in relazione al caso censurato di cui alla comunicazione citata. 23-08-2022 comunicato di smentita inerente il volantinaggio ieri 23 di altra os di fronte alle Giare. Non si è trattato infatti di uno sciopero, su 230 lavoratori erano in 3. 19-08-2022 il cordoglio di tutti/e noi di SlaiProlCobas verso la compagna Mara Malavenda che ha perso il suo compagno in questi giorni (FUNERALI A BAGNOLI -NA-) 19-08-2022 inizia la pubblicazione di "Per un approccio ai delitti del potere nell'Italia contemporanea" - 1a puntata 17-08-2022 Libertà per i fratelli compagni Kononovich membri del PC ucraino, imprigionati dal regime filo-nazista clicca qui I governanti italiani senza mandato, seguono la politica internazionale dei paesi occidentali che rappresentano il 15% della popolazione mondiale. Questi governanti, sfiduciati dai parlamentari e nominati solo dal Presidente della Rpubblica, come feudatari agli ordini del re d'america, continuano la avventura criminale militare ucraina diretta contro la popolazione del Donbass ed estesa in una forma di regime militare che vieta i partiti di opposizione in particolare il partito comunista, mentre la censura e la falsità mediatica internazionale viene gestita da una cerchia sempre più ristretta di potentati. La IIa guerra mondiale è finita nel 1945 ma i criminali del nazismo vorrebbero la rivincita. DOWS RACISM DOWN NAZISM DOWS ALL FASCISM. Ma gli imperialisti hanno bisogno del consenso interno. Se ne sono accorti i media principali, come Newsweek. Sarà un caso che in Italia ad andare per la maggiore sono le testate locali, meno sensibili alle critiche ? Qui il link della pagina telegram giornalista italiano Rangeloni, addirittura ricercato da Zelenski per il suo lavoro di verità tra la gente e sotto i bombardamenti https://t.me/vn_rangeloni 14-08-2022 Rivolta degi agricoltori che bloccano tra Roma e Napoli. Un allevatore aveva subito l'abbattimento forzato di tutti i suoi bovini ed aveva tentato il suicidio. Lo Stato non garantisce neppure più la base economica della dittatura del capitale. 10-08-2022 Contributo sul sindacato e memoria per immemori, furbi e disonesti clicca qui 09-08-2022 Indirizzo per l'astensione elettorale il 25-09-2022 e indicazioni ai militanti che intendono comunque votare il 25-09-2022 clicca qui 07-08-2022 Risoluzione dal campeggio internazionale di Attersee (riceviamo e pubblichiamo) 03-08-2022 DOCUMENTO PROGRAMMATICO DI FEDERAZIONE AUTISTI OPERAI. AUTISTI NON DATE ALCUN VOTO A CHI NON SI RICONOSCE E NON SI IMPEGNA PER I NOSTRI FONDAMENTALI BISOGNI E DIRITTI 02-08-2022 -intervento del compagno operaio Paolo T di Mira 31-07-2022 -sulle condizioni di salute del ns coordinatore nazionale 30-07-2022 - Inviata una richiesta di adesione da SlaiProlCobas al centro di solidarietà "Pio La Torre". Documento LO SCHERMO DELLA LEGALITA' - per cultura di tutti i lavoratori e gli sfruttati: clicca qui 29-07-2022 - Onore e amore per la forza e la dignità della proletaria Palestinese che ha perso la vita causa i soldati sionisti. "Questa forte donna palestinese, che ha schiaffeggiato con la sua scarpa il volto del soldato occupante della sua terra. Masafer Yatta è deceduta, lasciando la sua unica volontà: Salvare questa terra e il suo sale. Ha dichiarato Hajja Fatima Al-Harini Im Saber !!! Denunciamo l'ultima "perla" del terrorismo mediatico russofobo e guerrafondaio della grande borghesia occidentale VOGUE. NON COMPRARE VOGUE non sono foto per bambini ed innocenti cittadini, queste gogne sono crimini ed ostentazioni che umiliano l'Umanità allo scopo di riportarci indietro al 1300 ! 27-07-2022 Riunito il Comitato di Controllo annuale di SlaiProlCobas e FAO-Cobas. Il comunicato. Il Bilancio del 2021 registrato presso la sede legale di Marano di Mira. 27-07-2022 Sentenza del Tribunale del lavoro di Venezia per quattro operai di Fincantieri occupati da New World Service in Isolfin spa. 23-07-2022 - Sentenza contro il licenziamento illegittimo in pizzeria collocata internamente allo spazio commerciale a Marghera. Articolo di giornale. Sanzionato dal Giudice del lavoro il licenziamento illegittimo con un tipico comportamento per spingere la lavoratrice a dare le dimissioni. 23-07-2022 - Sentenza contro un licenziamento di un autista immigrato del Nord Africa, in Tribunale del lavoro a Treviso da parte della ditta Rania. Ci sono voluti quasi 4 anni per dare quel minimo riconoscimento a questo autista licenziato. Migliaia di articoli e centinaia di giorni di discussione con la indegna legge Renzi, un popolo asservito che nel 1995 non ha abrogato la protezione economica ai "padroncini" con meno di 15 dipendenti, che ingiustamente licenziano. 19-07-2022 - Comunicato stampa di SlaiProlCobas Esecutivo Nazionale sugli atti repressivi verso "SI Cobas" e ""Usb". 13-07-2022 - Il Giudice del Tribunale civile di Firenze reintegra la psicologa sospesa: 'Il vaccino è invasivo nel Dna'. 'Non può essere costretta, può alterarsi il codice genetico'. La somministrazione di un vaccino - Notizia Ansa - Torna al lavoro una dottoressa toscana che era stata sospesa dall'Ordine professionale degli psicologi perché non in regola con l'obbligo vaccinale imposto per legge alle professioni sanitarie. Lo ha stabilito il giudice Dr.ssa Zanda, che ha revocato la sospensione. Il vaccino essendo sperimentali e gravemente invasivi da insinursi nel Dna, ed alterandolo in modo che potrebbe risultare irreversibile con effetti ad oggi non prevedibili per la vita e la salute",non poteva essere imposto, e quindi poteva essere rifiutato anche rispetto al rapporto professionale ed alle decisioni dell'"ordine". 08-07-2022 - Sentenza contro un licenziamento discriminatorio da parte della ditta Gugelmo di un autista rumeno in Tribunale del lavoro a Vicenza. Importante vittoria sulla prassi consolidata nel settore trasporti di spingere gli autisti operai coscienti alle dimissioni. 07-07-2022 - Sentenza per due operai di Fincantieri occupati da New World Service in Isolfin spa. In tutto sono 30 le vertenze depositate in Tribunale del Lavoro di Venezia per i ns.associati del Cobas appalti Fincantieri Marghera per questa azienda. Ma già tre altre posizioni di ns.associati erano già state risolte a Monfalcone nel 2021. La differenza rispetto alle altre cause al Tribunale a Venezia di Cgil Fiom già finite è che loro le hanno fatte solo x i crediti in busta paga e non x l'errato inquadramento. 5-07-2022 La prigioniera Palestinese Saadia Matar è morta nel carcere sionista "Damon". Riportiamo la notizia dal link della notizia pubblicata da una testata solidale https://www.lantidiplomatico.it/dettnews-percosse_e_negligenza_medica__morta_saadia_matar_la_pi_anziana_prigioniera_palestinese_detenuta_in_israele/8_46751/
01-07-2022 Articolo su sciopero proclamato in Sevel ad Atessa da S.L.A.I.Cobas di Chieti - https://www.ilcentro.it/chieti/denso-venerd%C3%AC-lo-sciopero-di-due-ore-dello-slai-cobas-1.2945319
29-06-2022 - Sentenza di condanna di Cegalin spa in Tribunale del Lavoro di Venezia in una causa mossa da tre lavoratori del Est Europa, facchini e autisti, relativamente alla coop Ecolux ed al Hotel Crowne Plaza Venice East.
29-06-2022 - SERVIZIO GIORNALISTICO de Il Fatto Quotidiano https://www.editorialedomani.it/economia/con-la-scusa-del-pnrr-il-parlamento-cancella-i-diritti-dei-lavoratori-della-logistica-ye20mgvq?fbclid=IwAR3j6FJw328Mhv2Mrhu5c3c2DKyGj4jCP4TWSs1RxqZv762DkiUeWJB-uhA&fs=e&s=cl Denunciamo politicamente che c è un tentativo di dimettere il parlamento e gettare il paese in una situazione di maggior precarietà e pericolo. È vero che sono passate leggi infami ma poiché al peggio non c'è limite, è meglio rafforzare la resistenza che non aprire la strada ad operazioni golpiste Nato contro il nostro popolo. Non siamo d'accordo nel metodo e nella sostanza con qualsiasi operazione fascista o fascistoide. video importante Fao-cobas contro il golpe parlamentare e contro la legge che stabilisce la abolizione della responsabilità solidale negli appalti e subappalti dei lavoratori dediti al trasporto merci. (il comunicato Fit Cisl del 20-07-1011 è una presa in giro. Questa è una legge che va abolita ! E non si può abolirlo fino a quando non si ricostituiscono le Camere). Attenzione inoltre che appena si ricostituiscono le Camere i fascisti vorrebbero abolire la legge contro la tortura. VIDEO DI DENUNCIA DI QUESTA NEFANDEZZA DEL PARLAMENTO E DEL GOVERNO https://www.youtube.com/watch?v=2kFqM7YWE3Y
27-06-2022 - I lavoratori di SlaiProlCobas dipendenti di Molino 4.0 srl manifestano dinnanzi all'area di Molino Rossetto spa a Pontelongo (PD) Proclamazione del 20-06-2022 Foto del presidio - Volantino - Articolo mattino di Padova
26-06-2022 - Dichiarazione internazionale "israele" fuori dal Tour de France. Abbiamo sottoscritto la dichiarazione. Grazie al compagno Ivan B. che se ne è interessato.
24-06-2022 * PROTESTA DEGLI OPERAI ISOLSUD DAVANTI A FINCANTIERI MONFALCONE volantino CLICCA QUIfoto 1 CLICCA QUI foto 2 CLICCA QUI
22-06-2022 * CONTINUA LO SCIOPERO DELLA FLESSIBILITA' ALLA AMACRAI DI MONTEBELLUNA articolo del Gazzettino 10-06-2022 CLICCA QUI
19-06-2022 La guerra in corso distoglie molto da cose importanti per tutta la popolazione. COMUNICATO 12-05-2022 SLAI COBAS POMIGLIANO (NA) - SULLA CHIUSURA DEL REPARTO CONFINO A NOLA (NA) 1 - COMUNICATO https://www.slaicobasmarghera.org/1-comunicato-stampa-del-07-maggio-2022-chiusura-reparto-confino-di-nola.pdf. 2 -SCHEDA TECNICA https://www.slaicobasmarghera.org/2-scheda-tecnica-reparo-confino-di-nola-10-07-2013.pdf 3 - PROCURA GENERALE CASSAZIONE https://www.slaicobasmarghera.org/3-procura-generale-corte-di-cassazione-adunanza-in-camera-di-consiglio-21-febbraio-2019.pdf 4 - CASSAZIONE https://www.slaicobasmarghera.org/4-SENTENZA-CASSAZIONE-316-TRASFERIMENTO-NOLA-02-01-2020.pdf
19-06-2022 domenica - LA GIUNGLA INFERNALE HA COLPITO ANCORA - Oggi a Mestre alle ore 15,30 un italiano in condizioni indescrivibili di mancanza di lucidità causa la tossicodipendenza, percorrendo as velocità elevata la stretta via Dante, a due passi dalla stazione Fs, ha rastrellato due pali e stirato per strada, uccidendolo, un giovane operaio del Mali, occupato in questo periodo a Fincantieri Marghera. Non risulta che sia stato proclamato il lutto cittadino.
17-06-2022 - SCIOPERO NAZIONALE COLLEGATO NEI TRASPORTI ALLO SCIOPERO GENERALE CLICCA QUI PER DOCUMENTO
16-06-2022 - VIDEO DEL COORDINATORE NAZIONALE FAO-COBAS SUI CONTRATTI DI FORFETTIZZAZIONE IN AMBITO BRT NORD-EST FATTI DA CGIL-FILT APPLICATI INCREDIBILMENTE (NON è PREVISTO NEMMENO DAL CCNL) AI LIVELLI D2-E2-F2 DEL CCNL LOGISTICA E TRASPORTO MERCI. CLICCA QUI PER IL VIDEO
09-06-2022 - MONTEBELLUNA - SCIOPERO CONGIUNTO DEI LAVORATORI DI AMACRAI EST E DELL'APPALTO - PER COMUNICATO CLICCA QUI - FOTO SU FACEBOOK CLICCA QUI
28-05-2022 - SCIOPERO DELLA FLESSIBILITA' IN STIGA SPA A CASTELFRANCO VENETO
27-05-2022 - SENTENZA DI CONDANNA DEL TRIBUNALE DI VENEZIA A ISOLFIN PER DANNO BIOLOGICO DI ACQUISITA PERDITA DELL'OLFATTO A CAUSA DI INFORTUNIO IN FINCANTIERI A MARGHERA CLICCA QUI
22-05-2022 - RICORDIAMOCI COSA SIGNIFICA GIORNO FESTIVO - VOLANTINO SLAIPROLCOBAS CLICCA QUI
20-05-2022 - PRESIDIO DAVANTI A FINCANTIERI MONFALCONE - Slaiprolcobas-Usb-UsiAit FOTO CLICCA QUI
20-05-2022 * VOLANTINO IL GOVERNO VUOLE LA GUERRA NOI NO ! CLICCA QUI
07-05-2022 * COMUNICATO SLAI COBAS SULLA CHIUSURA DEL REPARTO CONFINO DI NOLA CLICCA QUI PER COMUNICATO E ALLEGATO 1 2 3
07-05-2022 - REINTEGRATO IN STELLANTIS A TERMOLI ARTICOLO CLICCA QUI
06-05-2022 - INDIZIONE SCIOPERO GENERALE DEL 20 MAGGIO 2022 - Alcobas-Fao-Lmu-Sgc-Slaiprolcobas-Soa CLICCA QUI PER DOCUMENTO
03-05-2022 * COMUNICATO E SENTENZA PER UNA LAVORATRICE INFORTUNATASI IN CASERMA LAGUNARI A MALCONTENTA CLICCA QUI PER SENTENZA E VEDERE IL COMUNICATO CLICCA QUI ARTICOLO CLICCA QUI
01-05-2022 - SLAIPROLCOBAS NON PARTECIPA A CONVENTION CHE NON SIANO ORGANIZZATE CON LA BANDIERA ROSSA DEL MOVIMENTO OPERAIO - BUON 1° MAGGIO DA SLAI COBAS - 30-04-2022 anniversario della liberazione di Berlino dal nazismo. "Poiche’ tra qualche anno un film del PDi farà intendere che Berlino fu liberata dalle forze angloamericane e che fu issata
la bandiera a stella e strisce, ricordiamo che il 30 aprile 1945 a Berlino entro’ l’Armata Rossa che, dopo avere pagato un enorme
tributo di sangue, isso’ la bandiera rossa sul parlamento tedesco.
La sconfitta del nazifascismo la dobbiamo oltre che ai partigiani, ai milioni di soldati russi morti contro i nazisti".
30-04-2022 - COMUNICATO SLAI COBAS CHIETI: SEVEL CONDANNATA CLICCA QUI PER SENTENZA IN VIA DEFINITIVA, VEDERE IL COMUNICATO CLICCA QUI
22-04-2022 - PRESIDIO UNITARIO ALLA CASERMA EDERLE DI VICENZA CLICCA QUI PER FOTO E CLICCA QUI x INTERVENTO - Oggi buon successo della soggettività operaia e sindacale anti - concertazione, a Vicenza forte denuncia popolare davanti alla Caserma Ederle. Tra gli interventi anche quello di Paolo Dorigo x slaiprolcobas insieme agli interventi di vari lavoratori e di tre militanti Cub di Padova e di Trento. Presente per slaiprolcobas una delegazione operaia di lavoratori provenienti anche dalle province di Udine, Venezia, Padova e Verona
18-04-2022- ADESIONE SCIOPERO GENERALE Alcobas-Fao-Lmu-Sgc-Slaiprolcobas-Soa 22-04-2022 CLICCA QUI PER VOLANTINO
11-04-2022 * ADESIONE SCIOPERO GENERALE Alcobas-Fao-Lmu-Sgc-Slaiprolcobas-Soa 22-04-2022 CLICCA QUI PER DOCUMENTO
07-04-2022 * COMUNICATO SLAIPROLCOBAS APPALTO CAB LOG NOALE CLICCA QUI PER VOLANTINO
02 E 09-04-2022 E 16-04-2022 - SCIOPERO DELLA FLESSIBILITA' IN STIGA SPA A CASTELFRANCO VENETO
31-03-2022 * VOLANTINAGGIO IN FIORITAL SPA A VENEZIA RACCOLTA FIRME DI 100 OPERAI PER L'INDENNITA' MENSA ANCORA ASSENTE IN QUESTA FABBRICA CLICCA QUI PER IL TESTO DEL VOLANTINO
21-03-2022 sicurezza sul lavoro in Italia ... Sicurezza sul lavoro ? Una azienda fa un trasporto su vasca di manganese in polvere e poi senza lavarla chiede al autista che si è rifiutato, di trasportare grano !!!! Quali conseguenze può determinare l'eccesso di manganese? Un'overdose di manganese può portare a sintomi simili a quelli del Parkinson. Inoltre, in chi soffre di problemi al fegato, un eccesso di questo minerale può portare a problemi psichiatrici, tremori e spasmi. Succede in Italia, 21 3 2022
17-03-2022 *DICHIARAZIONE DEL COORDINATORE NAZIONALE SLAIPROLCOBAS CONTRO L'INCREMENTO DELLE SPESE MILITARI CLICCA QUI
12 E 19 -03-2022 - SCIOPERO DELLA FLESSIBILITA' IN STIGA SPA A CASTELFRANCO VENETO
12-03-2022 45° ANNIVERSARIO DELLA RIVOLTA PROLETARIA DEL 12 MARZO 1977 A ROMA
12-03-2022 - ANNULLATO IL TRASFERIMENTO DELLA RSA SLAIPROLCOBAS IN FONDAZIONE VENEZIA IN MESTRE VIA SPALTI - La compagna è stata brava, ha resistito 1 anno e mezzo, abbiamo vinto torna a villa turazza, tuttavia la giurisprudenza dimostra la sua influenza borghese: il trasferimento illegittimo è annullato ma il risarcimento quasi nullo inattesa della SENTENZA questo è il dispositivo CLICCA QUI
09-03-2022 * SENTENZA CONTRO ECOLUX E CEGALIN VENETO SPA prima di 2 vertenze collettive. CLICCA QUI
08-03-2022 - PROCLAMATO AD ANCONA FINCANTIERI SCIOPERO DI 5 GG DEI LAVORATORI ISOLSUD VOLANTINO CLICCA QUI
03-03-2022 *PROCLAMATO SCIOPERO LAVORATORI CCNL TRASPORTO MERCI E LOGISTICA E CCNL MULTISERVIZI DAL 11 AL 15 APRILE CLICCA QUI PER PROCLAMAZIONE
24-02-2022 * SCIOPERO LAVORATORI E LAVORATRICI RESIDENZA CANNAREGIO A VENEZIA- CLICCA QUI PER VOLANTINO FOTO CLICCA QUI
15-02-2022 * FAO-COBAS - MORTI DA LAVORO NELL'AUTOTRASPORTO: CHE NOTIZIA E' ? CLICCA QUI PER VOLANTINO
14-02-2022 * DICHIARAZIONE IN VIDEO CONTRO LE MINACCE DI GUERRA, PER IL DIRITTO ALL'AUTODETERMINAZIONE CLICCA QUI PER DOCUMENTO schema Interventi militari Usa
12 E 19 E 24 -02-2022 * SCIOPERO DELLA FLESSIBILITA' IN STIGA SPA UN VIDEO STORICO DA CAMPIGO
11-02-2022 * FAO-COBAS - TREVISO IL TEMPO E' GALANTUOMO: SENTENZA IMPORTANTE VERSO BRT - CLICCA QUI PER COMUNICATO ARTICOLO CLICCA QUI SENTENZA CLICCA QUI
04-02-2022 * FAO-COBAS NOTA PER COMPRENDERE L'ABUSANTE CCNL LOGISTICA CONTRO LE CUI ABERRANTI NORME SULLA DISCONTINUITA' FACCIAMO SCIOPERO IL 11-15 APRILE CLICCA QUI
03-02-2022 * VOLANTINO MARGHERA DUE OPERAI MORTI IN POCHI GIORNI CLICCA QUI PER COMUNICATO ARTICOLO CLICCA QUI
01-02-2022 - SCIOPERO IN STIGA SPA A CASTELFRANCO VENETO
26-01-2022 * FAO-COBAS - SENTENZA A TREVISO VERSO TRASPORTI RIZZO SRL CLICCA QUI PER SENTENZA
23-01-2022 * COMUNICATO SLAIPROLCOBAS - VERTENZA ISOLSUD CLICCA QUI PER COMUNICATO
15 E 22-01-2022 * STIGA SPA CASTELFRANCO (TV) - CONTINUA LO SCIOPERO DELLA FLESSIBILITA' CLICCA QUI PER PROCLAMAZIONE
17/22-01-2022 * A MONFALCONE IN FINCANTIERI IN CORSO LO SCIOPERO DEGLI OPERAI ISOLSUD PER PAGAMENTI REGOLARI CLICCA QUI PER VOLANTINO FOTO CLICCA QUI BOLLETTINO OPERAI DI SLAIPROLCOBAS - APPALTI FINCANTIERI (17-01-2022 NR 10)
15-01-2022 - CASTELFRANCO (TV) - SCIOPERO A STIGA SPA
DALL'ESTATE 2021 CI OPPONIAMO AL COSIDDETTO T.U. SULLA RAPPRESENTANZA SINDACALE (NO ALLA SOPRAFFAZIONE DELLA DEMOCRAZIA, EVVIVA I CONSIGLI DI FABBRICA, EVVIVA I COBAS OPERAI).
NS.COMMENTO - - LISTA FIRMATARI "TESTO UNICO"
A proposito di chi parla a vanvera di riconoscimento dei "cobas" e poi firmano la convenzione da noi impugnata nel 2019 e 2021.
Il riconoscimento non ci serve lo abbiamo già nella nazionalità e nella partecipazione ed unità dei lavoratori; certo NOI
Slai Prol
Cobas e SLAI cobas non firmiamo certo queste convenzioni né certi accordi aziendali firmati da molti altri compresi
diversi
"sindacati di base".
12-01-2022 * FAO-COBAS - SCIOPERO A FORLI' AD ADRIATICA LOGISTICS - CLICCA QUI PER VOLANTINO FOTO CLICCA QUI 07-01-2022 * PROTESTA OPERAI PETROL LAVORI A FINCANTIERI MONFALCONE- CLICCA QUI PER LETTERA VIDEO CLICCA QUI ARTICOLO CLICCA QUI - CLICCA QUI PER FOTO TUTA OPERAIA
05-01-2022 -
Draghi chi rappresenta?
Questo decreto sembra fatto apposta per buttare fuori dal lavoro le persone che non vogliono il vaccino.
Inoltre è assurdo ed illegale l arbitrio dell obbligo vaccinale.
I potenti delle multinazionali ed i loro servi (capi di governo ecc) stanno cercando di spingere all assistenzialismo e alla povertà la popolazione intera.
05-01-2022 SCIOPERO DEI LAVORATORI DEL COBAS AMACRAI MONTEBELLUNA - CLICCA QUI - FOTO CLICCA QUI-CLICCA QUI02-01-2022 ATTIVO OPERAIO A MONFALCONE DI SLAIPROLCOBAS PETROL LAVORI29-12-2021 COMUNICATO SLAIPROLCOBAS A PROPOSITO DELLA MOBILITAZIONE DEI LAVORATORI DI SPEEDLINE (S.MARIA DI SALA VE) - CLICCA QUI 22-12-2021 PROTESTA PER UN RINVIO CHIRURGICO - UN CASO ESEMPLARE E MOLTO GRAVE CHE PARLA DI EMERGENZA COVID E OPERAI FERITI PER INCIDENTI DEL LAVORO (NEI GG SEGUENTI LA AULSS HA FISSATO L'OPERAZIONE) - CLICCA QUI21-12-2021 RIUNIONE MOLTO PARTECIPATA DEL COORDINAMENTO PROVINCIALE SLAIPROLCOBAS DI GORIZIA 14-12-2021 COMUNICATO SLAIPROLCOBAS SU "SCIOPERO GENERALE" CGIL-UIL - CLICCA QUI13-12-2021 news-FAO- SENTENZA MOLTO IMPORTANTE REVOCA IL LICENZIAMENTO DI UN AUTISTA - TRIBUNALE DI BRESCIA - CLICCA QUI07-12-2021 LA QUESTIONE DEL CLORO NEI REPARTI DI LAVAGGIO INSALATA IN FABBRICA GIUNGE SUI MEDIA - CLICCA QUI 22-11-2021 SCIOPERO DEI LAVORATORI DEL COBAS MOLINO ROSSETTO A PONTELONGO (PD) - CLICCA QUI - FOTO CLICCA QUI 16-11-2021 GRANDE RISALTO MEDIATICO ALLA PRIMA FORMALE
CHIUSURA DI INDAGINI VERSO PERSONALE DIRIGENTE DI FINCANTIERI A MARGHERA CLICCA QUI
07-11-2018 /
07-11-2021 A 3 anni dalla
mobilitazione dei lavoratori STABIA (Venice Group) alla Fincantieri Marghera CLICCA QUI 02-03 NOVEMBRE 2021 FAO-COBAS SCIOPERO NAZIONALE FEDERAZIONE AUTISTI OPERAI PER RICHIAMARE
LA SOCIETA' CIVILE ALLE SUE RESPONSABILITA' PER LO SCHIAVISMO ORGANIZZATO DI MASSA
(RICORDIAMO CHE IL LAVORO GRATUITO è SCHIAVISMO) DEGLI AUTISTI OPERAI TRAMITE L'11 BIS E LA 234 CLICCA QUI 02-11-2021 DA S.L.A.I.COBAS DIRITTO SINDACALE DIRITTO DEL LAVORO AL
PRIMO POSTO CLICCA QUI 01-11-2021 Dal Coordinatore Nazionale SlaiProlCobas COMUNICAZIONE AGLI ASSOCIATI CLICCA QUI 18-10-2021 Sui Fatti di Trieste Intervento sull'offesa alla Storia ed alla Dignità degli Operai arrecata con gli stessi metodi fascisti
di Scelba nella Città di Trieste Medaglia d'Oro al Valor Militare CLICCA QUI 15-10-2021 LA FARSA DEL REGIME PADRONAL FASCISTA I SINDACATI OPERAI PROCLAMANO SCIOPERO INTERCATEGORIALE CONTRO IL GREEN PASS CLICCA QUI 11-10-2021 il presidio di SlaiProlCobas a Marghera durante lo sciopero generale FOTO D'INSIEME MARGHERA SLAIPROLCOBAS mancano alcuni lavoratori di fincantieri che sono arrivati dopo questo interventio- presenti qui operai ed operaie ns.associati di Fincantieri, Raffineria, Autotrasportatori, Precari, Operatori ecologici, Agricoli, del Turismo, ed operai partecipanti ma non ancora associati di Fincantieri e Raffineria, nonché le tre impiegate della sede centrale. Foto da filmato,fatte da Paolo Dorigo 06-08-2021 - Nazisti israeliani al
lavoro -
06-08-2021 - LA VERGOGNA
DI CASA ANCHE NEI SINDACATI DI BASE CHE SOTTOSCRIVONO I PROTOCOLLI
CONFINDUSTRIALI CONTRARI ALLA DEMOCRAZIA DEI LAVORATORI CLICCA QUI 01-07-2021 – DOPO IL CENTENARIO
DALLA FONDAZIONE DEL PCD’I (21-01-1921) ECCOCI AL CENTENARIO DALLA FONDAZIONE
DEL PCC. Grazie a
Giorgio Stern “IMMENSI
ERANO I PROBLEMI, varie le correnti e le esigenze, incerte le prospettive
quando il primo luglio 1921 dodici uomini – e tra loro Mao Tse-tung –
convennero da varie parti del Paese in un’aula di una scuola femminile nella
concessione francese di Shanghai e vi fondarono il Partito Comunista Cinese.” 01-07-2021 – GORIZIA – INIZIATO IL PROCESSO PER ESTORSIONE AI DIRIGENTI DI PAD CARPENTERIE ENTRO FINCANTIERI – COSTITUITE LE
PARTI CIVILI – AMMESSO IL NOSTRO SINDACATO A PARTE CIVILE– CLICCA QUI PER IL
SERVIZIO Caporalato di Stato a Fincantieri: il maxi processo di Gorizia su
appalti e Agenzie del Lavoro (aspettando il Recovery Plan) 30-06-2021 BILANCIO DURANTE COVID 2020 IN ATTIVO 25-03-2021 – STABILIMENTO INSALATA DELL’ORTO
GIARE MIRA (VE) - SCIOPERO INTERA GIORNATA – IL COBAS SI RAFFORZA – CLICCA QUI PER IL VOLANTINO IN ITALIANO – CLICCA QUI PER IL VOLANTINO IN CINESE – Foto
dello sciopero di oggi all insalata dell orto a mira le giare - Partecipazione
diretta di circa 40 operaie ed operai, astensioni dal lavoro 30/40 % dei 200
lavoratori. - Crumiraggio organizzato dalla azienda con personale esterno e
dell’ appalto San benedetto – foto squadra del primo turno CLICCA QUI 20-03-2021 – STIGA CASTELFRANCO VENETO (TV) – SCIOPERO DELLA FLESSIBILITA’
VOLANTINAGGIO E PRESIDIO DAVANTI ALLA PALAZZINA – L’AZIENDA CONTINUA A NON
VOLER DISCUTERE – NOI IN ATTESA DELLE SENTENZE SUI PART-TIME VERTICALI DI 6 E 7
MESI 15/18-02-2021 – MONFALCONE – comunicato stampa su inchiesta Pad carpenterie CLICCA QUI. Alcuni articoli dei media CLICCA QUI - CLICCA QUI . Diffida sindacale alle
minacce subite dagli operai denuncianti CLICCA QUI . 21-01-2021 – centenario
della fondazione a Livorno del Partito Comunista NEL FRATTEMPO IL
COVID SI DIMOSTRA LA GUERRA MONDIALE SEGRETA TRA I
SERVIZI CONTROLLATI DALLA BORGHESIA NERA E PROLIFERANO LE
“VARIANTI”. 08-01-2021 – FEDERAZIONE AUTISTI OPERAI – NON DI SOLO COVID – 09-11-2020 - VOLANTINO S.L.A.I. COBAS COORDINAMENTO PROVINCIALE DI CHIETI – SEVEL – COVID-19 CLICCA QUI 20-09-2020 – 1)LA RIDUZIONE DEI PARLAMENTARI FA IL GIOCO SOLO DEI
POTENTATI CHI SE NE E' FATTO PROMOTORE PIANGERA'
LA LONTANANZA DELLA REALTA' DAI PROPRI PROPOSITI – IL PROBLEMA MAFIOSO E' ORA
NAZIONALE – 2) iL VENETO VOTANTE SI ILLUDE DI UN SUO DIRITTO ALLA DIVERSITA'
FISCALE – siamo per il rispetto dei diritti dei lavoratori e contro la
“autonomia” regionale socio-mafiosa Luglio 2020 - STIGA -
COMUNICATO SLAIPROLCOBAS SULLA MONTATURA BOCCIATA
DAL TRIBUNALE DI TREVISO 25-05-2020 – FEDERAZIONE
AUTISTI OPERAI PARTE LA CAMPAGNA 21-05-2020 Ripartono le
lotte – SlaiProlCobas a MILANO con il presidio APRILE 2020 - Il fallimento del modello
sanità in Lombardia una enorme strage che ancora continua. NO ! al progetto di
legge di deresponsabilità penale avanzato da “Lega salvini” http://www.slaicobasmarghera.org/20200331-SLAIPROLCOBAS-MILANO-IL_FALLIMENTO_DEL_MODELLO_LOMBARDO.pdf
La denuncia dello scandalo mortale delle case di riposo in Veneto a cura
del comitato provinciale di Venezia di SlaiProlCobas http://www.slaicobasmarghera.org/20200330-comunicato-CP-Spc.pdf Covid19: I LAVORATORI NON SONO CARNE DA MACELLO DA SACRIFICARE SULL’ ALTARE DELLO
SFRUTTAMENTO . 14/4/2020 SCIOPERO POLITICO DI SOLIDARIETA’
OPERAIA Assemblea nazionale on line da Marano di Mira 14-04-2020 h.10-14 e h.16-18 SCIOPERO NAZIONALE 14-15-16/04/2020 – CONTRO LA TRUFFA DEL 11 BIS - PER ABOLIRE GLI ARTT.11
BIS - TER - QUATER - QUINQUIES E ART.11 C.8/B E C.9 DEL CCNL TRASPORTO MERCI
SPEDIZIONI E LOGISTICA E LA SECONDA PARTE DEL ART.3.C.1.L.2 DEL DPR
234/2007 (PRODI). (" qualora non se ne conosca in anticipo la durata
probabile, vale a dire o prima della partenza o poco prima dell'inizio
effettivo del periodo considerato, oppure conformemente alle condizioni
generali negoziate tra le parti sociali;") LA SVOLTA STORICA DI CUI NESSUNO VUOL PARLARE LA
SENTENZA 0001 / 2020 DEL 02-01-2020 DELLA CASSAZIONE RIPORTA LA DEMOCRAZIA NEL
DIRITTO DEL LAVORO - Slai Cobas: "Sentenza della Cassazione segna una svolta sulle
discriminazioni sindacali. Silenzio da parte di sinistra e sindacati
confederali e di base" S.L.A.I cobas Comunicato stampa “La giurisprudenza prevalente ignora lo
sviluppo della normativa nazionale che, su preciso impulso delle direttive
europee, ha arricchito il diritto antidiscriminatorio nei luoghi di lavoro”: BLITZ FINCANTIERI 07-11-2021 – DODICI
INDICAGATI TRA I DIRIGENTI DI MARGHERA BOLLETTINO OPERAI
FINCANTIERI NR 007 NOVEMBRE 2019 SUL BLITZ CONTRO LA DIREZIONE FINCANTIERI DI
MARGHERA - Scarica il pdf comunicato stampa SlaiProlCobas –
Fao Cobas: AI TAVOLI DI CONTRATTAZIONE COLLETTIVA NAZIONALE Confederali
e burocrati atterriti ricorrono
al protocollo 18-09-2019: LA LORO STRANA IDEA DELLA DEMOCRAZIA SINDACALE ? UN UNICO FILO NERO DAL 1932 AL 2019 - NEL 1932 il regime fascista 6
anni dopo lo scioglimento dei partiti e il partito unico di monarchia, vaticano
e padroni arrivò allo scioglimento dei sindacato Cgl compresa, 2 dei 6 massimi
dirigenti Cgil passarono al fascismo. “YOU AREN’T LAW YOU ARE
SHIT” LA RAPPRESENTATIVITA’ NON SI CONQUISTA CON I METODI
ANTISINDACALI DEI PADRONI E CON LA VIOLAZIONE DELL’ART.17 STATUTO DEI
LAVORATORI, PINOCCHI ! 17-09-2019 – Stato di agitazione con scioperi straordinari proclamati in Zincol Italia
Noale per 20-09-2019 e in appalto Ama Crai Montebelluna – Vertenze collettive
per differenze retributive presentati o in via di presentazione nei tribunali
di Venezia, Padova e Treviso, degli appalti Brt di casale sul Sile, Packload in
Ama Crai 2018, Ortoromi Borgoricco, appalto Nhow in Milano via Tortona, e altre
aziende. Alla Pixartprinting Quarto d’Altino inizia la critica operaia al
lavoro domenicale. 05-09-2019 - DI CASTELFRANCO
VENETO – VITTORIA OPERAIA ALLE SMALTERIE CASTELLANE– RICONOSCIUTO DALLE PARTI
DATORIALI CHE NON CI SARà NESSUN LICENZIAMENTO TRA GLI OPERAI CHE NON HANNO
SOTTOSCRITTO I 411 E CHE LA RELATIVA PROCEDURA DI CIGS RIGUARDERà SOLO 8 O 9
OPERAI FIRMATARI DI ACCORDO. INTANTO IL COBAS CRESCE ED AGLI OPERAI MAROCCHINI
REINTEGRATI A LUGLIO 2018 SI STANNO AGGIUNGENDO OPERAI ED OPERAIE ITALIANI-E.
OGGI ALLA RELATIVA PROCEDURA SINDACALE COLLETTIVA IN REGIONE VENETO PRESENTE
ANCHE LA NS.O.S. CHE HA FIRMATO IL VERBALE PER SOLA RICEVUTA. CI HA LASCIATO OGGI
03-09-2019 IL COMPAGNO SASA OBRADOVIC TRA I PRIMI DIRIGENTI DI FEDERAZIONE
AUTISTI OPERAI, CHE ORGANIZZO’ LA LOTTA DEL 2013 ALLA BUSATTA & CECCHIN DI
ROVOLON E CHE PORTO’ LA SUA TESTIMONIANZA AL PROCESSO PER LA CONDANNA PENALE
DEI TITOLARI. STATO
DI AGITAZIONE IN PREPARAZIONE IN ALCUNE AZIENDE DI TRASPORTO VENETE. SEMPRE
PIU’ NUOVI ISCRITTI A FAO-COBAS FEDERAZIONE AUTISTI OPERAI IN NUMEROSE REGIONI
ITALIANE IN VISTA DELLO SCIOPERO DEL 2-3-4 OTTOBRE. 2019-08-16 – impugnata da
SlaiProlCobas e da decine di lavoratori ns.associati di Stiga la procedura di licenziamento
collettivo di 99 operai (seppure su base volontaria) che aprirà la strada alla
schiavistica pratica –mediante agenzia interinale- dello “Staff Leasing” che è
istituzionalizzata per dividere i lavoratori e costruire le guerre tra poveri.
Okkio ai presbiti e miopi in politica e diritto. Il testo della impugnazione Presentazione https://youtu.be/7TmdF0vyGF4 2019-08-11 la regione
Lombardia ci prova a trasformare le fabbriche in LAGER. I confederali tacciono
? 2019-08-05 - NOTA FEDERAZIONE AUTISTI OPERAI -
BORGO PANIGALE – ANCORA UNA STRAGE – NOTA FEDERAZIONE AUTISTI OPERAI 03-08-2019 – Incidente a Marghera in eni il 01/08/2019:
Il tecnico ferito è dello SPISAL, pare nessuno sapesse della sua presenza in
impianto. Così fosse gran figuraccia, vige la regola che chi si reca dentro gli
impianti debba farsi firmare dal capoturno responsabile un modulo che gli
autorizza la visita. 03-08-2019 – Vigonovo. Ritirato da Moda di Fausto il
licenziamento di una dei due operai ns associati che avevano contestato la
procedura di licenziamento collettivo nei giorni scorsi ! 02-08-2019 – Monfalcone – appalti Fincantieri - Denunciamo lo scandaloso
comportamento di Fiom nella vertenza Smi che per un anno han taciuto.
Pubblichiamo invece ciò che Fiom aveva firmato con Smi. In udienza a Gorizia
l’avvocato dei lavoratori ns.iscritti ha richiesto il fallimento il giudice si
è riservato. http://www.slaicobasmarghera.org/20170427-20171129_Smi-Cgil.pdf 01-08-2019 INCIDENTE IN ENI – SLAIPROLCOBAS DENUNCIA 29 LUGLIO – 6 SETTEMBRE SCUOLA OPERAIA A MARANO DI MIRA richieste di partecipazione gratuita a slaiprolcobas@gmail.com 27-07-2019 – a Castelfranco Assemblea
dei lavoratori del Cobas STIGA in part time verticale con la visita solidale di
FGC e Partito Comunista. Preparata l’impugnazione del accordo in regione del
18-07-2019 firmato dai confederali che dietro la mascherata dei 97
licenziamenti “volontari” cela l’introduzione in fabbrica di una nuova
categoria di sfruttati, interinali in “STAFF LEASING” 26-07-2019 – FEDERAZIONE AUTISTI OPERAI A VENEZIA – Si allarga nelle ditte di trasporto merci della
provincia la contestazione dei nostri associati che rivendicano i riposi
compensativi che le aziende non fanno praticamente mai effettuare loro. I primi
episodi di queste proteste sono incoraggianti e garantiscono maggior sicurezza
ai lavoratori. 11-07-2019 – NOSTRA RISPOSTA A BONO, SOLE 24 ORE E SOCI Commento slaiprolcobas ad un servizio del Sole24 ore quotidiano di
confindustria Commento slaiprolcobas appalti Fincantieri 10-07-2019 - https://m.facebook.com/1176422985753341/posts/2466756493386644/?sfnsn=mo Il SOL COBAS denuncia
si cobas x sda di carpiano 04-07-2019 – CENSURA BORGHESE NEI
MEDIA LOCALI SULLA NOSTRA IMPORTANTE ATTIVITA’ APPREZZATA DAI LAVORATORI E
INVISA AI “POTENTI” il Volantino distribuito (clicca qui) Alle Aziende
- Enti destinatari Circolare
sindacale sul coinvolgimento dei lavoratori nella prevenzione dei rischi
sicurezza e salute sul lavoro 12-06-2019 Sevel di
Atessa (CH) Comunicato SLAI cobas (file JPG) Sciopero dello straordinario dal 01 aprile al 18 maggio alla Ortoromi
di Borgoricco (PD) 14-05-2019
Comunicato sull ennesima strage in mare 11 MAGGIO 2019 - MIRA ANTIFASCISTA SI
MOBILITA CONTRO LA SCANDALOSA PRESENZA DEI
NAZIFASCISTI DI “FORZA NUOVA”. LA PRETESTUOSA
“SICUREZZA IN PIAZZA” PORTA AL FERIMENTO AD UN OCCHIO AD OPERA DI UN AGENTE DI PS
DI UN LAVORATORE DELLA SCUOLA NOSTRO ADERENTE, I.B., PROSSIMO ALLA PENSIONE. VIETATA SUL LATO
VIA NAZIONALE LA ATTIVITA’ DI VOLANTINAGGIO AL NOSTRO C.N., PAOLO DORIGO. LA STAMPA LOCALE CLICCA QUI https://www.slaicobasmarghera.org/20190512-Nuova.jpg LA NOSTRA
COMUNICAZIONE ALLE AUTORITA’ SU MIRA, INVIATA IL 09-05-2019 Si
sollecitano le Autorità competenti a vietare la reiterazione (dopo quella del
14-04-2019) della "manifestazione" prevista per sabato mattina
11-05-2019 a Mira da "Forza nuova", una espressione provocatoria
minoritaria con trascorsi legami diretti al terrorismo stragista dei
"Nuclei armati rivoluzionari" responsabili della strage di Bologna
del 2-8-1980 ed apologetica del fascismo e offensiva per la comunità di Mira e
per la storia degli eccidi che ha subito la popolazione di Mira. SLAIPROLCOBAS CASTELFRANCO VENETO (TV) – STIGA – SLAIPROLCOBAS IMPUGNA LA CASSA
INTEGRAZIONE VOLANTINI MANIFESTAZIONI 1° MAGGIO A CASTELFRANCO VENETO E A MONFALCONE LOTTADICLASSEEDINFORMAZIONEDIMASSA.pdf CAMPOSAMPIERO PD La risposta del 11-04-2019 del capo
del personale di Ortoromi alla ns.del 10-04-2019 - Buon giorno. Conveniamo sulla presa di
coscienza di uno stato di tensione particolare all’interno dello stabilimento,
ma non sicuramente dovuto all’atteggiamento antisindacale dell’azienda, ma a
rapporti interpersonali tra
lavoratori, probabilmente sostenitori di
teorie diverse sul valore del lavoro. Non pensiamo possa essere considerato
antisindacale l’atteggiamento di un’azienda che accetta, come doveroso, lo
sciopero di un gruppo di lavoratori gestendone le relative conseguenze organizzative,
chiedendo favori i clienti e sostenendo il disagio di dover formare nuove
risorse da adibire alle linee interessate dai lavoratori in sciopero.; ma va
fatto perché i diritti dei lavoratori vengono prima di tutto. Relativamente
agli episodi riportati, nel momento in cui l’azienda (..attraverso la suo struttura gerarchica…) ne viene a
conoscenza, nel rispetto della prassi e
delle regole disciplinari, provvede con la massima sollecitudine alla relativa
trattazione. Metteremo in atto, ulteriori e più pressanti controlli, oltre a
quelli importanti già attuati, per evitare comportamenti scorretti. ORTOROMI
Borgoricco (PD) 03-04-2019 – il comunicato - 20190403-ortoromi.pdf FEDERAZIONE
AUTISTI OPERAI - SENTENZA 133/2019 DEL 5-4-2019 AL TRIBUNALE DEL LAVORO DI
VENEZIA – ANNULLATO IL TRASFERIMENTO DI ION CHE RITORNA ALLA SEDE DI MARGHERA
DELLA ZANARDO. ERA STATO TRASFERITO UN ANNO FA A LODI. STIGA
CASTELFRANCO VENETO (TV) 16-03-2019 – Dopo 4 mesi di lotta sulla flessibilità e di sciopero della
flessibilità nei sabati, nuovo sciopero del Cobas – VOLANTINO-PER-16032019.pdf COMUNICATO STAMPA – MIRA – QUALE DEMOCRAZIA
SINDACALE ? VERGOGNATEVI !!! Comunicato stampa sull’incredibile passaggio di
appalto in L’Insalata dell’orto. In questi anni si
sono visti numerosi licenziamenti passati per il Tribunale del lavoro, uno di
questi è in attesa di prossima sentenza a Venezia, ove sono accaduti fatti di
violenza, ove si sono attivate nel 2014 le autorità competenti per l’uso del
cloro nell’acqua di lavaggio, ove si è dovuto ricorrere all’Ispettorato anche
solo per un mese di ferie. Un primo servizio di Nuova Venezia
sull’episodio “Cambio di appalto nell’area agricola è scontro sindacale A.Ab.
11 Febbraio 2019 MIRA. Cambio di appalto nell’area agricola di Giare, dove alla
cooperativa Cls subentra la cooperativa Coop Time dal primo di febbraio.
Interessati 201 lavoratori, in gran parte cinesi e rumeni ma anche di molte
altre nazionalità. Per i sindacati che hanno firmato l’accordo di cambio
appalto (Fisascat Cisl e Uil Trasporti) e per il consulente del lavoro incaricato
dalla nuova cooperativa è un accordo migliorativo. «Abbiamo portato», spiega
fra i firmatari Daniele Zennaro di Uil trasporti, «al sensibile miglioramento
delle condizioni di lavoro. Passano da un contratto Unci quasi non riconosciuto
a livello nazionale ad un contratto Ccnl “Multiservizi “in cui è previsto
l’introduzione dell’articolo 18, della quattordicesima mensilità e le garanzie
di cambio appalto. Anche a livello di busta paga le condizioni dei lavoratori
migliorano». “ I lavoratori perdono
nominalmente 0,47 centesimi l’ora, in effetti anche più di 1 euro l’ora, grazie
alla “pia” sottoscrizione del passaggio di appalto con applicazione del CCNL
multiservizi, da parte di due sindacalisti confederali con 2 iscritti
registrati su 200, che nemmeno conoscevano le buste paga dei lavoratori
interessati al cambio di appalto !!! Il ns.rappresentante legale ha già
presentato un esposto denuncia sull’incredibile vicenda. Si rappresenta che a
Rubano (PD) proprio tra gennaio e febbraio, è in corso altra procedura di
passaggio di azienda a carattere nazionale, già dichiarata tardiva dai
sindacati confederali Cgil-Cisl-Uil, cui partecipa anche la ns.OS presente
nell’azienda. In tale procedura i confederali hanno già detto di non accettare
il CCNL multiservizi. Il comunicato
Giare-10022019.pdf “Non la pensa così i Paolo Dorigo
di Slai Prol Cobas che attacca i confederali: «Un accordo firmato da Cisl e Uil
(non da Cgil) con cooperativa uscente e consorzio e cooperativa subentrante, in
cui non si rispettano i livelli minimi retributivi precedenti (da 8, 10 euro
l’ora a 7, 59 euro), si fa sparire l’anzianità di sito, si applica un contratto
assurdo vista la natura industriale e logistica del sito, cioè il
“multiservizi». «La paga base», dice Dorigo, «(a dicembre 2018) e i premi di
produzione al personale portavano con il vecchio contratto, la retribuzione
anche oltre gli 8, 60 € l’ora. Abbiamo presentato un esposto denuncia alle
autorità contro l’accordo che è per noi illegittimo, perché si tratta di una
procedura di licenziamento collettivo, priva delle comunicazioni ipreviste. Il
14 faremo un volantinaggio ai lavoratori dello stabilimento».” — Subject: richiesta ccnl (cls) Mira,
19-01-2019 Da:
SLAIPROLCOBAS A: CLS soc.coop. ,
linsalatadellorto@legalmail.it , Prefetto Venezia , Città Metropolitana VE Cc: Ispettorato Territoriale del Lavoro VE , CGIL Venezia
, Cisl Venezia , Uil Venezia , Direzione provinciale INPS VE Mira,
19-01-2019 Signori, coordinatore
regionale Veneto-Friuli V.G. 10-02-2019
– SLAIPROLCOBAS - IN ATTIVITA’ IL COBAS APPALTI BRT A CASALE SUL SILE (TV). - * - IN CORSO DI
DEPOSITO 25 VERTENZE PER DIFFERENZE RETRIBUTIVE DEGLI AUTISTI DELLE MOTRICI,
DOPO IL FALLIMENTO DELLE TRATTATIVE AVVENUTE CON UNA DECINA DI ASSEMBLEE, DUE
SCIOPERI E 5 RIUNIONI CON BRT DA GIUGNO AD OTTOBRE 2018. - * - IL 9 GENNAIO è
PARTITA LA MESSA IN MORA ALLA COOPERATIVA REITIA PER DIFFERENZE RETRIBUTIVE DEI
FACCHINI DEL MAGAZZINO NS.ISCRITTI. ………………………DA ANNI I SINDACATI PRESENTI
NEL MAGAZZINO CONTINUANO A FIRMARE D’AMORE E D’ACCORDO CON BRT VARI ACCORDINI
DI LIBERATORIA, AD OGNI PASSAGGIO DI APPALTO E AL SORGERE DI OGNI NUOVA
VERTENZA. LA NS OS E’ STATA CONTATTATA SIN DAL 2013 DA MOLTIA DERENTI AD ADL
COBAS SVOLGENDO DUE INCONTRI CONSULTATIVI A QUARTO D’ALTINO CON CIRCA 30 DI
QUESTI LAVORATORI CHE ALL’EPOCA ERANO CIRCA 80 ISCRITTI E SI LAMENTAVANO CHE A
PARTE IL 5° LIVELLO IN QUEGLI ANNI NON ERA STATO OTTENUTO ALTRO E CHE CI
PROPONEVANO DI ISCRIVERSI. LA NS O.S. ALL’EPOCA NON ESSENDO ANCORA STATO
SOTTOSCRITTO DA SICOBAS ED ADL COBAS L’ACCORDO NAZIONALE CORRIERI (CON BRT,
TNT ED ALTRI CORRIERI NAZIONALI, CON I QUALI SICOBAS E ADL VANTARONO UN
SUCCESSO ASSURDO, PERCHé LEGITTIMAVA UN CCNL IN CUI NON SI PAGAVA LA MALATTIA,
PERMETTENDOLA PER 4 SETTIMANE) SPIEGO’ A QUESTI LAVORATORI CHE NON CI
POTEVANO STARE DUE COBAS IN UNO STESSO SITO. ANNI DOPO, DI FRONTE ALL’ENNESIMO
ACCORDO DI LIBERATORIA, SI è FORMATO IL COBAS DELLA NS.O.S. NELLA BASE
LOGISTICA DI CASALE SUL SILE, E CON IL PASSAGGIO DALLA COOPERATIVA SANTA CRISTINA
ALLA COOPERATIVA REITIA QUESTI LAVORATORI NON HANNO SOTTOSCRITTO LA
CONCILIAZIONE E QUINDI NON HANNO PRESO I 500 EURO. SI è POI VERIFICATO CHE
TUTTI GLI ACCORDI STIPULATI NEGLI ANNI PRECEDENTI AVEVANO SEMPRE PICCOLE SOMME
DI LIBERATORIA. QUINDI SI SONO INDIVIDUATE DIFFERENZE RETRIBUTIVE ED ERRORI
ANCHE NON INDIFFERENTI IN BUSTA PAGA, E IL 9 GENNAIO SI è INVIATA LA MESSA IN
MORA, è IN CORSO IL LAVORO DI PREPARAZIONE DELLA VERTENZA DEI
NS.ASSOCIATI. IN QUESTO FRANGENTE UN ASSURDO VOLANTINO. RIMANIAMO
DISGUSTATI DI QUESTO RECENTE VOLANTINO ADL DI TREVISO, PER IL METODO (PRIMA GLI INCONTRI CON L’AZIENDA E
POI CON I LAVORATORI !!!) E LA
PROSOPOPEA, DALLO STILE CONCILIATORIO E DALLE CALUNNIE VELATE DA PARTE DI
CHI,HA PENSATO DEL TUTTO ERRONEAMENTE ED ILLEGITTIMAMENTE DI POTERSI PERMETTERE
DI OFFENDERE (SENZA NOMINARLA, MA RIVOLGENDOSI AL NS RSA DEL SITO) LA
NS.OS.- COSA CHE NON PUO’ ASSOLUTAMENTE
PERMETTERSI !!! OPPORTUNISTI E
CHIACCHIERONI SONO GLI AMICI DEI PADRONI !!!! SLAIPROLCOBAS. 08-02-2019
- NEWS FAO COBAS - TOPCO – TORELLO – IMOLA (BO) – Febbraio 2019 – A
conclusione della procedura di passaggio definitivo di 44 autisti Topco in
liquidazione a Torello Spa, sono stati Liquidati dal Tribunale gli importi
relativi alla conciliazione del 21 novembre 2018 e trasferiti i Tfr ed i ratei
dichiarati da Topco -Gli
autisti fedeli alla Federazione Autisti Operai recuperano alcune migliaia di
euro dal concordato, relativi ad ex festività e permessi e ferie, gli altri
ascoltano la Uil e restano a becco asciutto. Alla Topco in liquidazione abbiamo ottenuto un
riconoscimento forfettizzato vantaggioso per gli autisti ns assistiti per tutti
gli anni di lavoro alla Topco relativamente all ex festività ed alle
ferie-permessi sottratti dalla azienda ai lavoratori, dal Tribunale
(liquidatore) per chi ci ha ascoltato, eravamo 12 iscritti su 44. 32 lavoratori hanno perso i soldi firmando
con UIL (passaggio di contratto senza altri riconoscimenti economici a parte
Tfr e ratei), 4 dei nostri che non han voluto ascoltare il ns.Rsa ed hanno
firmato con UIL lo stesso, mentre quegli 8 che ci hanno ascoltato prendono i
soldi con l'accordo siglato presso la Torello, oltre che per Tfr ratei e
passaggio di contratto, anche per queste voci. Federazione Autisti Operai
aderente SlaiProlCobas federata Slai Cobas 07-02-2019 – STIGA (ex GGP) CASTELFRANCO E CAMPIGO
– Rottura tra confederali ed azienda. Lo sciopero dei lavoratori di
SLAIPROLCOBAS dei sabati di flessibilità che continua da novembre 2018, si
estende ora alle organizzazioni confederali che lo hanno proclamato per 3
sabati consecutivi. Il volantino del Cobas http://www.slaicobasmarghera.org/
volantino07022019-stiga.pdf 06-02-2019 – IMPORTANTE RICONOSCIMENTO NOSTRO RAPPRESENTANTE
LAVORATORE SICUREZZA ALLA LAVANDERIA HOTEL SERVICE DI MESTRE. L’AZIENDA NAZIONALE,
ADERENTE AD ASSOSISTEMA-CONFINDUSTRIA, DOVE è AVVENUTO IL GRAVISSIMO EPISODIO
DELLA MORTE DI SAMSUL A GIUGNO SCORSO, DOPO DUE MESI DI RIFIUTI, HA ACCETTATO
DI RICONOSCERE IL NOSTRO RLS, UN OPERAIO AFRICANO, DOPO LA RICONFERMA DEL
PRECEDENTE RLS, DA NOI CRITICATA PER LE MODALITA’ IN CUI ERA AVVENUTA,
VICEVERSA LA NOSTRA OS SLAIPROLCOBAS FEDERATA SLAI COBAS AVREBBE INTERROTTO LE
RELAZIONI SINDACALI ED AVVIATO UNA PROCEDURA EX ART.28. AL CONTEMPO LA NS.OS
E LA HOTEL SERVICE HANNO SOTTOSCRITTO UN VERBALE DI MIGLIORAMENTO DEL CCNL
LAVANDERIE INDUSTRIALI RELATIVAMENTE ALLE MAGGIORAZIONI PREVISTE PER LA
FLESSIBILITà SU BASE VOLONTARIA DI 96 ORE ANNUALI (PORTANDOLE RISPETTIVAMENTE
DA 15 A 18 % E DA 20 A 23%). 06-02-2019
– TORINO – Conciliate due posizioni di Tfr di due lavoratori autisti di mezzi
pesanti aderenti a Federazione Autisti Operai di una cooperativa cessata nel
settembre 2017 che erano al servizio del gruppo ABACO. Al contempo già partita
la intimazione sindacale per 5 autisti attualmente impiegati per Abaco,
relativamente a ex festività e permessi. 05-02-2019
SERVIZIO DELLA NUOVA VENEZIA SULLA CONFERMA IN APPELLO ( CLICCA QUI Fincantieri si era opposta
nel 2016 ad una importante sentenza del giudice Bortolaso del Tribnale del
Lavoro di Venezia che aveva riconosciuto la responsabilità solidale di
Fincantieri verso il TFR di otto operai del Cobas appalti Fincantieri, già
dipendenti della nota Eurocoibenti srl. Ebbene la responsabilità solidale era
stata riconosciuta per tutti gli anni di servizio dei lavoratori in
Eurocoibenti, essendo sempre stati impegnati in Fincantieri ed operando
Eurocoibenti solo in favore di Fincantieri.L'Avv.Trivellato di Fincantieri e
l'Avv.Zanarello del Cobas hanno dovuto riscontrarsi davanti la Corte d'Appello
di Venezia, che ha riconoscìuto la bontà della sentenza della giudice
Bortolaso. Cobas Appalti Fincantieri
Marghera 03-02-2018 31-01-2019 – COMUNICATO STAMPA DI
SOLIDARIETA’ AL CENTRO SOCIALE DI MARGHERA http://www.slaicobasmarghera.org/20190129-zincol.pdf 28-01-2019 – BORGORICCO PD – ORTOROMI - Mentre i lavoratori iscritti SLAIPROLCOBAS
con il ns.sindacato rivendicano l’applicazione di un diverso CCNL (Alimentari
industria) ed impugnano il CIP di Padova annualmente riadattato dai
confederali, il ns RSA unitamente alla ns OS ha rifiutato la proposta aziendale
di lavoro domenicale a rotazione. Il documento http://www.slaicobasmarghera.org/20190128-Ortoromi.pdf 27-01-2019 Riunito il Comitato Congiunto di
Controllo SlaiProlCobas – 18-01-2019
– SLAIPROLCOBAS - VERTENZA SMI MONFALCONE AD UNA SVOLTA 13-01-2019 - PADOVA - Concluso con chiare condanne il processo contro i
titolari della Busatta & Cecchin di Rovolon per bancarotta fraudolenta. La
Federazione Autisti Operai non venne convocata quale parte civile perché non
ebbe notifica alcuna. Ora si sta valutando la possibilità di un nuovo processo. La vertenza dei
lavoratori della Busatta e Cecchin si qualifico' come una situazione
inspiegabile e dubbia, la ditta aveva un rapporto consolidato con due grandi
gruppi trentini di livello internazionale, Arcese e Fercam. All improvviso gli
appalti assegnati alla ditta, che aveva quasi 70 trattori, vengono rescissi. Da
un momento all altro Federazione Autisti Operai di Slai cobas di Mira passa dai
4 ad oltre 40 associati. Dopo aver partecipato alla trattativa per la cassa
integrazione, lo stesso titolare partecipa in prima persona ai fatti del 9 - 10
aprile 2013 che causano anche il ferimento di un lavoratore del presidio
organizzato di fronte al piazzale aziendale. Quella notte allertato dai lavoratori il ns responsabile Paolo Dorigo
telefona a tutte le sedi della polizia stradale del triveneto, ottenendo che le
autorità blocchino circa 25 camion dei 70 aziendali, portati via da uno
squadrone di lavoratori russi con il consenso del titolare. Risulterà poi che i
camion portati all estero passeranno per il Brennero nonostante l allarme dato.
Alcuni dei lavoratori iscritti al sindacato, tra cui il delegato RSA di FAO
cobas, denunciano i loro dubbi alle autorità giudiziarie. Le indagini poi
dimostreranno che Busatta aveva costruito una bancarotta fraudolenta. Fu una
tappa sciaguratamente grave dell abisso degli appalti nella logistica. Il Mattino di Padova 11-01-2019 – VOLANTINO DIFFUSO A CASTELFRANCO VENETO
ALLE SMALTERIE 04-01-2019 COMUNICATO
NAZIONALE Federazione Autisti Operai ( CLICCA QUI 04-01-2019 VOLANTINO DIFFUSO IN ENI RAFFINERIA A MARGHERA
DA SLAIPROLCOBAS ( CLICCA QUI https://federazioneautistioperai.org da Federazione Autisti
Operai: NATALE A CASA NON SCHIAVI
SULLA STRADA ! CHIUNQUE AUTISTA
DIPENDENTE Può PARTECIPARVI CONTRO IL CONTRATTO
TRUFFA DEL 3 DICEMBRE 2017 NELL’AUTOTRASPORTO – NOSTRO SITO https://federazioneautistioperai.org https://www.youtube.com/watch?v=JRqkExq3DuE&feature=youtu.be https://www.youtube.com/watch?v=xOt0Ao3SJNU&t=0s&index=2&list=LLe72InDLk9b_OeMvqDfwaTg https://www.youtube.com/watch?v=utP_-f6Soig&feature=youtu.be 04 DICEMBRE 2018 – SCIOPERO A LEVATE (BG) DEI LAVORATORI DELLA
FAO-COBAS DELLA GOISIS TRASPORTI E SPEDIZIONI CONTRO ACCANIMENTO DISCIPLINARE E
DISCRIMINAZIONI PARTITE DOPO LA LORO IMPUGNAZIONE DEL CONTRATTO AZIENDALE
FIRMATO DALLA AZIENDA DI SUBAPPALTO CON CONFEDERALI E FAI DI ORIO (BG) - MENTRE
SAN PELLEGRINO NESTLE’ SI APPRESTA A PASSARE L’APPALTO TRASPORTI A ITALTRANS,
LA STESSA INTERESSATA A KOINE’ SPA, LA GIURISPRUDENZA SANZIONA IL RIFIUUTO
DELLA CESSIONE DI CONTRATTO E RENDE IMPROPONIBILI LE CAUSE DEI 5 LICENZIATI PER
IL RIFIUTO A PASSARE A KOINE’ TRANSPORT. NEL FRATTEMPO EFFETTIVA L’APPLICAZIONE
AD OGGI DEL CCNL ANZICHE’ DEL CONRATTO AZIENDALE KOINE’ TRANSPORT CHE I
LAVORATORI AVEVANO IMPUGNATO IMMEDIATAMENTE, UN ANNO FA. Il volantino diffuso dai lavoratori pagina 1 e pagina 2 Fincantieri
Marghera 26-11-2018 Sciopero dei lavoratori subappalti Venice Group - clicca
per scaricare il video 26 novembre 2018 ex GGP
Italy-STIGA (TV) 19-11-2018 LA DENUNCIA DEL
COBAS ZINCOL ITALIA A NOALE (VE) 15-11-2018 – Cazzago
– Sui giornali locali, Dopo la chiusura il titolare del Venexian attribuisce la
colpa dei fatti imputatigli dalla Asl3, a 4 dipendenti. Un nostro associato era
stato licenziato alcuni mesi fa dopo una sequenza impressionante di
contestazioni disciplinari, accusato di essere uno scansafatiche, ha denunciato
una aggressione a luglio, ora ha impugnato il licenziamento ed attende il
processo. 13-11-2018 Un altro successo del Cobas appalti
Fincantieri – a Monfalcone 07-11-2018 Sciopero dei lavoratori subappalti Venice
Group in Fincantieri Marghera volantino diffuso Avanza la lotta del Cobas alla Stiga !!! La ns. risposta alla provocatoria email di un dirigentino “sicobas” che aveva scritto
il 29-09-2019 h.11:23 “ Come al solito
Dorigo non si unisce alla lotta operaia, 5 sigle sindacali andranno in sciopero
generale il 26 ottobre e il 27 ottobre scendiamo a Roma in manifestazione.”….. PAOLO è AL SERVIZIO E COORDINA BEN 90 COBAS DI
OPERAI E CON POMIGLIANO VI DENUNCIAMO PERCHE' SIETE OPPORTUNISTI E FIRMATE
MERDATE E PERCHè DOVREMO SCENDERE IN PIAZZA CON DEI SINDACATI FIRMATUTTO COME
SICOBAS ? FIAT-FCA e gli accordi dei sindacati di comodo di
CIGS: SOTTO IL MAGLIO DELLA GIUSTIZIA !!! comunicato
27-10-2018
e comunicato
del 31-10-2018 FAO-COBAS – TRIBUNALE DI BERGAMO - Pavle contro GB
Trasporti. Avv.Luciano De Marco. Con ordinanza in data 24 ottobre 2018 il
giudice del lavoro del tribunale di Bergamo ha dichiarato la illegittimità del
licenziamento irrogato a un nostro iscritto per avere avuto un incidente
stradale. Il giudice ha riconosciuto al lavoratore un risarcimento pari a 18
mensilità di retribuzione ritenendo sproporzionata la sanzione del licenziamento
vista la non gravità dell’incidente e la lunga carriera lavorativa senza mai
avere avuto contestazioni disciplinari . Una importante vittoria a fronte della
prassi sempre più diffusa di licenziare per un solo incidente chi viaggia
numerose ore al giorno con mezzi spesso in condizioni critiche. 24-10-2018
- Archiviata la querela contro Paolo Dorigo per la pagina internet del Movimento
di Lotta contro tutte le mafie (MLCTM) la pagina è reperibile al indirizzo http://www.guardareavanti.info/mlctm/entra.htm MONFALCONE – 21-10-2018 –
CONFERENZA OPERAIA SU DECRETO SALVINI E FINCANTIERI – interventi
su youtube (Avvvocati) 1 e (Paolo Dorigo) 2 18-10-2018- FINCANTIERI
MONFALCONE – SCIOPERO DEI LAVORATORI DEL COBAS APPALTI DIPENDENTI DELLA SMI
DAVANTI AI CANCELLI – LA PROTESTA CONTRO I RITARDI
CRONICI NELLE RETRIBUZIONI, A NOVEMBRE I LAVORATORI SI SONO POI DIMESSI PER
GIUSTA CAUSA – 19-10-2018 BELLUNO - DIPENDENTE DI
CONNECT SERVICE APPALTO BRT CASALE SUL SILE TV IVANO BONALDO PER EVITARE UN
AUTO è PRECIPITATO IN UN BURRONE. E’ IL TERZO DECESSO IN AMBITO BRT DI CUI SI
APPRENDE IN POCHI MESI IN ITALIA Oggi bene la iniziativa all’Interporto di
Bologna dove ci siamo uniti provenienti da Mira, Marghera, Treviso, Verona,
Padova, Brescia, Bergamo, Tortona, Prato, Bologna, Ancona. A parte ci sono stati i colleghi di Torino che
hanno volantinato al interporto di Rivalta e quelli del Sud che hanno
volantinato davanti alla prefettura di Bari (foto sotto). POMIGLIANO - 11-09-2018 –
SLAI COBAS DENUNCIA LA TRUFFA-CIG DELLA FCA (51 MILIONI E PASSA DI CIG PAGATI
DALLO STATO PER I PIANI INDUSTRIALI FANTANSMA DI FCA) - COMUNICATO FAO-COBAS
– verso lo sciopero del 14 e 15 ottobre - Clicca sullo schema sotto per
comprendere la truffa del ccnl trasporto merci spedizioni e logistica del
03-12-2017 11-09-2018
– FIESSO D’ARTICO VE – INCIDENTE GRAVE ALLA CASA DI RIPOSO GESTITA DA UNA COOP UNA
OPERATRICE CADE A TERRA E SI FERISCE GRAVEMENTE, IN 2 DOVEVANO SEGUIRE PER
TUTTA LA NOTTE 120 ANZIANI MOLTI DEI QUALI NON AUTOSUFFICIENTI LA SICUREZZA
SUL LAVORO NON è UN OPTIONAL – COMUNICATO 08-09-2018 – TREVISO –
REINTEGRATI PRESSO L’AZIENDA OVE LAVORAVANO, LE SMALTERIE DI CASTELFRANCO
VENETO, 4 OPERAI METALMECCANICI ORIGINARI DEL MAROCCO, DIPENDENTI DI UNA
COOPERATIVA LASCIATI A CASA DALLA COOPERATIVA OVE LAVORAVANO. FAO-COBAS - 23-08-2018 –in diffusione IL VOLANTINO per lo sciopero nazionale degli autisti operai previsto per il 14 e 15
ottobre 2018 09-08-2018 –
LA DENUNCIA DI SLAIPROLCOBAS SUL APPALTO PULIZIE ALL UNIVERSITA’ CA’FOSCARI A
VENEZIA - Comunicato 02-08-2018 – Le lavoratrici immigrate del nostro
sindacato, addette alla pulizia delle camere del Hotel Excelsior al Lido di
Venezia nelle vicinanze del palazzo del Cinema, in protesta per le retribuzioni
non corrette. Articolo del Gazzettino (jpg).
La vertenza è stata composta a fine novembre con il riconoscimento economico di
un monte ore di circa 80 ore ad personam nei tre mesi oggetto della vertenza. 29-07-2018 - Lo scandalo dei sindacati di base,
gialli come i confederali, dopo il caso Levoni, dopo l’accordo sulle malattie
con i corrieri, dopo l’adesione all’accordo Autamarocchi, dopo gli scioperi
burla, continua. «Vuole cambiare sindacato: spostalo per
controllarlo meglio» Stradella,
l'inchiesta sul caporalato nelle logistiche. Nelle intercettazioni la richiesta
del rappresentante dei Si Cobas al big della coop. Cgil, Cisl e Uil insistono:
«Si deve garantire il rispetto dei contratti e dei diritti»di A.A. 13-07-2018 – MONFALCONE – SLAIPROLCOBAS PARTECIPA ALLA
MANIFESTAZIONE ANTIRAZZISTA CONTRO LA LIMITAZIONE DELL’ACCESSO AGLI ASILI PER I
BAMBINI DEGLI OPERAI IMMIGRATI, ALTRO PASSO DEL NUOVO RAZZISMO ITALIOTA – IL VOLANTINO FAO-COBAS – VERONA
- Luglio 2018 - Prime sentenze per i licenziamenti alla Stevanin Autotrasporti
di San Bonifacio (VR), i cui lavoratori scesero in lotta a dicembre 2017 contro
i licenziamenti, riconosciuta unicità di impresa e indennità risarcitoria per tre lavoratori.
L’azienda a dicembre 2017 presente alle trattative la Fai Veneto, non aveva
voluto conciliare. Sentenza 13-07-2018 –Stato di agitazione in Ama Crai a
Montebelluna, in relazione ad alcuni aspetti retributivi ed organizzativi
dell’appalto. La gestione delle ferie è stata poi risolta nel bimestre
luglio-settembre. 26-06-2018 COMUNICATO DEL COORDINAMENTO METROPOLITANO
VENEZIA-PADOVA-TREVISO DI SLAIPROLCOBAS
SULLA QUESTIONE DELLA LINEA 80 http://www.slaicobasmarghera.org/20180626-comunicato-Linea80.pdf 23-06-2018 - FCA – SABATI LAVORATIVI - FAO-COBAS CONTRO IL CONTRATTO PIRATA DEI TRASPORTI:
FISSATA L’UDIENZA CONTRO L’ARCHIVIAZIONE. 08-06-2018 - NOTA
li abbiamo denunciati a Cgil Cisl Uil, nome e cognome dei 3 segretari
e dei 3 segretari dei trasporti, per truffa aggravata in relazione al “nuovo”
CCNL che toglie trasferte a taluni servizi lavorativi, aggiunge ore, fa
lavorare tutto il sabato, pretende carico-scarico, estende l'orario dei
corrieri, mette come orario fisso le 47 anziché le 39, limita i diritti
sindacali, ecc.ecc. ; MA la Procura di Roma ha istruito contro ignoti e
vorrebbero archiviare, ma ci siamo opposti, ora è fissata l'udienza 16-10-2018
ore 11 a Roma FAO-COBAS - 18-06-2018 – SCIOPERANO GLI AUTISTI MOTRICI BRT DI CASALE
SUL SILE (TV) – CONTINUANO LE TRATTATIVE CON BRT ED AZIENDE DI APPALTO – 18-06-2018 – LOTTA ALLA PRECARIETA’ - REINTEGRATI 6 LAVORATORI
DI GGP ITALY (ORA STIGA SPA) DI CASTELFRANCO VENETO PER NULLITA’ DEL TERMINE –
AVEVANO LAVORATO ANCHE OLTRE 70 MESI – APPALTI BAGNI PUBBLICI (VERITAS) VENEZIA - 15-06-2018 - IMPORTANTE SENTENZA DEL TRIBUNALE DI
VENEZIA SEZIONE LAVORO GIUDICE DR.SSA MENEGAZZO – CONTRO OSPIC SRL – APPALTO DI PARTE DEI
BAGNI PUBBLICI DI VENEZIA AFFIDATI A VERITAS SPA (CAMBIO DI APPALTO DA IL
CERCHIO SOC.COOP. AVVENUTO NELL OTTOBRE 2016)– RICONOSCIUTO LICENZIAMENTO DISCRIMINTORIO
DELLA LAVORATRICE IMMIGRATA E NOSTRA ISCRITTA, N., LICENZIATA PERCHE’ NON AVEVA
RITIRATO L’ISCRIZIONE ALLA NS.OS. -REINTEGRATA Nuova sentenza pubblicata dalla Cassazione a favore
di SLAI COBAS che condanna per violazione diritto sindacale la SEVEL in virtù
del principio della nazionalità. 31-05-2018 – Regione Veneto – A Venezia si è svolto
l’incontro per la procedura di mobilità Ecodreaming in fallimento. Mancato
accordo tra le parti sindacali e il rappresentante del curatore fallimentare.
Presenti SLAIPROLCOBAS con RSA, e FIOM-CGIL, assenti CISL-FIM e ADLCOBAS. 30-05-2018 –
BASTA CON LE RELAZIONI SINDACALI AUTORITARIE ! denunciata la
SEVEL di Atessa (CH) da Slai cobas 29 maggio
2018 NEWS COBAS APPALTI FINCANTIERI Fincantieri
Monfalcone riconosciuto infortunio in causa, di operaio ditta subappalto ora
fallita, Terry, chiamati in causa Omci e Fincantieri, ora si passa ai CTU. Fincantieri
Marghera dipendenti diretti, nuove elezioni RSU nel silenzio della concertazione
sulle spalle degli operai, dopo un premio di produzione utile a deviare le
attenzioni e a contrastare la unità operaia, e continuare con gli operai di
serie A e di serie B,C, Z FEDERAZIONE
AUTISTI OPERAI - Avviata vertenza degli autisti delle ditte di appalto
“motrici” di BRT a Casale sul Sile (TV) –volantino su Cgil diffuso il 22-05-2018 16 maggio
2018 – Riconosciuti circa 5000 euro di
differenze retributive per demansionamento ad un operaio rumeno nostro
iscritto, di appalti (Project Impianti e Impianti Navali) in Fincantieri
Marghera. Fincantieri condannata in virtù della responsabilità solidale. Si
ricorrerà comunque in appello per le parti non riconosciute (il lavoratore
percepiva in trasferta il corrispondente delle ore straordinarie, ma non aveva
le ore ordinarie riconosciute). La sentenza 14 MAGGIO
2018 – SCANDALOSA
ESLUSIONE DI UNA INTERVISTA A PAOLO DORIGO DALLA TRASMISSIONE SU REPORT SU
FINCANIERI DI OGGI. L’intervista era stata realizzata nella nostra sede il Tra l’altro le cose che fiom mostra su report
non sono un particolare scoop essendo notizie di stampa del 2015 su ns
denuncia. Lo schema della 'paga globale: risulta interessante ma come mai solo
noi SlaiProlCobas andiamo a fare le cause dei soldi e demasionamento
direttamente x responsabilità solidale a Fincantieri ? 09 MAGGIO
2018 DICHIARAZIONE SULLA MORTE DI UN RAGAZZO 30 aprile
2018 - Si è svolto lo sciopero a carattere nazionale di 24 ore proclamato per
solidarietà e tutela dei diritti sindacali da Federazione autisti operai e
SlaiProlCobas. 1°
MAGGIO DI “EMERGENZA DEMOCRATICA GLI OPERAI IN
ASSEMBLEA NAZIONALE NELL’AULA CONSILIARE DEL COMUNE PER TUTELARE LA DEMOCRAZIA
SINDACALE ED I POSTI DI LAVORO Altro che “piena
occupazione nelle fabbriche italiane entro il 2018” come
garantito lo scorso giugno da Marchionne e dai suoi “sindacati gialli”: oggi
è invece a grave rischio il posto di lavoro e l’emergenza democratica
ed occupazionale è emblematica delle inquietanti modalità generali della
ristrutturazione industriale e dei servizi nei settori pubblici e privati. Una
ristrutturazione speculativa e a danno sociale - e dei lavoratori - attuata in
Italia con fraudolenti aiuti di Stato multimiliardari! o
Prevenire la catastrofe
democratica ed occupazionale che incombe sui lavoratori e sulle loro famiglie
con la messa a punto e l’avvio di importanti iniziative di tutela “per tutti”. o
Stroncare le
elezioni-farsa delle “RSA gialle” in FCA/CNHI e negli altri settori per
ripristinare e riorganizzare la democrazia sindacale nei luoghi di lavoro. In diffusione da
stamattina l’appello-volantino (in allegato) nelle fabbriche e sul territorio
che chiama alla partecipazione Attiva i lavoratori ed i cittadini. Documento
su FCA AUTO – 13-04-2018 CAMPIGO (CASTELFRANCO
VENETO) 11 APRILE 2018 LAVORATORI DELLA STIGA (ex GGP Italy ex
Castelgarden),– nonostante le sentenze subite, Stiga non demorde - CITTADINI
OGGI 11 APRILE 2018 SIAMO IN SCIOPERO PER UNA SERIE DI GRAVISSIME SITUAZIONI
ACCADUTE, CONTRO LA NEGAZIONE DELLA DEMOCRAZIA SINDACALE IN STIGA E DA PARTE
DELLA LOBBY CONFEDERALE CGIL-CISL-UIL, PER IL LAVORO LA SICUREZZA LA SALUTE E
LA DEMOCRAZIA. scarica
il comunicato 8 APRILE 2018 A Marano di Mira si è riunito IL
COMITATO DI CONTROLLO CONGIUNTO SLAIPROLCOBAS FEDERATO SLAI COBAS E FEDERAZIONE
AUTISTI OPERAI ADERENTE SLAIPROLCOBAS PER LA PROCEDURALIZZAZIONE DELLO SCIOPERO NZIONALE SLAIPROLCOBAS E FEDERAZIONE
AUTISTI OPERAI PER I DIRITTI SINDACALI E CONTRO LA CONCERTAZIONE DELLA LOBBY
SINDACATI-PADRONI VENUTA CLAMOROSAMENTE ALLA LUCE CON LA TRUFFA DEL CCNL
TRASPORTO MERCI, CHE SARA’ PROCLAMATO PER 30 APRILE ORE 00:00 / 24:00 E 2
MAGGIO ORE 00:00 / 06:00 4 aprile 2018 – Assolto il ns.coordinatore Paolo Dorigo
dalla accusa di interruzione di pubblico ufficio a Mira il 09-01-2013. La
sentenza in aula di Tribunale a Venezia. Qui il ns.comunicato 29-03-2018 I
LUPI PERDONO IL PELO MA NON IL VIZIO – comunicato stampa sulla situazione dei
lavoratori Blu Pegaso di Boara Pisani (RO) comunicato stampa 27-03-2018 –
Montebelluna TV - Positiva conclusione della vertenza Uniqa, firma del cambio
d’appalto tra SLAIPROLCOBAS con ben 5 RSA, e coop Packload e Consorzio LHS a
Montebelluna presso Ama Crai. Riconoscimenti economici rilevanti ai 60
lavoratori per il pregresso e riconoscimento a tutti gli assunti del 5°liv.CCNL
logistica. Comunicato congiunto AMA
CRAI-SLAIPROLCOBAS - .... comunicato congiunto .... –
SLAIPROLCOBAS – nota stampa Gazzettino di Treviso 28-03-2018 ... Gazzettino Treviso
.... – L’accordo
di cambio d’appalto fatto senza alcuna presenza confederale è una importante
smentita e delegittimazione della arbitraria esclusione delle altre forze
sindacali “Non stipulanti” dal testo del nuovo CCNL. CCNL-PIRATA del settore
Logistico, Trasporto Merci e Spedizioni / la Nemesi Operaia ALL’
AMA CRAI DI MONTEBELLUNA (TV) SLAIPROLCOBAS SCAVALCA IL CONTRATTO-PIRATA DEI CONFEDERALI
E FIRMA CON L’AZIENDA L’ACCORDO DI TUTELA OCCUPAZIONALE, NORMATIVA ED ECONOMICA
DEI LAVORATORI 24-03-2018 – DEFINITIVAMENTE DECISO DAL COBAS SLAIPROLCOBAS
DI BRT DI CASALE SUL SULE TV DI NON DARE CORSO ALLE CONCLIAZIONI (500 EURO)
SIGLATE CON I LAVORATORI DELLE ALTRE SIGLE SINDACALI (UIL, ADL, ECC.) 23-03-2018 –
POMIGLIANO (NA) - A PROPOSITO DEGLI INTERGRUPPI E DELLE LORO FALLIMENTARI
INIZIATIVE ECCO IL COMUNICATO NAZIONALE DI SLAI COBAS SULLO “SCIOPERO” DEGL
GRUPPO FIAT INDETTO DA SICOBAS ED ALTRE FORMAZIONI Comunicatostampavenerdì23marzo2018 - il
comunicato è stato ripreso nel sito nazionale CUB. 22-03-2018 – ns.comunicato sullo sfruttamento e le
porcherie con il placet delle conciliazioni sindacali nel settore turismo,
frequenti firme di Cgil e di sedicenti sindacati di “base” a cambi appalto con
peggioramento normativo ed economico (ad es.da ccnl turismo a ccnl
multiservizi) ... COBAS
LAVORATORI TURISMO... 19-03-2018 – BORGORICCO PADOVA – SLAIPROLCOBAS SI
PRESENTA - LA BUFERA NON FERMA UN NUOVO COBAS SORTO DALLE CENERI DEL SINDACATO
CHE FU(cgil di un tempo) - volantino dello sciopero del Cobas dello
stabilimento Ortoromi (produzione e confezionamento insalata e prodotti
agricoli) di Borgoricco (PD) ... ORTOROMI ... articolo del Mattino di Padova ...MATTINO DI PADOVA
... 10-03-2018 -
nota stampa sull’omicidio da parte di un operaio Fincantieri, del suo
responsabile http://www.mirarossa.org/20180310-corrieresera.jpg 08-03-2018 - mentre inizia a costituirsi il
Comitato mogli autisti operai, a Pomigliano l’assemblea operaia …. http://www.mirarossa-org/20180307-donne-Pomigliano.jpg 06-03-2018 -
nota stampa su strage continua sulla statale Romea http://www.mirarossa.org/20180306-nuova-ve.jpg - nota
stampa del 03-02-2018 http://www.mirarossa.org/20180303-nuovave.jpg nella foto sopra: Vittorio Granillo, una delle due operaie
ricorrenti contro la FCA al Tribunale di Nola, Mara Malavenda, Paolo Dorigo. 24-02-2018 -
Mentre la falsa sinistra si confrontava contando le adesioni (e leccandosi le
ferite) alle manifestazioni romane preelettorali incentrate sul razzismo, nella
importante assemblea svoltasi presso SLAI COBAS a Pomigliano e presenti oltre a
compagni operai di altre città italiane, una ns delegazione, guidata da Paolo
Dorigo, di dieci compagni operai di diverse nazionalità, aderenti a
SLAIPROLCOBAS e Federazione autisti operai,
scesi da Piemonte, Lombardia e Veneto, si è rafforzata la coesione e fratellanza tra lo SLAICOBAS e lo
SLAIPROLCOBAS – qui il volantino SLAI COBAS per l’assemblea a Pomigliano
nella comune indicazione come deciso all’Assemblea Operaia Nazionale del 4
novembre, di non dare il nostro voto ad alcun partito con lo slogan: QUESTI E
QUELLI PER NOI PARI SONO – pdf - http://www.mirarossa.org/volantino-per-assemblea-del-24-febbraio-2018.pdf -jpg- http://www.mirarossa.org/20180224-slaicobas.jpg BERGAMO
CIECA LO SCANDALO
DELLE TRUFFE CONTRO I LAVORATORI ED I LORO DIRITTI SINDACALI, CONTINUA, MENTRE
I DATORI DI LAVORO LAMENTANO CHE MANCANO GIOVANI DISPONIBILI A FARSI MASSACRARE
LAVORANDO 70/80 ORE A SETTIMANA PAGATE 40 SUI CAMION 28-02-2018 –
Bergamo - volantino diffuso per lo sciopero dei lavoratori Koiné Transport (autisti) contro il licenziamento
di 5 colleghi e contro la separazione di ramo d’azienda. Durante l’assemblea i
lavoratori hanno incontrato i legali incaricati della causa collettiva al
Tribunale del Lavoro. http://www.mirarossa.org/20180228-Madone.pdf 21-02-2018 –
comunicato nazionale SLAI COBAS e documento depositato, sulla opposizione
FAO-COBAS depositata al Tribunale di Roma contro la richiesta di archiviazione
della ns denuncia del ccnl. Da notare che la denuncia è stata stranamente
istruita dal PM Dr.ssa Sgrò “contro ignoti” mentre invece porta le precise
indicazioni dei nomi e cognomi dei segretari Cgil.Cisl.Uil.Filt.Fit.Uil
trasporti. 19-02-2018 – ns comunicato nazionale contro le
linee opportuniste nei sindacati “di base” della logistica http://www.mirarossa.org/comunicato-su-linee-opportuniste-nella-logistica.pdf 14-02-2018 -
nota a stampa sul settore calzaturiero della Riviera del Brenta – http://www.mirarossa.org/20180214-NuovaVe.jpg 06-02-2018 - il trasferimento ritorsivo di Zanardo
Servizi Logistici di Ion, nostro militante della Federazione Autisti Operai,
dopo il presidio alla San Benedetto, ora giunge in tribunale, oltre ad altre
due cause, una per infortunio e una per mobbing – http://www.mirarossa.org/20180206-NuovaVe.jpg 02-02-2018 –
comunicato sull’appalto presso Insalata dell’Orto a Mira VE http://www.mirarossa.org/20180202-COMUNICATO-CLS.pdf - nota a stampa http://www.mirarossa.org/20180206-NuovaVe-CLS.jpg 01-02-2018 –
FAO-COBAS interviene sullo “scioglimento della riserva” di Cgil-Cisl-Uil ccnl
trasporto merci http://www.mirarossa.org/20180201-comunicatosulle'consultazioni'.pdf 01-02-2018 –
comunicato FAO-COBAS su sentenza DMI-Trans a Padova comunicato su sentenza
DMI Trans SCIOPERO NAZIONALE FEDERAZIONE AUTISTI OPERAI 21 22
E 23 GENNAIO 2018 23-01-2018 – nota stampa sull’iniziativa alla San
Benedetto di Scorzé VE …22-01-2018 … e ...23_01_2018... - volantino diffuso ai mezzi in transito ed
agli operai della San Benedetto e delle cooperative interne – I DUE CASI DI
GILBERTO E DI ION – http://www.mirarossa.org/VOLANTINO-SCORZE'.pdf 22-23 gennaio
2018 - volantino diffuso di fronte a sede CGIL Bologna da autisti militanti
della Federazione Autisti Operai ...VOLANTINO-AI-CITTADINI-BOLOGNA... - volantino
diffuso di fronte a sede CISL Bergamo da autisti militanti della Federazione
Autisti Operai ...VOLANTINO-AI-CITTADINI-BERGAMO... – VOLANTINO
diffuso a Torino, Madone, Marghera,
Scorzé, San Giorgio di Nogaro, Parma, Tortona, Verona, Brescia, ai
colleghi, da autisti militanti della Federazione Autisti Operai ...VOLANTINO-AI-COLLEGHI... COMUNICATO STAMPA 17-01-2018 SULLO SCIOPERO http://www.mirarossa.org/FAO/20180117-COMUNICATOSTAMPA-.pdf
02 e 03 gennaio 2018 - Il buon anno si vede
come inizia. Strage a Manerbio, altro tamponamento a Viterbo, 3 bambini uccisi
dalla stanchezza dello sfruttamento dell'uomo sull'uomo CGIL-CISL-UIL
BASTA ! UNA TANTUM CHE CORRISPONDE AL 5% DI QUANTO PERDIAMO OGNI ANNO - QUI LA
TORTA annuale del settore ai danni dei lavoratori dell'Inps e dello Stato http://www.mirarossa.org/FAO/torta-.pdf VIDEO
INTERVISTA A PAOLO DORIGO COORDINATORE NAZIONALE FAO-COBAS: SPIEGAZIONE DEL CCNL
TRASPORTO MERCI E LOGISTICA COME MODIFICATO DALLA LOBBY DEL TRASPORTO MERCI IL
3-12-2017 A ROMA https://www.youtube.com/watch?v=BjWLiirfTc4&list=LLenGCTWfmIkI1wmzJkdt4OQ&index=1 E http://www.federazioneautistioperai.org/1/video_carlos_sul_ccnl_1313942.html 17-12-2017 –
a Bologna importante documento emesso dall’incontro congiunto delle segreterie
di Fao-Cobas e SSDB (Romania) TESTO ITALIANO E TESTO RUMENO 13-12-2017 – In crescita il Cobas a Montebelluna -
sciopero dei lavoratori coop Uniqa in AmaCrai.
La proclamazione - il volantino (pdf) (jpg) – nota stampa della Tribuna di Treviso (jpg) 26-12-2017
> LA RACCOMANDATA AR DA INVIARE ALLA PROPRIA AZIENDA < PER
IMPUGNARE L' "ACCORDO" DEL 3-12-2017 http://www.mirarossa.org/FAO/1-LETTERA-ALLE-AZIENDE.pdf 22 E 23 GENNAIO 2018 SCIOPERO
NAZIONALE AUTISTI MEZZI PESANTI E OPERATORI DI MAGAZZINO - AD OGNUNO IL SUO -
GLI AUTISTI ALLA GUIDA, I MAGAZZINIERI AL CARICO SCARICO - NO ALLO SCHIAVISMO -
NO AL CONTRATTO TRUFFA DEL 3 DICEMBRE 2017 MODULO DI IMPUGNAZIONE PROCEDURA DI TRASFERIMENTO
DI RAMO D'AZIENDA KOINE' SPA 30-31 ottobre 2017: le giornate della demagogia. Cgl/Cisl/Uil trasporti
per dar forza alle loro trattative si inventano la pretesa di soppressione
della 14esima e con questo vanno a volantinare in vari presidi in giro per l’Italia. 21-11-2017 – http://www.slaicobas.it - inizia la campagna nazionale di diffusione del documento della Assemblea
Nazionale Operaia del 04-11-2017 per il CENTENARIO DELLA RIVOLUZIONE D’OTTOBRE - 04-11-2017 comunicato
stampa SLAI cobas Pomigliano 4 NOVEMBRE
2017 - CENTENARIO DELLA RIVOLUZIONE DELL’OTTOBRE 1917-2017 RIPRENDIAMO I VALORI
DELLA RIVOLUZIONE D’OTTOBRE 26-10-2017
COMUNICATO FEDERAZIONE AUTISTI OPERAI SULLA SCANDALOSA ADESIONE DI SICOBAS AL
“CONTRATTO AZIENDALE” CGIL-CISL-UIL DELLA AUTAMAROCCHI – COMUNICATO 20-10-2017 - FCA - IL PIANO INDUSTRIALE
NON ESISTE, NE E’’ MAI ESISTITO 18-10-2017 – CAMPIGO (TV) – STABILIMENTO STIGA (GIA’ GGP
ITALIA) – Sciopero ed assemblea autonoma fuori dai cancelli contro il
referendum salvapadroni indetto da Cgil-Cisl-Uil che vorrebbe legalizzare i
part-time verticali a vita ad 8 mesi. Nel frattempo Stiga ha assunto a tempo
indeterminato a 12 mesi nuovo personale già “rodato” con le interinali,
discriminando ulteriormente lavoratrici e lavoratori a part-time verticale. I
lavoratori del Cobas hanno impugnato referendum e contratto aziendale astendosi
dal partecipare alla assemblea confedereale ed alle “votazioni” alle quali
hanno partecipato gli impiegati ed i dirigenti a decidere sulla pelle degli
operai. Il volantino: 14-10-2017 – VENEZIA – SCANDALOSO ABBAGLIO GIURIDICO DI UN
SOSTITUTO PROCURATORE CHE CHIEDE
L’ARCHIVIAZIONE DEL PROCESSO PENALE AL CAPO CHE AGGREDì PATRICIA OPERAIA
NIGERIANA PRESSO “INSALATA DELL’ORTO” IL
5-6-2014 – ORA A PARTE IL RICORSO PER CASSAZIONE CONTRO L’ASSURDA
ARCHIVIAZIONE, SI PROCEDERA’ CON LA CAUSA IN SEDE CIVILE. Del caso si è
interessata la stampa locale - 08-10-2017 – Dopo l’incontro di Bonate del
03-10-2017 buona riuscita dell'incontro sindacale e corso sindacale / parte
prima oggi a Padova. Presenti 45 delegati e lavoratori e lavoratrici
ns.iscritti-e, aderenti a Slaiprolcobas e Federazione Autisti Operai, giunti da
Friuli Venezia Giulia, Veneto, Lombardia, Piemonte. Deludente l'assenza di
tutti i ns.iscritti dell'Emilia Romagna della Federazione Autisti Operai.
Durante il corso si sono delineate spiegate e discusse tutte le modificazioni
adottate dalla borghesia per ridurre il diritto di rappresentanza sindacale e
il diritto sindacale dei lavoratori, si sono delineate spiegate e discusse le
riduzioni operate dai governi nei confronti degli ispettorati del lavoro,
passati da 125 uffici nazionali a 79, si sono delineate, spiegate e discusse le
modificazioni Modificazioni intervenute nelle procedure sindacali
avanti il ministero del lavoro. E' intervenuto anche l'Avv.Zanarello che ha
delineato, spiegato e discusso con i lavoratori le modificazioni ai riti
processuali del lavoro intervenute dal decreto Sacconi 2010 in poi. Durante il
corso, durato complessivamente 3 ore ininterrotte di lezione svolta per 2 ore e
mezza dal ns.coordinatore nazionale e fondatore, Paolo Dorigo, c'è stata una
costante e puntuale attenzione da parte dei delegati e lavoratori presenti. Si
è posta l'attenzione sulle differenze metodologiche, di contenuto ed
ideologiche tra il comportamento dei funzionari sindacali confederali, delle
altre organizzazioni cobas, e nostre, si
è ben ben spiegata la "logica" concertativa e conciliativa delle
procedure e dei funzionari, anche con esempi calzanti e stringenti. Nel
pomeriggio l'assemblea di Slaiprolcobas ha comunque deciso che allo sciopero
del 27 ottobre pur lasciando libertà di parteciparvi ai lavoratori nsiscritti e
come già deciso dalla Federazione Autisti Operai nella segreteria nazionale del
1 ottobre, non vedrà la ns.adesione a causa sia dei contenuti
"proclamatori" ma non concreti che del metodo seguito per proclamare
tali scioperi sia perché se i primi proclamatori non aderiscono al patto di
confindustria del 2014, è anche vero che volevano partecipassero insieme a loro
Usb e Confederazione cobas che lo hanno indegnamente firmato. 05-10-2017 presidio degi operai di Ecodreaming
(Slaiprolcobas e Adlcobas) alla Regione Veneto a Venezia, dove è stato firmato
da Cgil_Fiom e da Slaiprolcobas il verbale di CIGS con Regione e Città
metropolitana. (presenti Paolo Dorigo ed
un lavoratore immigrato in sostituzione del ns Rsa impedito da motivi familiari
alla presenza all’incontro), News 06-10-2017 - COBAS APPALTI FINCANTIERI - Il giorno 22
settembre 2017 a GENOVA nell'ambito di una vertenza per differenze retributive
promossa dalla ns.OS con l'Avv.Zanarello di Padova e l'Avv.Noberasco di Savona,
avente ad oggetto l'appalto MUREX di Genova e Monfalcone, il CTU del Giudice
Bossi ha dichiarato all'esito della perizia grafologica che le ricevute di
pagamento per contanti portate a prova dei pagamenti dalla Murex avevano firme
di una persona diversa dal lavoratore ricorrente. Tutte le altre cause Murex
sono state risolte al Tribunale di Gorizia nel 2015-2016 questa è l'ultima e
riguarda un lavoratore impiegato presso Fincantieri di nazionalità bengalese. 02-10-2017 - AUTOSTRADA
VENEZIA-TRIESTE IL MASSACRO CONTINUA 23-09-2017 Un compagno ns.osservatore, membro
delle segreterie nazionali di SlaiProlCobas e Federazione Autisti Operai, ha
assistito alla “assemblea” dei ceti politici dei sindacati di base in cui la
discussione anziché essere incentrata sui metodi da seguire per l’unità di
classe, si è divisa nelle polemiche sulle date dello sciopero “generale” del 27
ottbre, con Usb o senza Usb, ecc. A
questo punto evidente che “generale” non è, le ns.OS lasciano libertà di
sciopero ai ns.iscritti-e ma senza aderirvi. Come non aderisce a tali scioperi
“generali” lo Slai Cobas di Pomigliano d’Arco che in un comunicato dello stesso
giorno ha denunciato gli accordi Alfa-Fiat di Arese siglati da Massimino
Del’Orfano. COMUNICATO DEL COBAS LAVORATORI TURISMO A VENEZIA FEDERAZIONE
AUTISTI OPERAI IMPUGNA LA CHIUSURA DI COMODO DELLA SEDE KOINE’ DI MADONE, LA
DENUNCIA INVIATA ANCHE ALLE AUTORITA’ COMUNICAZIONE NAZIONALE AI MEDIA DI DIFIDA
ALLE OO.SS. CONFEDERALI – TRATTATIVA CCNL TRASPORTO MERCI SPEDIZIONI E
LOGISTICA – 13-09-2017 SCIOPERO NAZIONALE FEDERAZIONE AUTISTI OPERAI ADERENTE
SLAIPROLCOBAS 03/05-09-2017 - Nonostante i nemici di classe, Paolo Dorigo continua a costruire il
sindacato dei camionisti lavoratori dipendenti, Sciopero nazionale Federazione
Autisti Operai 3, 4 e 5 settembre 2017 - proclamazione e volantino diffuso in
35.000 copie - campagna diffusione su fb ha raggiunto 52.000 colleghi. i
documenti nel sito http://www.federazioneautistioperai.org 5 settembre presidio di fronte al Tribunale di Reggio
nell’Emilia per protestare contro la scandalosa tardività della fissazione
delle cause dei lavoratori della Trasporti Intermodali Europei. Servizio
telegiornale locale http://www.telereggio.it/trasporti-protesta-davanti-al-tribunale-reggiano-video/ 4 settembre a Trezzo sull'Adda
(MI) presidio attuato da circa cinquanta autisti della ns.O.S. provenienti da
Veneto, Lombardia e Piemonte - recensione giornalistica del presidio: http://www.lamartesana.it/index.php/pages/trezzo-autisti-in-sciopero-al-casello-dellautostrada-2249.html - il servizio (alla Cgil !!!) dell’Eco
di Bergamo sullo sciopero a Trezzo La proclamazione dello sciopero del 4-5 settembre 2017 http://www.slaicobasmarghera.org/FAO/FAO-PROCLAMAZIONE-092017-pubblico.pdf 03-09-2017 – A Bonate si è
svolta la prima sessione 2017 del corso di formazione sindacale Fao-Cobas. Il
corso è stato svolto da Paolo Dorigo, presenti oltre ai lavoratori iscritti del
bergamasco, milanese e bresciano, i membri di segreteria nazionale di Veneto,
Piemonte e Lombardia. 27-08-17 – A Verona nord si è svolto il coordinamento nazionale della
Federazione Autisti Operai che ha deciso le forme dello sciopero del 4 e 5
settembre. La riunione è servita a definire le modalità dello sciopero
nazionale del 4 e 5 settembre. Di fatto alla riunione hanno presenziato i
ns.delegati e rappresentanti di Veneto, Friuli, Piemonte, Lombardia ed Emilia
Romagna. Ancora molto da costruire al centro sud. Ratificata l’esclusione della
ns OS di Vadym S. della segreteria nazionale per inadempienza ai suoi obblighi
sindacali . 31-07-2017 Documento di proclamazione della Federazione
Autisti Operai dello sciopero di categoria degli autisti di mezzi pesanti il
3-4-5 settembre 15-07-2017 – Comitato di controllo congiunto SlaiProlCobas –
Federazione Autisti Operai 17-07-2017 - il cobas appalti Fincantieri
sconfigge ancora il gigante con i piedi d'argilla, la Corte d’appello sezione
lavoro di Venezia sanziona pesantemente il ricorso contro una delle sentenze
con cui i lavoratori di Rocx ed Eurotecnica hanno recuperato i propri Tfr. 17-07-2017 – NEWS
FAO-COBAS - Rientrato al lavoro in Comparetto a Casale di Scodosia Lica,
l’autista licenziato per essersi rifiutato un servizio aggiuntivo alla vigilia
di Natale. L’accordo sindacale firmato a Mira nella pausa di due mesi tra
l’inizio e la continuazione del processo ha previsto anche un piccolo
risarcimento e il riconoscimento delle spese legali. 10-07-2017 – NEWS FAO-COBAS - Presidio di 5 ore di fronte
al municipio di Ospedaletto Euganeo (PD) 28/29-06-2017 – il
comunicato stampa per lo sciopero degli autisti FAO-Cobas delle ditte Franchin
di Ospedaletto Euganeo (PD) che spiega la vertenza ed il processo in corso. Gli autisti scioperano il
10 luglio. ·
riconoscimento concordato indennità per notti fuori ·
pagamento integrale trasferte ed indennità di disagio come da CCNL ·
pagamento integrale delle ore straordinarie oltre la 53esima
settimanale Vi diamo ulteriori
3 giorni per darci convocazione sulla stesura di un accordo di queste
caratteristiche suddette. Diversamente apriamo lo stato di agitazione.
Ricordiamo che non avete dato alcuna risposta formale alle richieste economiche
trasmessevi relative al 2016. Al contempo, non abbiamo mai avuto notizia di
consegna da parte Vs.dei dati della media semestrale di impegno lavorativo. Né
tantomeno di effettuazione di riposi compensativi. Pertanto sin da ora Vi
preannunciamo che i lavoratori ns.iscritti autisti 3S Vs,dipendenti, Vi
comunicheranno settimana per settimana, del prossimo od avvenuto superamento
dei limiti contrattuali e di conseguenza si asterranno dal superarli. Rimanendo
a disposizione per un incontro in sede sindacale porgiamo Distinti saluti -
Dorigo Paolo 20-06-2017 - Pomigliano d’Arco (NA) -
Ottimo risultato della Assemblea Operaia di solidarietà con le
operaie Wcl-Fca di Nola. Vi hanno partecipato 24 delegati della Fao-Cobas
e 12 dello SlaiProlCobas. 14-06-2017 –
MONTEBELLUNA (TV) – Importante ed energica
protesta a Montebelluna ove operano oltre 50 operai di una grande cooperativa
di Milano, Uniqa. Sono tutti impegnati in Ama Crai in zona industriale nei
reparti di magazzinaggio e ortofrutta. Lo sciopero (24 ore) dei
ns.iscritti di questa cooperativa (oltre il 40% dei lavoratori) che
contemporaneamente sono ricorsi al Tribunale di Treviso per INTERPOSIZIONE
richiedendo l’assunzione diretta da Ama Crai. 2000 copie di un volantino sono
state distribuite in zona industriale ai colleghi ed ai cittadini. Alla
manifestazione sindacale in zona industriale è seguito il presidio davanti la
stazione FS dalle 8 alle 12,30. Al termine delle manifestazioni i lavoratori
sono andati a Treviso alla redazione della Tribuna di Treviso. 10-06-2017 – “pubblico impiego
in movimento” ? NO GRAZIE. Conosciamo già la minestra e pure diversi tra i
“cuochi”, siamo per la direzione OPERAIA del movimento politico e sindacale. 26-05-2017 - NEWS FAO-COBAS -
incredibile uscita mediatica de "LaNuovaVenezia" che pubblicizza con grande enfasi il segretario
provinciale Filt-Cgil nello "sponsorizzare" che nuovi autisti vengano
a lavorare presso le nuove aziende del gruppo di Roberto Scarpa, che nei giorni
scorsi si è lamentato per il fatto di avere 60 camion fermi con un servizio
giornalistico. Ben faceva nel settembre 2013 il sig.Scarpa a seguire l'invito
della ns.O.S. a trattare un contratto aziendale EQUO e NON SCHIAVISTICO. Tutti
noi autisti di mezzi pesanti conosciamo questa azienda. ... 15-05-2017 - NEWS
FAO-COBAS – Diffidata
AUTOTRASPORTI CORNALI (BG) dal proseguire l'azione mobbizzante portata avanti da mesi contro
il ns.Rsa D.V., il quale vedendosi assegnare ben 2 camion diversi ogni giorno,
secondo l'azienda dovrebbe curarne la pulizia .... nonché si vede leso il
proprio ruolo di sostegno verso un figlio ex legge 104. 10-05-2017
BOLLETTINO OPERAI – COBAS FINCANTIERI MARGHERA – NR 5 – diffuso in 1200 copie -
10-05-2017 – INSICUREZZA SUL LAVORO -
sentenza non ancora defnitiva del Tribunale di -Venezia sezione lavoro
riconosce la responsabilità aziendale nell’appalto cernita pallets in un
investimento con muletto entro la San Benedetto di Scorzé; il grave infortunio
invalidante che ha colpito Gilberto nel dicembre 2009 finalmente giunge verso
la conclusione. Unopol nel frattempo a giugno ha pagato una somma superiore a
60 mila euro per l’infortunio che ha
dato luogo anche a pensione di invalidità. 01-05-2017 ASSEMBLEA NAZIONALE OPERAIA
DEL PRIMO MAGGIO A POMIGLIANO D’ARCO (NA) – RECENTI SENTENZE FAO COBAS MANTOVA – LAVORATORE SENEGALESE - vittoria ma
non reintegra Seye (l’eccesso della sanzione del licenziamento nei limiti della
legge Fornero non determina la reintegra) c/ditta Penitenti MANTOVA (FAO)
licenziamento illegittimo SLAIPROLCOBAS APPALTI FINCANTIERI MARGHERA-LAVORATORE
BENGALESE - vittoria e reintegra operaio bengalese c/ditta di appalti in
Fincantieri a Marghera “Cooperativa servizi” – 25-04-2017 – A MIRA presidio separato
indetto da SLAIPROLCOBAS per la Giornata della Liberazione. La linea operaia
rivendica l’attualità dell’antifascismo, dato che oramai tutte le forze
politiche sono allineate alla linea padronale dettata da marchionne. 25-04-2017
– comunicato “posti di lavoro” su Eni Marghera DICHIARAZIONI CONTRO
LA GUERRA NAZISTA DI TRUMP: 14-04-2017 A proposito
della “rifondazione” proposta da una componente sindacale classista, dello Slai
Cobas 21-04-2017 – La
ns.Os si è attivata verso Ladisadibari e Serist che subrentrano a Camst il 1 maggio
nella gestione delle mense delle caserme del veneziano. Il ns.Cobas unisce 9
lavoratrici su 23 impegnate in 3 caserme. 21-04-2017 – Nel
pieno della crisi del calzaturiero della Riviera, abbiamo appreso che la
agenzia Eurointerim dichiara di cercare almeno 3 lavoratori nelle aziende
calzaturiere della Riviera del Brenta (annunci presso centri per l’impiego
della Riviera) 21-04-2017 – In
crescita i Cobas della coop CLS al Insalata dell’Orto a Mira, e della logistica
in Cab Log a Noale. Solo nell’ultima settimana sono 10 i lavoratori assunti
nella cooperativa subentrata, che si sono staccati da Cgil e sono passati con
la ns.Os già presente con le vertenze della Sirius. 21-04-2017 – La
ns.Os sta verificando la fattibilità o meno dell’impugnazione dei licenziamenti
collettivi costruiti con il voltafaccia di Cgil e Cisl alla Trevisan a Noale.
Qui l’accordo siglato il 7 aprile. 21-04-2017 –
NEWS FAO - CONTRO L’AFFOSSAMENTO DEL DIRITTO. LA FEDERAZIONE AUTISTI OPERAI IN
QUESTI GIORNI HA IMPUGNATO TRE MODIFICHE UNILATERALI AI REGOLAMENTI AZIENDALI E
DISCIPLINARI ALLE DITTE BERTONI (BG), ZANARDO (VE) E KOINE’ (BG). 18-04-2017 –
Incontro presso l’Acrib a Stra con Confindustria e la ditta calzaturiera Ballin
Franco a tutela di una lavoratrice nigeriana lasciata a casa da metà gennaio.
La ns.OS ha contestato la mancata rotazione della cig avviata con Cisl da
gennaio. 15-04-2017 –
NEWS FAO - Rientrato il mobbing ad un ns.iscritto della Topco di Bologna,
riavviato al lavoro normale. Prosegue invece presso varie aziende. In preparazione
uno sciopero nazionale. 12-04-2017 –
NEWS FAO - TRIESTE - Trieste - causa di opposizione a maggior trattenimento da
parte aziendale 12-04-2017 –
NEWS FAO - PADOVA – Sentenza di reintergra al committente 11-04-2017 / 17-04-2017
– DALLA CARTA STAMATA A “CARTA BIANCA” – ABOLIAMO I PADRONI E IL CAPIALISMO E
LO SCHIAVISMO E L’IMPERIALISMO, NON CERTO IL DIRITTO SINDACALE – SE LO DICONO,
E’ PERCHE’ HANNO IL TERRORE DI RESTARE SENZA IL CONTROLLO SINDACALE DELLA MASSA
DEI LAVORATORI E DELLE LAVORATRICI !!! LA DEMAGOGIA
DELLA POLITICA BORGHESE SUL DIRITTO SINDACALE 10-04-2017 La
GEOX Spa ha pagato le retribuzioni dovute in responsabilità solidale verso
cooperative impegnate nei suoi capannoni dal 2005 al 2011, a favore di 4
operai, 3 uomini e una donna, nigeriani, rimasti poi senza lavoro a causa del
sistema para-schiavistico delle false cooperative. Il processo svoltosi a
Treviso è durato 6 anni. Geox ha pagato tra retribuzioni e tassazione, 76 mila
euro. La ns.O.S. esprime soddisfazione. La vertenza non è conclusa, Christy,
reintegrata in una di queste cooperative oramai scomparse, adisce in giudizio
con lo Studio Paladin anche per quanto di sua spettanza per la mancata
reintegra. 03-04-2017 –
NEWS FAO - Presso la DTL di Padova un importante pronunciamento a tutela del
diritto a non essere schiavizzati gli autisti operai, qui il lodo che ha visto
opposto un lavoratori ns.iscritto alla Franchin 28-03-2017
SLAIPROLCOBAS esprime solidarietà agli operai indiani della Maruti condannati
all’ergastolo http://www.slaicobasmarghera.org/20170328-marutisuzuki.pdf 26-03-2017
– buona riuscita dell’attivo Fao-Cobas a Torino – si sono iscritti nuovi
lavoratori. 24-03-2017 –
verso la Segreteria nazionale Fao-Cobas del 2 aprile. DISCRIMINAZIONI
ANTISINDACALI NEL SETTORE TRASPORTO MERCI. STIAMO PREPARANDO
UNA MOBILITAZIONE CON SPUTTANAMENTO NAZIONALE DI QUESTE AZIENDE. QUI I NOMI DI QUESTE AZIENDE DA
CRONACHE DI NAPOLI – 23-03-2017 A POMIGLIANO D’ARCO (NA) – DISCRIMINAZIONE FIAT
CONTRO CARMELA E ANTONIETTA - CLICCA QUI 24-03-2017 – GIUGLIANO (NA) la degenerazione della società,
la miseria, la cultura di violenza, il dominio del capitale e l'abbandono
dell'impegno civile nella società: ecco i prodotti della
"civiltà d'occidente" !!! Nel centenario della Rivoluzione d'Ottobre
è necessario comprendere l'abisso del capitalismo e la necessità di una società
socialista, ordinata, civile, libera da ogni violenza. Per farla, occorre un
Popolo pulito. Non ci sono parole.... (LINK Ansa
http://www.ansa.it/campania/notizie/2017/03/24/tredicenne-violentato-da-11-minorenni_020d482a-9d8b-4874-9fd5-b129f07ebe2b.html ) 21-03-2017
– comunicato SLAIPROLCOBAS Eni Raffineria Marghera: TRE-DUE TUTTO L’ANNO ! http://www.slaicobasmarghera.org/20170321-eni.pdf 22-03-2017
– a Noale (VE) sciopero dei lavoratori di cui Trevisan spa ha richiesto il
licenziamento – il volantino – http://www.slaicobasmarghera.org/TREVISAN-22032017.pdf –
articolo della Nuova Venezia e foto dello sciopero https://www.facebook.com/photo.php?fbid=1336880409690872&set=pcb.1336880469690866&type=3 - La lettera del Sindaco di Noale http://www.slaicobasmarghera.org/SKMBT_C36417032213480.pdf - I
sindacati confederali evidenziano la mancanza di solidarietà da parte degli
altri operai alla Trevisan ma non dicono che questa situazione è stata creata attraverso l'utilizzo
progressivo del confinamento nel reparto "carta-cartone" in via di
ristrutturazione. Il licenziamento collettivo (10 operai di cui 3 ns.iscritti)
è illegittimo certamente, e grave è la situazione se si va formando una
maggioranza silenziosa nelle fabbriche di persone che non pensano altro che ad
obbedire e che preferiscono arruffianarsi il privilegio anziché solidarizzare
tra lavoratori. inoltre nell'articolo che alleghiamo si parla di 10 lavoratori
africani, in effetti sono 8 africani e due italiani tra cui un delegato rsu
della cisl. N.B. Dei 3 delegati Rsu della Cisl ha scioperato solo quello che
sta per essere licenziato !!!. 13-03-2017 - IMPORTANTE VITTORIA
PROCESSUALE DELLA FAO A VENEZIA CON L'AVV.PENALISTA LUCA PIAIA: IL LAVORATORE
AUTISTA DELLA SCARPA TRASPORTI CHE MINACCIO' DI DARSI FUOCO NELL'UFFICIO DELLA
AZIENDA A NOALE, E' STATO ASSOLTO. APPENA A NS.DISPOSIZIONE PUBBLICHEREMO LA
SENTENZA.
Ciò che si sta imponendo unitamente alla chiusura di molte grandi fabbriche è chiaramente un progetto golpista che definire antidemocratico è essere buoni.RACCOMANDATA PER SOSPESI DALL'AZIENDA PER MANCANZA GREEN PASS E/O VACCINAZIONE SE > 50 ANNI - SPEDIRE
DOPO IL 14 OTTOBRE O DOPO LA SOSPENSIONE EX DL 127/2021 E/O DL 1/2022– - PDF -– CLICCA QUI











CLICCA
QUI
CLICCA
QUI
CLICCA
QUI
CLICCA
QUI
CLICCA
QUI
CLICCA
QUI
CLICCA QUI![]()
CLICCA QUI
CLICCA QUI
CLICCA QUI
CLICCA QUI
CLICCA QUI
CLICCA QUI
CLICCA QUI
CLICCA QUI
CLICCA QUI
CLICCA QUI
CLICCA QUI
CLICCA QUI
CLICCA QUI
CLICCA QUI
CLICCA QUI
CLICCA QUI
CLICCA QUI DALLE 6 ALLE 7 E SCIOPERO – ALLA STAZIONE FS E
DAVANTI CROWNE PLAZA DALLE 8 ALLE 11 – “ROTTO IL GHIACCIO”
CLICCA QUI –
la STAMPA – AGGIORNAMENTO CON LA PROPOSTA DI CONFERENZA PUBBLICA A
MESTRE IL 02-10-2020
la cronaca giornalistica –
la sentenza
CLICCA QUI PER IL VOLANTINO –
STAMPA – CLICCA QUI PER BREVE VIDEO MILITANTE



PROCLAMAZIONE CLICCA QUI – VOLANTINO
CLICCA QUI
CLICCA QUI–
la
stampa
CLICCA QUI –
il decreto di archiviazione – la
stampa
CLICCA QUI
PROCLAMAZIONE CLICCA QUI – VOLANTINO
CLICCA QUI
CLICCA QUI

CLICCA
QUI LA NOSTRA POSIZIONE E IL
SUCCESSIVO TESTO
CLICCA
QUI DEL COORDINAMENTO DI LOTTA
LAVORATORI TURISMO 




Federazione Autisti Operai FAOCobas aderente SlaiprolCobas
https://www.slaicobasmarghera.org/20190915.pdf
PROCLAMAZIONE DELLO SCIOPERO
CONVENZIONE
AD EXCLUDENDUM: IMPEDIRE LA PARTECIPAZIONE DEI SINDACATI DI BASE 




03-07-2019- Marghera Ia zona industriale.
Blocchi e code di camion all’ENI.
30-06-2019 – BOLOGNA - AL SEMINARIO DELLA FEDERAZIONE AUTISTI OPERAI – PRESENTATO IL NUOVO
OPUSCOLO “ISTRUZIONI” EDIZIONE 3 (GIA’ DIFFUSA IN 7 ANNI IN OLTRE 60.000 COPIE AGLI
AUTISTI OPERAI). LE SLIDE DELL’INCONTRO:









MODELLO SEGNALAZIONE SINDACALE AUTISTI DI
MEZZI PESANTI SU STRADA (FAO-COBAS) (clicca qui)
MODELLO SEGNALAZIONE SINDACALE
OPERATORI MAGAZZINI (SLAIPROLCOBAS) (clicca qui)
(Nuova Venezia Mestre)
31-05-2019 S.L.A.I. cobas POMIGLIANO - Fiat-FCA-renault-nissan - “ALTRO CHE RILANCIO OCCUPAZIONALE E PRODUTTIVO”
07-05-2019 – BOLLETTINO OPERAIO
COBAS APPALTI FINCANTIERI NR.6 (clicca qui)
Sciopero straordinario
alla SEVEL di Atessa (CH)
L’intervento di Paolo Dorigo di SlaiProlCobas https://youtu.be/Z9rLReiK0AU PRIMO DEI DUE INTERVENTI DI PAOLO DORIGO
ALLA MANIFESTAZIONE ANTIFASCISTA A MIRA DEL 11-5-2019. Dopo l’intervento –
appello all’unità del rappresentante della Camera del Lavoro della Cgil, il compagno
Dorigo ha ulteriormente replicato che con persone come Veltroni che andò a Roma
il 7 aprile 2007 ad inaugurare una sede di casa Pound mentre le “forze
dell’ordine” sgomberavano un Centro restaurato ed occupato dai giovani e dai
compagni del Quadraro a Roma, non ci può essere alcuna unità.





Spett.le L'Insalata dell'orto srl
e p.c. destinatari della presente
scrivo nell'interesse e per delega dei ns.associati occupati presso lo
stabilimento de "Le Giare" e anche nell'interesse e per delega della
ns.OS nella persona del rappresentante legale sig.Dorigo Paolo nonché
nell'interesse e per delega della sig.ra P.O. ns.Rsa.
Abbiamo appreso sarebbe prossimo un cambio dell'appalto affidato non più alle
cooperativa (ultime la CLS soc.coop. e la Ortoservice soc.coop.) dirette dalla Dr.ssa Simonetta Gottardo ma a terza
ditta.
Vi precisiamo che richiediamo da tempo e rinnoviamo la richiesta, della
applicazione del CCNL Alimentari industria e in subordine del CCNLTrasporto
merci spedizioni e logistica.
Vi contestiamo di non averci dato alcuna informazione di quanto succitato,
tenendo anche conto che è stata convocata una riunione per il martedì 22 p.v.
alla quale non siamo stati convocati.
Vi precisiamo di essere OS nazionale federata nazionalmente (da ultimo patto
federativo del 01-05-2018 allegato alla presente) ad OS nazionale SLAI COBAS in
tal senso già riconosciuta da numerose anche recenti sentenze di Cassazione.
Vi richiediamo di essere convocati.
Vi intimiamo di NON pretendere da alcuna sottoscrizione di dimissioni, o di
variazioni contrattuali da alcuna-o delle-dei ns..associate-i e di non escludere
alcun ns.associato-a dal passaggio di personale.
Stante i non buoni rapporti con la ns.OS anche in relazione a processo in corso
di impugnazione di licenziamento ed alla mancanza di trattative con la CLS, non
per nostra volontà, richiediamo che si possa aprire tavolo di trattativa presso
la Prefettura di Venezia o presso la Città Metropolitana di Venezia cui viene
inviata la presente unitamente ad ITL Venezia, INPS Venezia, CGIL-CISL-UIL.
Ogni diritto riservato sia nell'interesse ed a tutela dei ns.associati che
della ns.RSA che della ns.OS.
Distinti saluti
SLAIPROLCOBAS
)
)




)
)
)
23 E 24 DICEMBRE 2018 SCIOPERO AUTISTI MEZZI PESANTI TRASPORTO MERCI
CONTRO LA RIDUZIONE DELLE PAUSE SETTIMANALI PROPOSTA DALLA “COMMISSIONE
EUROPERA”
CONTRO LO SCHIAVISMO DOMINANTE E LA VIOLENZA E BRUTALITA’ DEI RAPPORTI DI
LAVORO
LA PROCLAMAZIONE http://www.slaicobasmarghera.org/FAO-PROCLAMAZIONE-12201…










Volantino
diffuso durante lo sciopero
clicca qui




clicca qui














il volantino
diffuso – intervista su youtube

LA CHAT SU FACEBOOK PER LO SCIOPERO
nr 1 – Sentenza
nr 2 – Sentenza
nr 3
SLAI COBAS A POMIGLIANO DENUNCIA L’ILLEGITTIMITA’
DEI CONTRATTI DI TIPO PRIVATISTICO
http://www.slaicobasmarghera.org/slaiprolcobas/20171229.pdf COMUNICATO
SLAI COBAS
http://www.slaicobasmarghera.org/slaiprolcobas/_20171229_ESPOSTO-DENUNCIA-LOBBY.pdf
COMUNICATO SLAI COBAS E DENUNCIA
http://www.mirarossa.org/comunicatostampaslaicobas-22022018.pdf
COMUNICATO SLAI COBAS E NOSTRA OPPOSIZIONE
volevano archiviare, ci siamo opposti, c'è udienza 16-10-2018 ore 11 a Roma
http://www.mirarossa.org/8158987.pdf
COMUNICATO FEDERAZIONE AUTISTI
OPERAI
COMUNICATO SLAIPROLCOBAS – ARTICOLO TRIBUNA DI TREVISO





federato











http://www.slaicobasmarghera.org/volantonedefinitivo.pdf Video di presentazione della Assemblea
Nazionale Operaia del 04-11-2017 in pubblicazione. Altro video https://youtu.be/Zj_JxvaUDxc
http://www.slaicobasmarghera.org/20171104-comunicato.pdf
http://www.slaicobasmarghera.org/20171104-slaicobas-slaiprolcobas.pdf
http://www.slaicobasmarghera.org/Appello4novembre.pdf
http://www.slaicobasmarghera.org/FAO/20171102-proclamazione.pdf
http://www.slaicobasmarghera.org/FAO/20171026-autamarocchi.pdf
E NOSTRA IMPUGNAZIONE DEL DICEMBRE 2015
http://www.slaicobasmarghera.org/FAO/IMPUGNAZIONEAUTAMAROCCHI.pdf
http://www.slaicobasmarghera.org/20171020-volantino.pdf 

http://www.slaicobasmarghera.org/FAO/20171018-ggp-stiga.pdf
http://m.nuovavenezia.gelocal.it/venezia/cronaca/2017/10/21/news/picchiata-sul-lavoro-niente-causa-1.16015104 

Il volantino
distribuito ai passanti, lavoratori, studenti e turisti. Disinformazione
del servizio della Nuova (qui il ns commento trascurato anche il gg dopo)
http://www.slaicobasmarghera.org/CESSALTOEDINTORNI.pdf
http://www.slaicobasmarghera.org/koine-lettera.pdf





http://www.slaicobasmarghera.org/Ecodibergamo05092017.pdf

http://www.slaicobasmarghera.org/risposta2508asedicenteappello1808.pdf
Clicca
qui
il
bilancio semestrale gennaio/giugno 2017
Clicca qui per il comunicato stampa
Clicca qui per la sentenza di appello A margine di questa notizia, la vittoria di
Pirro della Fincantieri a cui è stato nominato da un anno quale Presidente un
ex direttore dei servizi segreti, la azienda evidentemente segue i movimenti
dei lavoratori di queste ditte e ricorre in appello verso un lavoratore
bengalese che non vive più in Italia e che non frequenta più nessuno dei vecchi
compagni di lavoro e ciò impedisce il deposito del testo di opposizione al loro
ricorso.
Clicca qui per visualizzare il volantino
distribuito - Clicca qui per il servizio fotografico dello
sciopero degli autisti Franchin su facebook -
05-07-2017
La lettera al Governo
Italiano della ACOFOINMENEF sulle torture tecnologiche
e
il j’accuse di 17
associazioni di tutto il mondo contro le armi cosiddette “non letali”
indirizzata ai ministri del G20 di Amburgo.
Clicca
qui per il comunicato – Qui di seguito
il documento di proclamazione Spett.le FRANCHIN TRASPORTI srl - Spett.le
FRANCHIN GROUP srl - Mira, 20-05-2017 - Signori, scrivo la presente
nell'interesse e per delega dei lavoratori ns.iscritti, autisti 3S CCNL
Trasporti merci spedizioni e logistica, Vs.dipendenti. In seguito ad assemblea
generale svoltasi oggi ad Ospedaletto Euganeo, siamo a comunicarVi che la
ns.proposta di contratto aziendale ai sensi dell'art.11 bis CCNL è la seguente:
http://www.mirarossa.org/20170620-comunicatofinale.pdf - La
relazione introduttiva di Mara Malavenda
http://www.mirarossa.org/20170620-relazioneintroduttiva.pdf - il film video assemblea https://youtu.be/fL57oLVykn8
per il
comunicato nel quale si solidarizza con le operaie WCL-Fiat e con i colleghi di
GGP Italy (STIGA) di Castelfranco Veneto – Clicca qui
per l’articolo della Tribuna di Treviso.
QUI La strana
comunicazione della Commissione
Clicca qui
http://www.mirarossa.org/SPC-PROCLAMAZIONE-SOLIDARIETA-20062017-.pdf il comunicato stampa
http://www.mirarossa.org/20170620-comunicatostampa.pdf SPIEGA GLI SCIOPERI DEL 20 GIUGNO E DEL 4 SETTEMBRE - SULLO
SCIOPERO CUB-SGB DEL 16 GIUGNO CUI HANNO POI ADERITO SICOBAS E ADL – da
TRASPORTO EUROPA 01-06-2017: .... " In un orizzonte più ampio, il
sindacato autonomo Federazione Autisti Operai (che non ha aderito alla protesta
dei sindacati confederali del 29 maggio) ha annunciato uno sciopero degli
autisti merci per lunedì 4 settembre 2017. In una nota, la sigla afferma di
avere circa duemila iscritti in alcune centinaia di aziende. Negli ultimi mesi,
la FAO ha attivato alcune cause di lavoro nei confronti di diverse aziende di
autotrasporto contro trasferimenti, demansionamenti e licenziamenti."
- precisiamo che lp sciopero del 16 lo hanno indetto SGB e CUB ma
senza una parola per gli autisti di mezzi pesanti. Allora SICOBAS e ADLCOBAS
hanno rpeso la palla al balzo per fare sciopero nel settore dei corrieri.
Evidente che noi proponiamo di arrivare ad uno scioperone a settembre - c'è il
tempo per prepararlo.
http://mirarossa.org/F20170522-sentenzaMarconSpedizioni-GeneraleServizi.pdf - Sulla vertenza nel 2016
in queste ditte cfr. anche nella sezione comunicati. La sentenza ripresa anche
da "La Nuova Venezia-Mestre" del 23-05-2017.
http://www.mirarossa.org/FAO/ordinanzaTribVerona-30042017-AG-ReniTrasportiCeleri.PDF
http://www.mirarossa.org/FAO/ordinanzaTribVenezia-15052017-EM-ZanardoServiziLogistici.PDF Questa sentenza ripresa anche da
"La Nuova Venezia-Mestre" del 20-05-2017
http://www.mirarossa.org/SLAICOBAS/comunicato-stampa-causa-8-marzo-contro-fiat.PDF
http://www.mirarossa.org/FAO/PattodiPartecipazioneFAO-Cobas_14_05_2017.pdf
http://www.mirarossa.org/bollettino-Cobas-Fink-005.pdf
http://www.slaicobas.it/images/SLAICOBAS/1-MAGGIO-2017-RELAZIONE-MALAVENDA-REPORT-INTERVENTI.pdf
IL VIDEO CLIP DELL’ASSEMBLEA PRODOTTO DALLO SLAI COBAS DI
POMIGLIANO https://youtu.be/oWZE3caWF2U
L’INTERVENTO DI PAOLO DORIGO IN VIDEO https://www.facebook.com/paolo.al.dorigo/videos/1380876831957896/
- 01-05-2017 ASSEMBLEA OPERAIA DI POMIGLIANO COMUNICATO FINALE
http://www.slaicobas.it/images/SLAICOBAS/comunicato-STAMPA-assemblea-1-maggio-2017.pdf
- 01-05-2017 SLAIPROLCOBAS rivendica la centralità della lotta dello
SLAI cobas di Pomigliano fuori e contro gli inciuci e fuori e contro il
Protocollo fascista del 10-1-2014 tra sindacati confederali e Confindustria.
Per questo quest’anno parteciperemo all’iniziativa indetta da SLAI COBAS a
Pomigliano il Primo maggio.
http://www.mirarossa.org/FAO/sentenzaAG-ReniTrasportiCeleri.PDF -
http://www.mirarossa.org/FAO/sentenzaS-Penitenti-05052017-FAO-Cobas.PDF -
http://www.mirarossa.org/SPC/sentenzacontroCooperativaServizi-04052017-APPALTIFINCANTIERIMARGHERA.PDF -
SLAIPROLCOBAS APPALTI FINCANTIERI MONFALCONE – LAVORATORI BENGALESI - vittoria
e pagamento da parte di Fincantieri 4 operai Fincantieri Monfalcone ditta “Smb”
nel frattempo fallita
http://www.mirarossa.org/SPC/sentenze-4-smb-fincantieri-gorizia.PDF
NS.DOCUMENTO PER IL 25 APRILE http://mirarossa.org/25APRILE2017.pdf che spiega perché noi NON stiamo con Di Battista, Cremaschi, Usb,
Fiom ecc ecc
clicca
qui
DICHIARAZIONE PER IL CENTENARIO 1917-2017 DELLA RIVOLUZIONE D’OTTOBRE
Guardare Avanti ! –
Piattaforma comunista
http://www.slaicobasmarghera.org/SLAIPROLCOBAS-scn-14042017.pdf
http://www.mirarossa.org/VerbalediAccordodel07042017-TREVISANSPA.pdf Quanto
è accaduto è dipeso dalla attitudine poco coraggiosa dei lavoratori, che nella
loro maggioranza non hanno contestato la condotta confederale. Quanto è avvenuto
in questo caso a Noale dimostra che esiste la vandea bianca anche nel mondo
sindacalizzato, e che questo elemento è il principale ostacolo alla democrazia
che non può esistere senza la tutela del lavoro. caso Trevisan: a cosa servono
le Rsu confederali ? a licenziare !!! Se i lavoratori hanno paura, muoiono, il
lupo se li mangia.
La "gente normale", nella popolazione ossia molti lavoratori
e lavoratrici, pensano che abbiamo le leggi, che c'è la costituzione, pensano
che si possa saltare sul carro migliore al momento buono. Cazzate. Mica sono scemi i padroni.
A cosa ha portato la politica confederale per 4-5 anni ? a
concentrare i lavoratori più contestatori in un reparto, poi a chiuderlo
licenziare. Ma perché si svegliano all'ultimo
momento ? La televisione ed i telefonini
mediatici rovinano molta gente, perché alla gente piace credere alle fiabe. e
credendo alle fiabe, non si pensa sia necessario organizzarsi ALLA LETTERA in
massa nei Cobas per un reale cambiamento che possa trasformare le cose. Invece è
proprio così. Milioni di persone devono
AUTORGANIZZARSI. Ma possono farlo solo su
principi EGUALITARI e di riconoscimento della IDEOLOGIA della CLASSE OPERAIA e
delle sue LOTTE e STORIA. La gente invece
normalmente pensa che le disgrazie non capitano a loro. Molti
immigrati si sono "italianizzati" e ci cascano. Ma Non è così.
Lavoratori e lavoratrici, dovete prendere ALLA LETTERA
quello che Vi diciamo. Ieri sera abbiamo parlato con un lavoratore Cisl della
Trevisan, che è arrivato tardi.
Non si può pretendere miracoli se si rimane
iscritti a quei sindacati che firmano gli accordi che vuole il padrone.
Loro firmano anche per chi non è iscritto e non si
oppone esplicitamente, figurarsi per quelli che sono iscritti.
Gli RSU a quel punto, servono da FIRMA VALIDA per
tutti. Ed il gioco è fatto. Il caso Trevisan non è molto rilevante ma è
significativo. Il caso del contratto aziendale alla Gev ed alla Favaro è anche
quello dimostrazione che è un tempo di PECORE. Ma noi che ci organizziamo nella lotta pecore non siamo e
siamo stanchi di dover subire il PECORAME. ESSERI
UMANI LA CUI DIGNITA' E' NEGATA DAI VENDUTI. LA CORDA STA PER SPEZZARSI. Il sistema sta per crollare. Ma c'è sempre qualche branco di pecore che ci casca.
Finché non crolla tutto.
QUI I NOMI DI QUESTE AZIENDE
http://www.mirarossa.org/FAO/Antomar-AElA-opposizione.maggiorTrattenimento.PDF
http://www.mirarossa.org/FAO/sentenzaDMI.pdf
http://www.corriere.it/…/mossa-anti-sindacati-5-stelle-via-…
http://www.repubblica.it/…/maurizio_landini_cosi_arretra_l…/
http://www.ilmessaggero.it/…/m5s_lavoro_privilegi_sindacato…
E' OVVIO CHE LA QUESTIONE -NON CITATA- E' LA ABROGAZIONE
DELL'ART.19 - QUELLO CHE NESSUNO DICE E' CHE IL REFERENDUM DEGLI ANNI 90
SULL'ART.19 FU PROPOSTO DA SLAI COBAS MA STRAVOLTO DAL TRUCCO DEL DOPPIO
QUESITO CHE RESE INOPERANTE LA OTTIMA PROPOSTA DELLO SLAI COBAS
E QUESTE COSE FURONO FATTE DA CREMASCHI E FIOM. LA STESSA DEMAGOGIA FALSA
OPPOSIZIONE DEL REFERENDUM DI OGGI DI CGIL
http://www.mirarossa.org/FAO/DC-Franchin-lodo-pubbl.PDF
sullo sciopero del 8 marzo 2017 http://www.slaicobasmarghera.org/8032017.pdf
05-03-2017 Operai militanti di
SLAIPROLCOBAS hanno partecipato a Venezia alla manifestazione di solidarietà
per le popolazioni del Donbass colpite dalle bombe del dittatore Porochenko che
è coperto dalla organizzazione
terroristica internazionale “NATO”
INDIZIONE SCIOPERO A POMIGLIANO E NOLA
08-03-2017 https://www.facebook.com/groups/126415150722561/permalink/1453454398018623/
02-03-2017 Lo SLAIPROLCOBAS ammesso dal Tribunale
penale di Venezia a parte civile nel processo contro Mohammed Alì, imprenditore
degli appalti Fincantieri. https://www.facebook.com/groups/102029753314821/permalink/671988666318924/
28-02-2017 – ENNESIMA DIMOSTRAZIONE DI UNA
CONCEZIONE DISASTROSA CHE NON VIENE A CAMBIARE - ALL’ENI DI MARGHERA LE
COMPONENTI CONFEDERALI SINDACALI DIFENDONO GRAVI ERRORI E RISCHI E PENSANO DI
IGNORARE LA NOSTRA PIU’ RECENTE DENUNCIA – http://www.slaicobasmarghera.org/20170301-raffineria.pdf - NB RISPETTO AL NS COMUNICATO IL TESTO
UILTEC E’ STATO FATTO PROPRIO ANCHE DALLE ALTRE SIGLE CONFEDERALI. –
ALLA FINCANTIERI INVECE AVVIATO UN PIANO
ANTIMAFIA NAZIONALE CHE A QUESTO PUNTO E CON LA NS.CONCLAMATA ASSENZA, E’ UN
MODO DI LEGITTIMARE IL SISTEMA ILLEGALE E CONTRARIO AL DIRITTO, DELLA “PAGA
GLOBALE” E DELLA TIRANNIA SUI LAVORATORI DEGLI APPALTI. (La denuncia della
Corte d’Appello di Trieste è molto più chiara come esplicitazione di cui
riportiamo una relazione di un media locale, http://messaggeroveneto.gelocal.it/udine/cronaca/2017/01/29/news/mafia-e-riciclaggio-inquinano-la-regione-1.14786821
, dell’articolo apparso sulla NuovaVeneziaMestre a proposito del “piano
antinfiltrazione mafiosa” in Fincantieri che arriva dopo la negazione del
diritto sindacale da parte della concertazione Fincantieri-confederali e degli
accordi bidone passati per paura e con il voto di dirigenti ed impiegati che a
ns avviso non dovrebbero poter interferire nella condizione operaia http://nuovavenezia.gelocal.it/venezia/cronaca/2017/02/28/news/intelligence-anti-mafia-alla-fincantieri-1.14958412?ref=search
)
08-03-2017 –DONNE DI GENERE OPERAIO -
POMIGLIANO D’ARCO – EVENTO - https://www.facebook.com/events/614876345377175/
28-02-2017 – comunicato COMITATO MOGLI OPERAI DI
POMIGLIANO per il 8 marzo
02-03-2017 – PASSAGGIO DI APPALTO
LOGISTICA CAB LOG – IL COBAS RIMANE COMPATTO. RIPRESO IL LAVORO CON LA
COOPERATIVA ENTRANTE.
22-02-2017
DIFFIDA DI SLAICOBAS DI NAPOLI A SEDICENTE COORDINATORE NAZIONALE SLAICOBAS http://slaicobasmarghera.org/20170222-slaicobasnapoli.pdf
SVOLTI CON SUCCESSO GLI ATTIVI SINDACALI
REGIONALI FAO-COBAS DI CANOSA DI PUGLIA 28/1 BONATE 5/2 - TORINO RIVALTA 5/2 E
VERONA 12/2 – PROSSIMI APPUNTAMENTI UDINE 4/3 – BONATE 12/3 – VERONA 12/3
20-02-2017 - APPALTO SIRIUS IN CAB LOG. DI FRONTE
ALLA PROSSIMA CONCLUSIONE DEL PROCESSO SULLE DIFFERENZE RETRIBUTIVE ED IL
DEMANSIONAMENTO IN TRIBUNALE A VENEZIA. ANNUNCIATO UN CAMBIO DI APPALTO -
COMUNICAZIONE INVIATA DA SLAI PROL COBAS A FILT-CGIL http://www.slaicobasmarghera.org/comunicazioneCgil-Sirius.pdf
17-02-2017 – 40° anniversario
della cacciata di Lama all’Università di Roma
- SLAI COBAS A POMIGLIANO D’ARCO CONTRO LA
DEPORTAZIONE A CASSINO PER LA AUTORGANIZZAZIONE DEGLI OPERAI https://www.facebook.com/emanuele.slai/posts/10206628396623582
17-02-2017 – 40° anniversario della cacciata
di Lama all’Università di Roma - presidio FAO-COBAS in occasione sciopero
di oggi autisti ditte Franchin e Comparetto davanti la stazione FS di Padova – 3000 volantini diffusi http://www.mirarossa.org/FAO/VOLANTINO-COMPARETTO-FRANCHIN.pdf foto del
presidio https://www.facebook.com/paolo.al.dorigo/posts/1305958956116351
07-02-2017 – FAO-COBAS – per il 17
FEBBRAIO Proclamato sciopero a Casale di Scodosia alla F.LLI COMPARETTO contro
il licenziamento allucinante di Gigi L. corollario di un accanimento
disciplinare antisindacale avviato dal titolare verso i ns.iscritti
dell’appalto Dado di San Martino di Lupari – sempre per il 17 FEBBRAIO
Proclamato sciopero a Ospedaletto Veneto presso le ditte FRANCHIN TRASPORTI e
FRANCHIN GROUP dove i ns.autisti che rivendicano rispetto dell’art.30 CCNL (non
mansioni di facchinaggio) sono in ferie forzate da oltre un mese.
IMPORTANTE DOCUMENTAZIONE DA SLAI COBAS DI
POMIGLIANO (NA). Clicca qui: http://www.slaicobasmarghera.org/20170203-SCPomigliano.pdf
04-02-2017 - FEDERAZIONE AUTISTI OPERAI
ADERENTE SLAIPROLCOBAS – NOTA DEL 3 FEBBRAIO - VITTORIA ! – LE OO.SS.
CONFEDERALI STRETTE DALLA CONTRADDIZIONE DEL CCNL CON MAGGIORE DIVARICAZIONE DI
POSIZIONI DALLE ASSOCIAZIONI DATORIALI, REVOCA I CONTRATTI AZIENDALI DAL 1
MARZO – NOTA E RISVOLTI DELLA QUESTIONE. Clicca qui: http://www.slaicobasmarghera.org/FAOADERENTESPC-03022017.pdf
·
04-02-2017
- La ns.O.S.pubblica il Bilancio del 2016 approvato dal Comitato di controllo congiunto
di SLAIPROLCOBAS e FAO-COBAS nella seduta del 22-01-2016. Clicca qui: http://www.slaicobasmarghera.org/bilancio-2016-slaiprolcobas-faocobas.jpg
·
04-02-2017
– NOTIZIE DAL FRONTE – VERONA GENNAIO 2017 - Ufficio stampa SLAIPROLCOBAS sulla
situazione giudiziaria in generale e sull’ennesimo scandalo nel passaggio di
appalto di POSTEL (gruppo Poste Italiane). Clicca qui http://www.slaicobasmarghera.org/SLAIPROLCOBAS-NOTIZIEDALFRONTE.pdf
·
04-02-2017
- NOTA DEL COORDINATORE NAZIONALE DI SLAIPROLCOBAS SULLA “VICENDA MODENA” –
Clicca qui: http://www.slaicobasmarghera.org/SLAIPROLCOBAS-vicenda-Modena.pdf
·
04-02-2017
– NOTA DEL COORDINATORE NAZIONALE DI SLAIPROLCOBAS SULLA “LISTA DI
CENTRO-SINISTRA” – Clicca qui: http://www.slaicobasmarghera.org/SLAIPROLCOBAS-LISTADICENTROSINISTRA.pdf
·
03-02-2017
– PART TIME VERTICALI DAL CASO GGP ALLA REALTA’ DELLA PRECARIETA’ DI STATO. DA
UN ANNO E MEZZO IN ATTESA DELLA CONVOCAZIONE DELLA COMMISSIONE PARITETICA DI
CONCILIAZIONE DELLA REGIONE !!! ECCO A COSA E’ SERVITO ABOLIRE LE PROVINCE: A
TOGLIERE SPAZI AI SINDACATI. QUI IL DOCUMENTO PRESENTATO ALLA REGIONE CHE ERA
STATO OGGETTO DELLA CONVOCAZIONE PRESSO L’ASSESSORE REGIONALE DONAZZON IL 22
DICEMBRE -poi rientrata per probabili pressioni dall’alto- DEL
NS.RAPPRESENTANTE LEGALE SLAIPROLCOBAS – Clicca qui: http://www.slaicobasmarghera.org/proposta-parttimeverticale-3.pdf
·
02-02-2017
– FEDERAZIONE AUTISTI OPERAI ADERENTE SLAIPROLCOBAS - A proposito degli
incontri in sede sindacale - Clicca qui: http://www.slaicobasmarghera.org/FAOADERENTESPC-Nota02022017.pdf
·
25-01-2017 – NIGERIA - RIPORTIAMO GRAVE SITUAZIONE
IGNORATA DAI MEDIA: #EMERGENCY #Share BUHARI just ordered the arrest of Apostle Johnson Suleman because he
spoke against the killing of Christians in the northern areas of #NIGERIA#Share #Spread #grace #nigeriaSpeakOut #PharaohMustLetThePeopleGo
#WeCantBeSilent https://www.facebook.com/ofmnewyork/videos/1332763113461377/
22-01-2017 – Si è
svolta la sessione del Comitato di Controllo Congiunto SLAIPROLCOBAS –
FAO-COBAS – Prese importanti decisioni. Approvata la richiesta di Federazione
Autisti Operai presa nella conferenza nazionale del 08-12-2016 a Verona Est di
ADESIONE a SLAIPROLCOBAS, Approvato il bilancio 2016. La riunione è stata seguita dalla seduta
della segreteria nazionale di FAO-COBAS presenti 8 membri su 11. Tra le
decisioni prese si conferma la bontà della scelta di recuperare
la vecchia Cooperativa di Marano con il ns.contributo lavorativo ed economico.
Dopo questa riunione si è svolta la segreteria nazionale di FAO-COBAS tra le
decisioni assunte: Innanzitutto circa la situazione di Slai Cobas si rimarca il
rapporto con la sede operaia centrale di Pomigliano. Rispetto alle proposte della conferenza del 8-12-2016 vanno
scritti il modulo di scelta di adesione sindacale da sottoscrivere da parte di
ogni iscritto e ad ogni nuova iscrizione. Si decide infine
di accettare la delibera di Slaiprolcobas che il Comitato di controllo
congiunto Slaiprolcobas-FaoCobas sia organo anche politico-sindacale superiore
decisionale delle due organizzazioni.
Si decide di organizzare una riunione dei
quadri sindacali selezionati tra i delegati rsu-rsa e con la presenza di tutt*
i membri di SN.
·
20-01-2017
– Lo sciopero degli operai GGP ITALY a CAMPIGO e CASTELFRANCO FIN SOTTO LA SEDE
CISL
ggp
italy campigo, h.6-8 del 20-1-2017 - presidio di fronte a sede cisl di
castelfranco veneto, 20-1-2017 – https://www.facebook.com/photo.php?fbid=1279490228763224&set=pcb.1279491478763099&type=3 - Cliccca qui: - figlio di un operaio GGP Italy furante il presidio
di protesta davanti la sede CISL di Castelfranco Veneto. La CISL non ha dato
riscontro alla ns richiesta di incontro. Nella loro sede il 20 gennaio non
c'era alcun rappresentante sindacale, solo operatori del Caf. - Cliccca qui: https://www.facebook.com/photo.php?fbid=234958413625111&set=a.117606598693627.1073741827.100013328619799&type=3
·
19-01-2017
– Viste le partecipazioni, la ns.O.S. dichiara pubblicamente di non avere niente
a che vedere e per scelta, con la formazione “pubblico impiego in movimento…”
·
DAL SITO FEDERAZIONE AUTISTI OPERAI:
Gennaio
2017 - Stevanin - San Bonifacio VR - Licenziamento collettivo illegittimo -
Come era prevedibile la fittizia chiusura di attività della Stevanin
Autotrasporti spa porta al licenziamento dei lavoratori che non hanno accettato
le condizioni offerte dall'Azienda per passare ad azienda collegata. La Fai in
assistenza alla ditta durante le trattative da settembre a dicembre 2016 non ha
prodotto alcuna posizione conciliativa accettabile. Per questo sono impugnati i
licenziamenti.
gennaio 2017 - Beneventi - Sassuolo MO - Mentre
continua il demansionamento discriminatorio si prepara il ricorso in tribunale.
gennaio 2017 - Gruppo Franchin - Ospedaletto
Euganeo - PD - L'Azienda di fronte al rifiuto di un nutrito gruppo di
lavoratori ns.iscritti, alle operazioni di "facchinaggio", li pone in
ferie per due settimane e chiede la riapertura delle trattative.
gennaio 2017 - Bommartini - Soave VR - I
lavoratori di FAO-COBAS chiedono il rispetto del pagamento degli stipendi o
sarà ancora lotta.
gennaio 2017 - Mantova - allucinante licenziamento
di un autista senegalese alla ditta Penitenti, che lo ha così assurdamente
sanzionato per aver posteggiato in un terrapieno durante un pesante acquazzone
a dicembre, il che aveva provocato spese per poter far spostare il mezzo alla
ripartenza. L'impugnazione è in corso.
gennaio 2017 - Udine - Continuano le adesioni di
lavoratori del gruppo Chiarcosso alla ns.O.S.
gennaio 2017 - Casale di Scodosia PD - Attività
discriminatorie poste in essere dalla F.lli Comparetto. I lavoratori ns.associati
si preparano allo sciopero.
gennaio 2017 - Venezia - Iniziato il processo di
impugnazione del licenziamento di un autista Generale Servizi di Marcon che non
ha accettato di passare alla Marcon Spedizioni senza il rispetto delle nostre
richieste.
gennaio 2017 - Verona - Siamo in attesa del
deposito della sentenza relativa ad un importante processo l'impugnazione del
licenziamento di un autista italiano della Reni Trasporti Celeri ns.iscritto e
in precedenza delegato Filt-Cgil.
gennaio 2017 - Venezia – Siamo in attesa del
deposito della sentenza relativa all'impugnazione del licenziamento di un
autista arabo della Zanardo, processo conclusosi a ottobre 2016.
gennaio 2017 - Italtrans Melfi PZ - Da varie
settimane provocatorie messe a riposo forzato di lunedì al ns.Rsa e ad altri
colleghi.
gennaio 2017 - Italtir e Italcatransport TO - In
conciliazione un'altra posizione di un lavoratore che non aveva ricevuto il Tfr.
gennaio 2017 - Favaro Servizi - Da varie settimane
l'Azienda invita a firmare il contratto aziendale scandaloso siglato da Cgil
altrimenti chi non lo sottoscrive viene messo a "pane ed acqua",
demansionato, ecc. In alcuni casi le minacce hanno avuto successo.
gennaio 2017 - Trasporti Intermodali Europei - RE
- AL - L'Azienda usa la carta delle contestazioni disciplinari a raffica, i
lavoratori impugnano ancora le norme discriminatorie verso chi non sottoscrive
il contratto aziendale.
·
09-01-2017
– proclamato sciopero alla GGP ITALY per il 20 gennaio 2017 – Clicca qui
·
IL
VOLANTONE DIFFUSO IN ECO-RICICLI VERITAS VENEZIA DI DENUNCIA DELL’ACCORDO
AZIENDALE DA NOI IMPUGNATO E CHE ECO-RICICLI VERITAS NON VUOLE DISCUTERE CON
NOI. GIA’ DUE VOLTE E’ ANDATA BUCA L’APPROVAZIONE Clicca qui
·
CCNL BIDONE METALMECCANICI:
18-20-12-2016 A LIVELLO NAZIONALE MENO DEL 50% DI VOTI SUL NUMERO DEGLI AVENTI
DIRITTO. LA PARTECIPAZIONE AL VOTO DA PARTE DEI “NO”HA GENERATO LA VALIDITA’
FORMALE DELLA CONSULTAZIONE, CHE COMUNQUE NON HA ALCUN VALORE PERCHE’ ASSEMBLEE
E CONSULTAZIONI SONO STATE PRECLUSE ALLE OO.SS. NON FIRMATARIE DEL PROTOCOLLO
DI CONFINDUSTRIA DEL 10-1-2014. - 26-11-2016 / 07-12-2016 / METALMECCANICI: LA
FIOM DAL RIFIUTO AL PROTOCOLLO DI CONFINDUSTRIA DEL 10-1-2014 E’ PASSATA
ALL’IPOTESI DI CONTRATTO METALMECCANICI CON LA ANTICOSTITUZIONALE
LEGITTIMAZIONE DELLA ESCLUSIONE DELLE ORGANIZZAZIONI NON FIRMATARIE DEL
PROTOCOLLO STESSO. OPERAI METALMECCANICI NON PARTECIPIAMO O VOTIAMO CONTRO
L’IPOTESI CONTRATTUALE ALLE “CONSULTAZIONI CERTIFICATE” DEL 19-20-21 DICEMBRE
- QUI LA LETTERA DI IMPUGNAZIONE DELLA
NS.O.S. SPEDITA AI FIRMATARI: http://www.slaicobasmarghera.org/20161207-impugnazione.pdf
·
ABBIAMO PARTECIPATO A PIENO TITOLO ALLA
ASSEMBLEA NAZIONALE OPERAIA A POMIGLIANO DEL 17-9-2016: https://youtu.be/IaV4oCxG-tE >>>PER
IL NOSTRO VIDEO SCARICA QUI L’MP4<<<
-----------------------------------------------------------------------------------------------------------------![]()
NEWS DELLA FEDERAZIONE AUTISTI OPERAI sett-ott 2016 (clicca sulla scritta)
NOTIZIARIO di alcune delle nostre iniziative
SLAIPROLCOBAS di settembre ed ottobre 2016 non altrimenti pubblicate
13-10-2016
– La ns.O.S. ha denunciato e avviato vertenza verso CAMST, già irriducibilmente
ostile alla ns.presenza sindacale, per il demansionamento di K., una
ns.iscritta, immigrata e cittadina italiana, che nonostante la presenza di
altre colleghe dello stesso livello, anche ns.iscritte, è costretta dal
caposervizio ad un servizio attuato senza rotazione, nella pulizia della mensa
alla caserma Matter di Mestre.
ottobre 2016 – si sono
svolte riunioni sindacali dei nuovi Cobas costituiti questo mese,le donne
lavoratrici della CSSA in servizio alla Asl 13, e gli operai della logistica di
Montebelluna della cooperativa Uniqa. Si è svolta riunione del Cobas
Eco-Ricicli Veritas sul contratto azienda Eco-Ricicli Veritas. La ns.O.S. si
esprime concordemente ai comitati per il NO all’inceneritore voluto in IIa zona
industriale da Veritas.
ottobre
2016 – presso la Fiorital di Venezia, si sono sottoscritti verbali di
riconoscimento del Tfr di una cooperativa oramai fallita, per alcuni lavoratori
neo-iscritti alla ns.O.S., che sono stati internalizzati nel 2013.
ottobre 2016 continua la sequela di contestazioni
disciplinari ai lavoratori Sirius di Noale che sono in vertenza con la
cooperativa per demansionamento e differenze retributive
ottobre 2016 impugnati i licenziamenti illegittimi ed
abusanti di un operaio bengalese di Fincantieri a Marghera (Entalpia MG) a
lungo bloccato dalle conseguenze di un infortunio sul lavoro, e di un vigilante
disarmato, che per diversi anni ha lavorato alle dipendenze di una ditta che
applica il contratto nazionale capestro firmato a Bologna 2 anni fa da
Cgil-Cisl-Uil (circa 5 euro l’ora), licenziato da ISI Group mentre era in
vertenza per differenze retributive
27-09-2016
– nostro intervento ha portato al rientro al lavoro di un giovane operaio
immigrato in una azienda metalmeccanica della provincia di Vicenza, dopo un
allontanamento “brusco” che era avvenuto nei giorni scorsi.
settembre 2016 – ottenuta cifra risarcitoria di 6000 euro da
un operaio italiano che aveva lavorato 2 anni in Fincantieri a Marghera per una
ditta di appalto, in causa per differenze retributive con una azienda della
provincia di Rovigo.
settembre
2016 – rigettate fermamente dalla ns.O.S. le contestazioni disciplinari verso
due lavoratori della Murex ed uno della Adrimar, ditte di appalto di
Fincantieri a Monfalcone
25-09-2016 ripreso al lavoro dopo il nostro intervento un
operaio metalmeccanico immigrato presso una azienda di forni industriali della
provincia di Treviso, che opera come dipendente di una srl
23-09-2016
richiesta ispettiva al Ministero del Lavoro di Venezia per una azienda del
Porto, Vecont, in relazione alle ferie forzate di un lavoratore ns.iscritto.
Complessivamente la richiesta è di 4.450 euro.
agosto
2016 – Mira-VE - Mentre un lavoratore postino di una ditta di recapiti privati,
EVO service, è in causa per contestare il sistema retributivo e di lavoro
dell’azienda, la stessa cede il contratto a nuova ditta, EVO Recapiti.
Impugnato l’atto, il lavoratore continua ad operare in condizioni di lavoro e retributive
inaccettabili, rese possibili dalla “liberalizzazione” attuata dai governi
contrari al diritto di tutela dei lavoratori.
dicembre 2015 – giugno 2016 – A Brescia in
Tribunale del lavoro conciliata la posizione di un operaio pakistano che con il
nostro supporto e difesa legale aveva
denunciato il rapporto di lavoro con una cooperativa che di fatto gestiva
interamente una fabbrica metalmeccanica a Rovato. Il lavoratore ha avuto 12
mila euro transattivi, e ora sta
lavorando presso un'altra azienda logistica
RELAZIONE STATISTICA
COORDINAMENTO PROVINCIALE DI VENEZIA 16-09-2016 ![]()
17 settembre 2016 Assemblea Nazionale Operaia di SLAI COBAS a
Pomigliano d’Arco (NA) QUI LA RIPRODUZIONE
DEI VIDEO AMATORIALI FATTI DAI DELEGATI Rsa OPERAI di Slaiprolcobas e
Federazione Autisti Operai scesi a Pomigliano durante lo sciopero per i diritti
sindacali http://www.slaicobasmarghera.org/20160917.html
Ringraziamo Mi manda Rai Tre che
ha denunciato un falso sindacalista estorsore che operava a Pizzo Calabro (VV) utilizzando
senza alcuna autorizzazione il nome SLAI COBAS Marittimi. Durante la
trasmissione della sera del 13-09-2016 la compagna Mara Malavenda ha ben
promesso denuncia senza alcuno sconto a questo farabutto ed ha potuto ben
difendere il nostro nome. NELLA NS.Organizzazione Sindacale si espellono
persone PER MOLTO MENO.
17 settembre 2016 – Riportiamo la democrazia e la
costituzione nei luoghi di lavoro
http://www.slaicobas.it/images/SLAICOBAS/Comunicato-stampa-assemblea-pomigliano-17-settembre-2016.pdf
- IL VOLANTINO PER
LO SCIOPERO –
http://www.slaicobasmarghera.org/VOLANTINO161718092016.pdf Comunicato 16-09-2016 Fao-Cobas Federazione
Autisti Operai http://www.mirarossa.org/FAO/20160-16-comunicato.pdf
17
settembre 2016 – Ciò che sta avvenendo nella politica governativa con
l'appoggio dei confederali http://www.slaicobas.it/images/SLAICOBAS/ESUBERI-NEL-COMPARTO-INDUSTRIALE-E-NEL-PUBBLICO-IMPIEGO-6-SETTEMBRE-2016.pdf
17 settembre 2016 -. Comunicato SLAI COBAS
del 30 giugno 2016 http://www.slaicobasmarghera.org/20160630-SC.pdf
12-09-2016 - IL NOSTRO
BILANCIO ECONOMICO DEL I°SEMESTRE: http://www.slaicobasmarghera.org/CONTABILITA'-SPC-FAO-I-SEMESTRE-2016.pdf
06 settembre 2016 – Dichiarazione per lo sciopero
del 16-17-18 settembre (Fao-Cobas e Slaiprolcobas) http://www.slaicobasmarghera.org/DICHIARAZIONE.pdf
05 settembre 2016 -Federazione
Autisti Operai – SLAIPROLCOBAS - E’
stato già deciso lo sciopero per 16-17-18 settembre in difesa dei diritti
sindacali in varie aziende ove questi sono lesi dai datori di lavoro. La
ns.Segreteria nazionale (ossia i coordinamenti nazionali delle due OS congiunti) produrrà un
comunicato pubblico entro domani 6 settembre 2016. Sono stati intanto già
proclamati in queste date per ITALTRANS e per
Favaro Servizi di Riese Pio X (TV), per Eco-Ricicli Veritas a Marghera e per Sirius di Noale. Per
tutte le aziende ove sono presenti iscritti e/o Cobas organizzati da FAO-Cobas e
da
SLAIPROLCOBAS lo sciopero sarà proclamato per le stesse date come Sciopero di
Solidarietà.
04-09-2016 – La Federazione Autisti
Operai ha svolto la sua riunione di segreteria nazionale a Milano. Precisati i
termini per lo sciopero del 16-18 settembre, aperta sede Fao-Cobas a Bologna.
Tra il 09 settembre
ed il 13 settembre scorsi sono stati ESPULSI dalla ns.O.S. SLAIPROLCOBAS due
lavoratori bengalesi, un lavoratore, M.H. della ditta Artema in Fincantieri a
Marghera, sceso in vertenza a dicembre 2015 per illegittimo licenziamento
verbale, il quale in prossimità del processo ha revocato l’incarico al
ns.legale affidatogli nel processo di impugnazione da lui stesso richiesto e da
noi sostenuto in cambio della riassunzione in Fincantieri a Genova, nonché
R.S., accusato dalla magistratura per coinvolgimento nello scandalo Isolfin di
Ancona, che si era riuscito ad iscriversi alla ns.O.S. all’inizio di agosto
dopo essere stato sospeso dalla ditta, senza dircila verità a sua conoscenza.
La ns.O.S. mantiene la tutela invece degli altri lavoratori sospesi. Le due
decisioni sono state concordate con i responsabili bengalesi della ns.O.S. ai
diversi livelli intervenuti nelle due vicende. CONTINUA COSI’ la nostra
tradizione di tenere pulito il nostro Sindacato da opportunisti e fasulli, dopo
le espulsioni note avvenute da parte della Federazione Autisti Operai nel 2014
e 2009.
13-08-2016 - Fincantieri Ancona –
indagini in corso su subappalti Isolfin – clicca sul link per il
ns.comunicato http://www.slaicobasmarghera.org/COMUNICATO-STAMPA-13082016.pdf - articolo de Il
Gazzettino del 19-07-2016 http://www.slaicobasmarghera.org/20160719-Gazzettino-integrativo-Fincantieri.pdf
28-07-2016 – FINCANTIERI – LA ILLEGITTIMITA’ ED
ANTICOSTITUZIONALITA’ DI MODIFICARE NORMATIVA DEL LAVORO E RETRIBUZIONI SENZA
IL CONSENSO DEL 50%+1 DEI DIRETTI INTERESSATI CONTINUA. LA SAGA DEI CONTRATTI AZIENDALI BIDONE CONTINUA. ANALISI DEL
REFERENDUM IN FINCANTIERI. LA MINORANZA DEI CONFEDERALI IMPONE IL CONTRATTO DEI
PADRONI VEDERE PER CREDERE – LA NOSTRA ANALISI DEI DATI DEL “REFERENDUM”
FINCANTIERI (ATTENZIONE LA COLONNA DEI DATI “DIPENDENTI” CONTIENE I DATI
AGGIORNATI ALLA VISURA CAMERALE AL 28-07-2016. http://www.slaicobasmarghera.org/20160729-slaiprolcobas-su-referendumFincantieri.pdf
NEWS FEDERAZIONE AUTISTI OPERAI
25-07-2016
-GEV - PARMA INTERPORTO - IL COBAS FAO OGGI IN SCIOPERO CON UNA
RAPPRESENTATIVITA' MINORE (16%) MA CON LE IDEE CHIARE: COLORO CHE HANNO FIRMATO
PER PAURA UN CONTRATTO DANNOSO NON FERMANO LA NOSTRA LOTTA. Fallito il
tentativo di mediazione anche nell’ultimo incontro tenutosi durante lo sciopero
con i ns.coordinatori nazionale e regionale ed i ns Rsa. L’Azienda di fatto
obbedisce ad ordini superiori che hanno impedito di modificare ed emendare
anche formalmente l’accordo Cgil del 5 luglio 2016. L’intesa era stata
raggiunta di fatto ma volevano rimanesse nascosta ad un documento “aggiuntivo”.
Cosa che formalmente non era corretta e che non abbiamo potuto accettare. 22 luglio 2016 - https://t.co/lu9DvyKRSN (VIDEO
Rete Veneta Venezia) – Volantino distribuito a Rialto http://www.slaicobasmarghera.org/Volantino-22072016-web.pdf
22 luglio
2016 - FEDERAZIONE AUTISTI OPERAI SOLIDALE CON GLI OPERAI MAGAZZINI GRUPPO
ITALTRANS IN LOTTA http://www.slaicobasmarghera.org/solidarietagrippoItaltrans.pdf
22 luglio 2016 - Sciopero dei
lavoratori della coop.Sirius presso CAB Log di Noale e delle lavoratrici e
lavoratori della Camst presso le mense delle caserme Sant’Andrea, Matter e
Bafile dell’Esercito. Sit in a Venezia il venerdì mattina 22 luglio.
20 luglio 2016 - Dopo le solite ridicole
dichiarazioni del sedicente “Comitato di solidarietà”, che alla fin fine è una
filiazione confederale “di sinistra” in quel di Venezia, sinistra veneziana a direzione borghese della cui capacità di
critica-autocritica-trasformazione non nutriamo nessuna speranza, la chiarezza
agli operai Fincantieri è stata portata questa mattina con la distribuzione del
Bollettino 4 del Cobas Fincantieri. Il centro della questione però non è stato
dato alla analisi pur necessaria dell’ultima “prodezza” l’integrativo
Fincantieri, ma è stato posto al modello FCA ed all’unica opposizione
possibile. Con gli operai si è apertamente discusso che l’unica soluzione è
l’abbandono in massa dei sindacati confederali che ormai firmano tutto ciò che
il padrone vuole, e la costruzione dal basso del Sindacato, attraverso il
Comitato di Base (CoBas). Qui il bollettino diffuso in 1200 copie.
18 luglio 2016 – La opposizione di
SLAIPROLCOBAS al contratto aziendale integrativo Fincantieri. Il ns.comunicato – la bozza del contratto
18 luglio 2016 – Tribunale di Rovigo: Lavoratrice
metalmeccanica di cooperativa di appalti ns.iscritta viene reintegrata e
riconosciuto il rapporto di lavoro in capo alla ditta committente di
Ospedaletto Euganeo (PD) - La sentenza
Stati di agitazione in corso SLAIPROLCOBAS a Venezia:
ns.iscritti ECO-RICICLI VERITAS Malcontenta VE (contratto aziendale non
condiviso) – CAMST presso caserme di Venezia (trasferimento illegittimo di una
delegata, problematiche di ferie e permessi, mancata disponibilità aziendale a
trattative, sciopero 22 e 24 luglio) – SIRIUS presso CAB LOG (mancato accordo
per differenze retributive, processo in partenza il 22 luglio, discriminazioni,
sciopero 22 luglio)
05-07-2016
Comunicato bilingue italiano-bengalese della comunità bengalese di
SLAIPROLCOBAS sulla strage di Dakha. Clicca qui
03-07-2016 – Ottimo svolgimento domenica 3 luglio a
Padova del SEMINARIO DI STUDIO SULL'OFFENSIVA PADRONALE ALLA COSTITUZIONE ED AI
DIRITTI SINDACALI E SULLE COMPLICITA' DEI SINDACATI CONFEDERALI tenuto dalle
organizzazioni SLAIPROLCOBAS e FAO-COBAS, vi hanno partecipato 50 delegati di
diverse regioni, vi è stata anche la presenza di due nostri avvocati tra i
relatori.
21-06-2016 –
COBAS ECO-RICICLI VERITAS MALCONTENTA (VE) – Il volantino in distribuzione
contro l’ennesima manovra di abbassamento dei salari e di aumento dell’orario
di lavoro, rivendicando la applicazione del corretto contratto nazionale
Federambiente che Cgil-Cisl-Uil-Fiadel sin dal 2009 rinviano firmando contratti
aziendali assolutamente peggiorativi e non di tutela dei lavoratori, in cui un
dipendente senza carichi familiari e pure turnista porta a casa 1.150 euro
netti.
Clicca qui per
visualizzare la dichiarazione della ns.O.S. di apertura dello stato di
agitazione.
25-05-2016 –
COBAS APPALTI FINCANTIERI - LA CORTE D’APPELLO DI VENEZIA BOCCIA DUE SENTENZE
FAVOREVOLI AD UNA DITTA DI APPALTO IN FINCANTIERI DI MARGHERA. ORDINATO IL
REINTEGRO DI UN OPERAIO BENGALESE LICENZIATO DOPO UN INFORTUNIO MENTRE ERA
ASSUNTO COME “APPRENDISTA”. IL SUCCESSO GRAZIE ALLA DETERMINAZIONE
DELL’AVV.PABLO BOTTEGA CHE HA
PATROCINATO DECINE DI AZIONI LEGALI DEL COBAS APPALTI FINCANTIERI. Clicca qui per visualizzare la sentenza
21-05-2016 A PROPOSITO DI “NO AUSTERITY”- di
Sebastiano Pira Slai Cobas Trentino clicca qui
23-05-2016 Nel merito delle cosiddette "riforme costituzionali"
la ns.O.S. è totalmente contraria alle scelte del governo Renzi e aderisce alla
proposta di legge ANPI. http://www.anpi.it/articoli/1546/referendum-su-riforme-costituzionali-e-italicum
10-05-2016 IL GOVERNO
VA IN DIREZIONE CONTRARIA AL DIRITTO DEL LAVORO !!! L'INFAMIA PROGETTUALE DEL
NUOVO D.E.F. 2016 come denunciato da SLAI COBAS Nazionale. clicca qui
NEWS FEDERAZIONE AUTISTI OPERAI - 23-05-2016 LANCIATA OGGI LA CAMPAGNA
NAZIONALE DI VERTENZE PER IL LAVORO DI CARICO E SCARICO, NON DOVUTO E NON
RETRIBUITO: clicca qui
23-05-2016 - La ns.O.S. nelle trattative in corso ribadisce che non
deroga e che rappresentando il nuovo livello che cresce, della coscienza ed
autorganizzazione sindacale dei lavoratori del settore, nel denunciare lo
sfracellamento del diritto in corso da parte di moltissime "aziende di
comodo", verifica abbastanza spesso la inadempienza degli organi
preposti, ché del resto sorge anche da precise limitazioni POLITICHE volute da
governi e parlamenti delegittimati e sempre più confacenti alla "spartizione
della torta".
23-05-2016 – NEWS
FAO-COBAS - PARMA - La ns.decisione di interrompere la trattativa con GEV sul
contratto aziendale, si va all'assemblea dei lavoratori. Qui il testo:http://www.mirarossa.org/20160523-Gev.pdf - MOTTA DI LIVENZA (TV) - Di fronte all'emendamento da parte dei
lavoratori in assemblea, della ipotesi di accordo siglata alla De Girolami,
l'azienda è in procinto di comunicare la cessazione della trattativa, ora la
questione principale, come in diverse aziende, è il rispetto del Ccnl e la
questione del carico-scarico. CALCINATE (BG) - La ns.comunicazione alla
Italtrans di fronte alla sospensione disciplinare di un autista. Qui il
testo: http://www.mirarossa.org/20160521-Italtrans.pdf
09-05-2016 - Cobas
Sirius presso Cab Log. Fallita l’assemblea sociale della coop Sirius di sabato
7, ove, in un clima fortemente teso e alterato da parte dei responsabili, gli
aderenti alla ns.O.S. ed alla SGB per l’appalto di Landriano (Lodi) hanno
contestato lo stato di crisi. Le cause promosse per differenze retributive e
demansionamento dalla ns.O.S. iniziano a giugno, mentre ora è l’SGB ad
annunciare denuncia e cause analoghe. Si noti che come in passato la Sirius ha
impedito di partecipare alla ns.O.S., sabato 7 è stato impedito di entrare
all’assemblea, al rappresentante SGB di Lodi. Cfr. la Piattaforma sindacale SLAIPROLCOBAS fatta propria anche da
SGB di Lodi, per la Sirius.
09-05-2016
- Cobas
GGP Italy Report dalle assemblee del 15 aprile e 29 aprile a Castelfranco Veneto
(TV). Il 15 aprile i confederali compresa la Fiom, con il nuovo segretario di
Castelfranco subentrato a Bullo (firmatario dei vari accordi di flessibilità e
part time verticali di 7 mesi insieme a Bianchin Cisl-Fit e alla Uilm), hanno
svolto una assemblea molto partecipata. Dopo il solito avvio, l’assemblea è
stata presa di petto dai lavoratori, uno dei quali, senegalese e già
reintegrato dopo un processo, ha messo in serissima difficoltà i relatori,
chiudendosi di fatto l’assemblea senza altre decisioni. Il 20 aprile poi allo
sciopero della Fiom, tutti i lavoratori aderenti al Cobas hanno invece
lavorato, restituendo la cortesia alla Cgil che aveva sempre fatto lavorare i
propri iscritti negli scioperi (4 svolti a partire dal maggio 2015) convocati dalla
ns.O.S. Cfr. la Piattaforma sindacale di SLAIPROLCOBAS per la GGP Italy.
30-04-2016 A
POMIGLIANO LO SLAI COBAS FA SCRICCHIOLARE IL PROTOCOLLO PROTOFASCISTA DEI
DIRIGENTI CONFEDERALI DEL 10 GENNAIO 2014. Da noi spedito anche a
Fincantieri spa – CLICCA QUI

Breve report
La giornata
del 1 maggio è stata segnata dal maltempo, con pioggia pesante fino a fine
mattinata.
A Padova,
la manifestazione confederale è stata sospesa.
Nel
veneziano, la Cgil aveva in programma una sola manifestazione-comizio con palco
di fronte al muncipio, proprio a Mira, cui hanno partecipato nemmeno 30
persone, conclusasi già alle 11 di mattina !!!!
A Mira
però, Slaiprolcobas ha organizzato una giornata di presenza militante e di
socializzazione popolare in Piazza San Nicolò,
completamente imbandierata dai drappi rossi di Slaiprolcobas e di Federazione
Autisti Operai, insieme ad una bandiera di Slai Cobas, il sindacato che sta
sconfiggendo passo passo la FCA-Fiat sui diritti sindacali con ben 3 successi
in Cassazione in 12 mesi (cfr www.slaicobas.it) e dove sotto la pioggia è stata allestita la
manifestazione, si è mangiato insieme, si sono distribuiti volantini con la
proposta di programma di emancipazione popolare, e si è potuto partecipare al
concerto della band militante “La luna e il falò”, fortemente partecipato e
vivace. Hanno partecipato complessivamente oltre 60 lavoratori e lavoratrici
(italiani, marocchini, rumeni, moldavi, bengalesi, albanesi, africani, di
Slaiprolcobas e Federazione Autisti Operai, e decine e decine di cittadini che
hanno assistito allo spettacolo, tra cui alcuni compagni dell’ANPI di Mira.
Purtroppo il maltempo ha di molto limitato la presenza degli iscritti, in parte
giunti anche da Udine, Castelfranco, Padova. Al centro delle discussioni la
questione dei diritti sindacali e del supersfruttamento nel settore dei
trasporti. Ma soprattutto è stata la Pasqua ortodossa a tenere a casa decine e
decine di lavoratori serbi, albanesi, rumeni e moldavi di questa religione.
Tuttavia anche alcuni di loro hanno invece partecipato sia all’organizzazione
che alla manifestazione.
27-04-2016 – NOGAROLE ROCCA (VR) - Si svolgerà domani mattina il
tentativo di conciliazione richiesto da Bencarni Spa per un lavoratore da oltre
due anni impiegato a tempo indeterminato (ma inizialmente a tempo determinato)
nella nota azienda di Nogarole Rocca. La richiesta è stata fatta dall’Azienda
con una motivazione estremamente “tirata” e cioè che il lavoratore si oppone
alle arbitrarie riduzioni di lavoro giornalmente ed improvvisamente decise
dall’azienda, la quale avrebbe invece la necessità della maggior flessibilità
possibile. L’Azienda, che produce alimentari, non applica il CCNL industria
alimentare, ma un ccnl del commercio. Nel merito, questa mattina è stato
distribuito l’allegato volantino ai lavoratori che iniziano alle 3 di mattina
il loro turno. CLICCA QUI PER VISUALIZZARE IL
VOLANTINO

La ns.O.S. è CONTRARIA al Paese delle “deroghe” voluto dai vari Sacconi,
Monti, Letta e Renzi. Vogliamo diritto ed abolizione dei falsi ccnl di comodo.
Stiamo denunciando in questa fase anche cooperative ed aziende che applicano il
5° livello ai lavoratori dipendenti di mezzi pesanti > le 7,5 T. Vedremo
come funzionano i servizi ispettivi del MDL dopo i "Jobs Act" ....
!!!!! A pochi mesi dal referendum
sull’assassinio della Costituzione voluto dalla classe politica nei giorni
scorsi con la “riforma del Senato”, Invitiamo tutti alla lotta ed
all’autorganizzazione attraverso la cartina di tornasole dell’unità operaia dal
basso, già si è visto il 17 aprile che i referendum da soli non bastano, specie
ora che nel nostro Paese x’è lo sport del rifiuto della politica e dell’
“imprenditore è bello”
Attività in corso SLAIPROLCOBAS dal
18-03-2016 al 18-04-2016:
Vertenze part time verticali
GGP Italy Castelfranco Veneto (TV). La chiusura aziendale avvenuta dopo il
primo incontro del aprile 2015 continua nonostante l’adesione al Cobas di 50
operai. Qui il volantino del
4 aprile 2016
Si sono aperti i
tavoli istituzionali di consultazione in relazione all’ennesimo cambio di appalto
in ENI (Syndial) e Raffineria a Marghera. L’Isolfin ha perso l’appalto in
favore di Rendelin, precedentemente presente. Il Cobas e la Fiom hanno
partecipato alla prima riunione, la seconda è fissata per il 22.
-
Pagati alcuni degli assegni delle
sentenze verso SMB (appalto Fincantieri Marghera) a tre lavoratori nonché a
quattro lavoratori della Murex (appalto Fincantieri Monfalcone).
Notizie FAO-Cobas al 14-04-2016
Il 10-04-2016 si sono svolti gli
attivi della ns.O.S. a Bergamo e a Verona.
marzo 2016 - SVOLTO IL PRIMO INCONTRO
TECNICO A BOLOGNA PRESENTI DORIGO LORETI E MAZZOLENI DELLA NS.SEGRETERIA NAZIONALE
PRESSO UNO STUDIO LEGALE NS.CONVENZIONATO. LA NS.O.S. STA PREPARANDO LA
COSTRUZIONE DELLE VERTENZE CONTRO L'IMPOSIZIONE DEL CARICO/SCARICO AGLI AUTISTI
OPERAI E PER LA LORO REMUNERAZIONE ANCHE PER IL PASSATO, DA PARTE DELLE CATENE
DELLA GRANDE DISTRIBUZIONE. CON QUESTA CAMPAGNA SI INTENDE LANCIARE LA LOTTA
PER L'UNITA' DI CLASSE OPERAI-AUTISTI-DISOCCUPATI, E NON SOLO SULL'INTERESSE
ECONOMICO MA ANCHE SU QUELLO OCCUPAZIONALE.
Slai Cobas
avverte la necessità di dare massima divulgazione del ‘report’ dell’8 marzo a
Pomigliano per l’importanza dei forti contenuti posti da queste ‘donne
stupende’ del Movimento Operaio: operaie, e mogli, madri e figlie di operai
capaci di rappresentare e rendere ancora più forti le ragioni dei lavoratori
per contribuire a riportarli dai “bordi del nulla” (lì relegati da politica e
sindacati) al ”centro della storia”! 8 MARZO A POMIGLIANO
1989 : DONNA BATTE FIAT 2016: E VINCEREMO
ANCORA - vedi
video Lo ha ricordato Mara Malavenda nell’affollata
assemblea operaia dell’8 marzo scorso a Pomigliano d’Arco nella giornata
internazionale della donna Comitato Mogli Operai - Pomigliano d’Arco, 8 marzo 2016 - SCARICA
IL VOLANTINO
16-03-2016 – IMPORTANTE SENTENZA DEL TRIBUNALE DI VENEZIA A FAVORE DEL
PAGAMENTO PER RESPONSABILITA’ SOLIDALE DA PARTE DI FINCANTIERI DEI TFR DI OTTO
RICORRENTI, OPERAI DI EUROCOIBENTI, DEL COBAS APPALTI FINCANTIERI clicca qui
14-03-2016 – COMUNICATO DEL COBAS ENI RAFFINERIA SULLA
DECISIONE OPERAIA DEL BLOCCO DEGLI STRAORDINARI CHE LE RSU HANNO DOVUTO FARE
PROPRIE clicca qui
08-03-2016 - ATTIVO SINDACALE DELLE DONNE DI
SLAIPROLCOBAS A MARGHERA – RIBADIAMO PER I LAVORATORI E LE LAVORATRICI CHE
HANNO LETTO IL PROCLAMA NEL SITO DEL MINISTERO DELLA PUBBLICA ISTRUZIONE DEL
GOVERNO RENZI, CHE LA NS.ORGANIZZAZIONE E’ FEDERATA SLAI COBAS ED E’ SORTA
USCENDOSENE NELLA TOTALITA’ DEL COORDINAMENTO REGIONALE VENETO-FRIULI VG DALLA
ORGANIZZAZIONE DENOMINATA SLAI COBAS PER IL SINDACATO DI CLASSE. http://slaicobastoscana.blogspot.it con il volantino
di convocazione dell’assemblea del COMITATO MOGLI di POMIGLIANO

18-02-2016 – SI E’ SVOLTA A VENEZIA L’UDIENZA GIP PER LA
RICHIESTA DI OPPOSIZIONE ALLA ARCHIVIAZIONE PROPOSTA DAL PM. Alla udienza sono
intervenute l’Avv.De Perini ed il ns.rappresentante legale. QUI IL
NS.BOLLETTINO NR.3 DEL COBAS FINCANTIERI http://www.slaicobasmarghera.org/bollettino-Cobas-Fink-003.pdf
IMPORTANTE SVILUPPO DELLA FEDERAZIONE AUTISTI
OPERAI IN VENETO, A BOLOGNA, PARMA, TORINO.
TRA I RISULTATI “NERI” DEI JOBS ACT
L’AUMENTO DEI LICENZIAMENTI DISCRIMINATORI E RITORSIVI. ALLA NS.O.S. CONTINUANO
A RIVOLGERSI LAVORATRICI E LAVORATORI OGGETTO DI LICENZIAMENTI COSTRUITI A
TAVOLINO E NEL TEMPO. LA “CACCIA AL DIVERSO” E’ IN CORSO ED AVVIENE IN
CENTINAIA E CENTINAIA DI AZIENDE. IN QUESTO PERIODO INFATTI SIAMO COSTRETTI AD
INTERVENIRE IN UN NUMERO CRESCENTE DI AZIENDE, E A VOLTE E’ TROPPO TARDI PER
EVITARE IL LICENZIAMENTO ED OCCORRE PREPARARSI ALLA CAUSA IN TRIBUNALE.
08-02-2016 – NEWS
FAO-COBAS – ACQUA VERA SAN GIORGIO IN BOSCO (PD) - LICENZIATI I TRE AUTISTI
DELLA KOINE’ CHE SI SONO OPPOSTI AI TRASFERIMENTI ILLEGITTIMI. L’IMPUGNAZIONE
DEI LICENZIAMENTI SARA’ PRESENTATA NEI PROSSIMI GIORNI IN TRIBUNALE DEL LAVORO.
ANCORA UNA VOLTA E’ IL CASO DI DIRE “GRAZIE CGIL”, DOPO LA FIRMA NAZIONALE DEI
CONFEDERALI ALLA CHIUSURA DELLE TRE SEDI KOINE’ DI FIUMICINO, PADOVA E CEPINA.
FIRMA E PROCEDURA ILLEGITTIME, SENZA IL PARERE DEI LAVORATORI, E SENZA LA
MEDIAZIONE ISTITUZIONALE DEL MINISTERO DEL LAVORO VISTA LA STRUTTURA NAZIONALE
DELL’AZIENDA, OLTRE CHE SENZA LA CONVOCAZIONE DELLA NS.O.S., PRIMA PER ADESIONI
DEGLI AUTISTI DELLA KOINE’. I lavoratori
coerenti alla ns.O.S. ed al diritto al lavoro, hanno impugnato l’accordo, il trasferimento
ed il licenziamento. Coloro che hanno accettato il licenziamento invece del
trasferimento, hanno conciliato con 6.000 € un posto di lavoro che aveva ed ha
un valore immensamente più alto. Qui la copia dell’accordo
illegittimo del 08-10-2015
RICORDIAMO A TUTTI-E CHE 20 ANNI FA IL PRESIDENTE
CLINTON DEGLI U.S.A. NELLA STESSA DATA DEL 08 OTTOBRE 1995 DENUNCIO’ L’UTILIZZO
DI STRUMENTI DI CONTROLLO MENTALE E DI TORTURA TECNOLOGICA AI DANNI DEI
PRIGIONIERI NELLE CARCERI USA, MORTI IN 3.000 PER QUESTI ESPERIMENTI https://www.youtube.com/watch?feature=player_embedded&v=ks398_KFJ6M
05-02-2016

LO
SCIOPERO SI E CONCENTRATO NELLO STABILIMENTO DI CAMPIGO ED E STATO BENE ACCOLTO
TRA I LAVORATORI E LASTENSIONISMO E AUMENTATO OGGI NON HA LAVORATO IL
40% DEGLI OPERAI E LA PRODUZIONE OGGI E STATA FORTEMENTE RIDOTTA. MOLTE-I
OPERAIE-I ITALIANI ED IMMIGRATI IN PART-TIME VERTICALE SONO D
ACCORDO CON NOI MA HANNO PAURA. LA PAURA NON E PROPRIA
DELLA DEMOCRAZIA. E DI QUESTA SITUAZIONE SONO RESPONSABILI ANCHE I SINDACATI
CONFEDERALI. LA GGP ITALY DEVE TRATTARE, DEVE CESSARE LA SUA
POLITICA DI PRECARIZZAZIONE. LA PRECARIZZAZIONE NON GLI E NECESSARIA E SERVE
SOLO A TENERE NEL RICATTO E NELLA PAURA I LAVORATORI. LA SOCIETA DEVE
RICONOSCERE CHE IL BENESSERE E PER TUTTI PERCHE QUESTO VALORE DEVE
ESSERE DI TUTTI E NON DEVE ESSERE IMPEDITO DA NESSUNO. VOLANTINO dello
SCIOPERO DEL VENERDI 5 FEBBRAIO 2016
Comunicazioni tra lo
SLAIPROLCOBAS e la GGP Italy (GENNAIO 2016)
28-01-2016 – NEWS
FAO-COBAS – E’ A BERGAMO IL SIT IN PER LA MATTINATA DEL 28, CHE SI TIENE IN OCCASIONE
DEL PROCESSO CONTRO LA KOINE’ PER IL LICENZIAMENTO DI UNO DEI MEMBRI DELLA
NS.SEGRETERIA NAZIONALE E RSA DI MADONE DELLA NS.O.S.
Il processo dopo i tentativi di conciliazione di rito effettuati dal
Giudice ed il giusto rifiuto di Francesco, è stato rinviato ad aprile.
27-01-2016 – NEWS
FAO-COBAS – ACQUA VERA SAN GIORGIO IN BOSCO (PD) - QUI LA LETTERA APERTA DI DIEGO ROSSI, ns.RSA
FAO-COBAS:
+
http://slaicobasmarghera.org/FAO/2016127-ACQUAVERA-1.pdf
http://slaicobasmarghera.org/FAO/2016127-ACQUAVERA-2.pdf – IN LOTTA rimangono in 3 (TRE) i lavoratori autisti
operai della sede Koiné - Acqua Vera di San Giorgio in Bosco (PD), DOPO 6 LICENZIAMENTI DISCIPLINARI, DIVERSE
DIMISSIONI PER ANDARE A LAVORARE ALTROVE, E POCHI ALTRI CHE HANNO ACCETTATO IL
TRASFERIMENTO A MADONE, LA LOTTA ALL’ACQUA VERA CONTINUA CON LA DURA MESSA
A DISPOSIZIONE QUOTIDIANA DEI TRE LAVORATORI, CONTRO LA SCANDALOSA SVENDITA DEI DIRITTI attuata da Cgil-Filt di
Padova che poco prima di Natale 2015 si è prestata al gioco di Koiné firmando
conciliazioni 411 cpc per 6.000 euro per ogni lavoratore licenziato …
(comunicato 2013)
Un gioco tutt’altro che legittimo: infatti la ns.O.S., maggioritaria in
Azienda, ha dovuto impugnare una procedura illegittima di CIGS e mobilità a
Calenzano, nonché una procedura nulla di chiusura delle sedi di Fiumicino-San
Giorgio in Bosco-Cepina, MA UNA SERIE DI LAVORATORI, ANCHE ALCUNI NS.ISCRITTI,
HANNO ACCETTATO IL RICATTO PADRONALE, O VAI A LAVORARE A MADONE O TI LICENZIO….
Un gioco tutt’altro che legittimo, che segue una falcidiante sequela di
“dimissioni” per lavorare subito dopo per terze ditte, e di licenziamenti
disciplinari (che anche se vinti, con la Legge Fornero non hanno portato alla
reintegra) all’interno del piano deciso dalla Koiné spa sin dal 2013, di
eliminazione progressiva di tutto il personale viaggiante; tanto illegittimo
che anche una decina di anni fa vi erano stati spostamenti forzati degli stessi
autisti da Acqua Vera a Madone e quindi di nuovo ad Acqua Vera; un gioco
tutt’altro che legittimo, avallato dai
dirigenti nazionali Cgil-Filt, Cisl-Fit e Uiltrasporti che hanno accettato
senza contropartite, accordandosi con FEDIT a Roma il 8-10-2015. La chiusura
delle sedi infatti segue il passaggio di molti mezzi e di tutti gli appalti a
terze ditte che operano da anni per Koiné e in un caso di una ditta creata (a
Prato) anche da un socio di Koiné, queste ditte, Goisis, Trilem, Kairos,
seguono le già avviate Panarella e Bianchi, nell’assumere anche direttamente in
certi casi il personale Koiné “dimesso”
.
26-01-2016 – DA SLAI
COBAS: 50 OPERAI FIAT-FCA POMIGLIANO RICORRONO CONTRO LA DISCRIMINAZIONE
PADRONALE –
http://www.slaicobasmarghera.org/COMUNICATO_STAMPA_FIAT_26_GENNAIO_2016.pdf
RIMANDIAMO ANCHE ALLA IMPORTANTE
VITTORIA PROCESSUALE DEL 05-11-2015 DELLO SLAI COBAS ORGANIZZAZIONE DI CUI SIAMO
PARTE IMPORTANTE E FEDERATI. LA CORTE DI CASSAZIONE PER LA DECIMA VOLTA HA
SANCITO CHE AI FINI DELL’ART.28 E DEI DIRITTI SINDACALI TUTELATI DALLO STATUTO
DEI LAVORATORI, LO SLAI COBAS ESSENDO ORGANIZZAZIONE NAZIONALE CON
SIGNIFICATIVA PRESENZA NELLE GRANDI FABBRICHE E PRESENTE IN 57 PROVINCE (NOI
COME SLAIPROLCOBAS E FAO-COBAS SIAMO PRESENTI IN 59 PROVINCE), HA OGNI DIRITTO
ANCHE SE NON “MAGGIORMENTE RAPPRESENTATIVA”.
QUI UN
ESTRATTO DELLA SENTENZA 22617/2015.
26-01-2016 – TRIESTE - conciliata
in Tribunale la vertenza che vedeva opposti due lavoratori bengalesi di
Fincantieri a Monfalcone (ns.iscritti, attualmente ad Ancona) alla loro
prfecedente ditta, IsolSud, che aveva discriminatoriamente negato loro la
trasferta, la ditta, ha deciso di pagare direttamente, liberando in questo caso
Fincantieri, chiamata per responsabilità solidale.
25-01-2016 – NEWS FAO-COBAS: LA
ORGANIZZAZIONE DI BASE DEI CAMIONISTI DENUNCIA ALLE ORGANIZZAZIONI RIUNITE
L’ANTICOSTITUZIONALITA’ DELLA PROPRIA CONDOTTA <
http://www.slaicobasmarghera.org/COMUNICAZIONE-CONFEDERALI-CONFETRA.pdf
24-01-2016 APPROVATO IL
BILANCIO SLAIPROLCOBAS – FAO-COBAS DAL COMITATO DI CONTROLLO CONGIUNTO DECISO
AL CONGRESSO – LE ENTRATE ED USCITE DEL 2015 IN QUESTO SCHEMA:
http://www.slaicobasmarghera.org/Bilancio2015-Slaiprolcobas-FaoCobas.pdf
SARA’ IL 18 FEBBRAIO LA UDIENZA
PER LA NOSTRA OPPOSIZIONE ALLA ARCHIVIAZIONE DELLA DENUNCIA DI 58 OPERAI DI
FINCANTIERI DI MARGHERA PER LA PRESENZA DI AMIANTO NEI LOCALI COMUNI.
RICORDIAMO CHE ALLA SOLA MENSA FINCANTIERI DOPO 20 ANNI DI CONTROLLI, SONO
STATI ASPORTATI MATERIALI CONTENENTI AMIANTO PER 4,3 TONNELLATE NEL GENNAIO
2015.
CICCA QUI DI SEGUITO: RINNOVIAMO
LA PUBBLICAZIONE DELLA NOSTRA OPPOSIZIONE PRESENTATA DALLE AVV.DE PERINI E
CERGNA.
24-01-2016 - SI RIAPRE LO
SCONTRO ALLA GGP ITALY - LA PIATTAFORMA RIVENDICATIVA DEI LAVORATORI DEL COBAS
GGP ITALY di Castelfranco Veneto (TV) INVIATA IL 11 E 14-01-2016 http://www.slaicobasmarghera.org/piattaformaCobasGGPItaly.htm
23-01-2016 - CLIMA PESANTE ALLA CAB LOG DI NOALE - LA PIATTAFORMA RIVENDICATIVA DEI LAVORATORI
DEL COBAS SIRIUS APPALTO CABLOG (Noale VE) INVIATA IL 23-12-2015 http://www.slaicobasmarghera.org/piattaformaCobasSirius.htm - La Azienda apre trattative con altre OS (quelle per capirci che si
fanno legittimare dai padroni e non dai lavoratori), e continua la sua attività
antisindacale verso di noi. Di conseguenza da febbraio si aprirà in mancanza di
positivi riscontri, lo stato di agitazione.
20-01-2016 –
SLAIPROLCOBAS e i lavoratori Bensaldo-Sonda del Cobas (2010-2012) in
Fincantieri, si costituiscono parte civile.
LA
NOSTRA COSTITUZIONE DI PARTE CIVILE PRESENTATA DALLE AVV.DE PERINI E CERGNA
Un
documento sullo sciopero degli appalti del 2011.
15-01-2016 –
NEWS FAO-COBAS: Proclamato sciopero per l'autotrasporto merci e spedizioni
-(personale viaggiante) di Lombardia e per solidarietà del Veneto, dalla
ns.O.S., per giovedì 28 giorno dell'inizio del processo per il licenziamento
politico di Francesco Mazzoleni. Clicca qui per leggere il testo:
http://www.mirarossa.org/FAO/20160128-proclamazionediscioperoFAO.pdf
12-01-2016 –Denunciato alle autorità competenti
il comportamento vessatorio di Eco-Ricicli Veritas (Marghera) nei confronti di
Taslim, che è stato reintegrato tramite vertenza sindacale e successivo
accordo, dopo essere stato lasciato a casa dalla interinale che ha fatto da
ponte con la cooperativa B&B operativa da anni fino al 2013 in Veritas a
Fusina. Questo operaio addetto alla cernita dei rifiuti, viene messo
ciclicamente a dover fare le pulizie dei capannoni da solo, violando così anche
le norme di sicurezza in quanto tale attività oltre ad essere pesantissima è
anche a rischio se non si è almeno in coppia.
http://www.slaicobasmarghera.org/SLAI_CUB.html
05-01-2016 – LA FAO-COBAS DENUNCIA ALLA
CUB IL SUO COMUNICATO SUL PROTOCOLLO CONFINDUSTRIA DA NOI E DALLO SLAI COBAS
RIFIUTATO
http://www.slaicobasmarghera.org/FAO_CUB.html
FAO-COBAS NEWS: FINE ANNO BOLLENTE
NELL’AUTOTRASPORTO MERCI. 24-12-2015 I lavoratori della FAO-COBAS del gruppo
Franchin di Ospedaletto Euganeo con la loro determinazione ed unità hanno
ottenuto la cessione di contratto alle 2 nuove ditte del gruppo, le aziende hanno
accettato la nostra proposta. Licenziamenti selettivi e discriminatori a
Segrate dell’appalto Betatrans, BMG. I lavoratori di FAO-COBAS si preparano
alle cause in Tribunale del lavoro, anche qui passaggi di ditte e licenziamenti
discriminatori spacciati per "oggettivi". I lavoratori che seguono la
ns.linea opponendosi alla chiusura delle sedi periferiche Koiné hanno impugnato
il trasferimento annunciato a Madone e non hanno accettato la svendita dei
diritti con monetizzazione al ribasso delle buone uscite siglate dai
confederali. Sempre più estesa la violazione della democrazia sindacale.
L’esempio del referendum in Autamarocchi organizzato dai confederali, ove non
vengono diffusi i dati della partecipazione al referendum dei circa 600
dipendenti dell’Azienda. Si calcola che tutti e 200 i lavoratori di Tortona e
tutti quelli di Parma non abbiano votato, oltre al rifiuto di 80 dei 90
lavoratori presenti in assemblea a Padova. Come sia possibile aver raggiunto il
quorum del 50% più 1 ? E questo al di là della nostra opposizione ai metodi
referendari aziendali in un settore in cui i lavoratori non sono mai in
azienda. Inoltre ci est stato comunicato senza alcuna argomentazione sui
pregressi accordi, da SiCobas, che est in programma un incontro con Auta Marocchi,
al quale non abbiamo alcuna intenzione di partecipare nella presente mancanza
di chiarezza; specifiche impugnazioni sono state inviate dai lavoratori
ns.iscritti in Auta Marocchi cosi come in Italtrans dove anche qui la ns.O.S.
ha IMPUGNATO il contratto aziendale di cui non si sapeva nulla ed est stato
trovato attraverso accesso agli atti al Ministero del Lavoro. La ns.O.S. ha
proclamato sciopero per sabato 2 e domenica 3 gennaio 2016 in tutte le sedi
Italtrans del personale viaggiante. VINTA IMPORTANTE CAUSA DA NOI AVVIATA A
VENEZIA. E' stata RICONOSCIUTA CONTINUITA DI IMPRESA TRA COSENTINO TRASPORTI E
COSENTINO TRASPORTI E LOGISTICA di San Stino di Livenza. Ancora, a UDINE due
lavoratori ns.iscritti hanno avuto con recentissime sentenze, un riconoscimento
giudiziario molto grave alla nullità della procedura di Italsped circa i
licenziamenti collettivi di un anno fa.
CLICCA
QUI
20-11-2015 segreteria Fiom di Venezia ci ha comunicato
la propria estraneità alle querele volte contro la ns.O.S. inerenti le nostre
denunce di esposizione amianto in Fincantieri. (successivamente verificato che
la denuncia è partita da un componente segreteria UIL di Marghera)
05-11-2015 - IMPORTANTE VITTORIA
PROCESSUALE DELLO SLAI COBAS ORGANIZZAZIONE DI CUI SIAMO PARTE IMPORTANTE E
FEDERATI. LA CORTE DI CASSAZIONE HA SANCITO CHE AI FINI DELL’ART.28 E DEI
DIRITTI SINDACALI TUTELATI DALLO STATUTO DEI LAVORATORI, LO SLAI COBAS ESSENDO
ORGANIZZAZIONE NAZIONALE CON SIGNIFICATIVA PRESENZA NELLE GRANDI FABBRICHE E
PRESENTE IN 57 PROVINCE (NOI COME SLAIPROLCOBAS E FAO-COBAS SIAMO PRESENTI IN
59 PROVINCE), HA OGNI DIRITTO ANCHE SE NON “MAGGIORMENTE RAPPRESENTATIVA”.
QUI UN
ESTRATTO DELLA SENTENZA 22617/2015. Altre
sentenze importanti nella Sezione Giuridica
Testo volantino diffusoIl servizio della Tribuna
di Treviso del 04-11-2015
clicca
qui – il servizio di Rete
Veneta del 03-11-2015 clicca
qui
Da FAO-COBAS - OTTOBRE
2015 - LA KOINE' SPONSORIZZATA DALLA SCANDALOSA FIRMA DELLE OO.SS. CONFEDERALI
NAZIONALI CHE SIGLANO LA CHIUSURA DELLE SEDI DI SAN GIORGIO IN BOSCO FIUMICINO
E CEPINA. PASSAGGIO CRUCIALE, CON IL 31-12-2015, DELLA STRATEGIA DI
DISSOLUZIONE AZIENDALE AFAVORE DELLE TERZE DITTE.
QUI COPIA
DELL'ACCORDO DEL 8 OTTOBRE.
QUI LA
NS.IMPUGNAZIONE -
23-09-2015 LA PIATTAFORMA NAZIONALE CONTRATTUALE DELLA FAO-COBAS, PER
GLI AUTISTI OPERAI DEL CCNL TRASPORTO MERCI SPEDIZIONI E LOGISTICA.
clicca qui
Noi non
condividiamo la sbrigatività e genericità del punto 10 della proposta
contrattuale "SI COBAS" e "ADL COBAS" che peraltro non si sono mai consultate
direttamente con la ns.O.S., maggioritaria in centinaia di aziende del
centro-nord per quanto riguarda gli autisti operai, e presente in decine di
siti della logistica, su questo ed altri punti.
- in diffusione libro bianco:
L'ABUSO DISCIPLINARE SCIENTIFICO NEI CONFRONTI DEGLI AUTISTI DEI TIR, IL CASO
KOINE'
21-10-2015 SCANDALOSO LA
PROCURA DI VENEZIA CHIEDE LA ARCHIVIAZIONE DELLE DENUNCE DEGLI OPERAI DI
FINCANTIERI PER LA PRESENZA DI TUBAZIONI DI AMIANTO NEGLI AMBIENTI COMUNI. La
ns.O.S. ha pochissimi giorni per valutare la opposizione alla richiesta di
archiviazione del procedimento istruttorio avviato dal gennaio scorso da parte
della ns.O.S. e di 58 operai alle dirette dipendenze di Fincantieri.
CLICCA QUI PER LA SENTENZA
CLICCA QUI PER ARTICOLO
CLICCA QUI
CLICCA
QUI
CLICCA QUI
CLICCA QUI
CLICCA QUI![]()
CLICCA QUI
16-06-2015 Cobas
Appalti Fincantieri - E' in fase esecutiva il pignoramento di una somma
superiore ai 120 mila euro relativa ad 11 lavoratori di Eurotecnica, fallita e
senza capienza, di cui sono in corso i processi penali, i quali lavoratori
devono vedersi riconosciuti Tfr e diffide accertative dalla Fincantieri stessa.
Nel frattempo Fincantieri ha pagato 3760 euro ad un lavoratore di Rocx che
aveva svolto lavoro notturno e trasferta non retribuite e per cui c'era una
sentenza in attesa di essere onorata da due anni. Qui la Sentenza che conferma
22 decisioni giudiziarie favorevoli a 11 lavoratori degli appalti Fincantieri
CLICCA QUI
08-06-2015
- MA QUALE "DEMOCRAZIA SINDACALE" ? I LAVORATORI DELLA FINCANTIERI
DEVONO SAPERE CHE LE DIMISSIONI DELLE RSU FIOM DELLA FINCANTIERI DI MARGHERA
DEL 26-5-2015 SONO MOLTO GRAVI, DI FRONTE ALLA SUPINA E FARSESCA RIVENDICAZIONE
DI "EQUITA'" AL "TESTO UNICO SULLA RAPPRESENTANZA" DEL
GENNAIO 2014, UN TESTO FASCISTA ED ANTIDEMOCRATICO CHE NEGA LA
RAPPRESENTATIVITA' A CHI NON SI SUPINI A RICONOSCIMENTI PADRONALI. TANTO PIU'
CHE LA FIOM SI ERA PER LUNGO TEMPO OPPOSTA A QUESTA "COSA".
COME COBAS FINCANTIERI MANTENIAMO LA NS.IMPOSTAZIONE DI RSA E NEGHIAMO
LEGITTIMITA' A QUESTO SCAVALCAMENTO FILOPADRONALE DELLE NORME COSTITUZIONALI.
NON ACCETTIAMO ALCUN "TESTO UNICO" FATTO SULLA TESTA E SULLA PELLE
DEI LAVORATORI.
CLICCA QUI
CLICCA QUI
CLICCA QUI
clicca qui
clicca qui
clicca qui
clicca qui
clicca qui
Le nostre iniziative del 1 e 2 maggio a Marghera e
Castel Gomberto (VI)
26-04-2015 - SULLA MANIFESTAZIONE DI
MESTRE DELLA COMUNITA’ BENGALESE, documento discusso e condiviso nell'assemblea
dei lavoratori bengalesi di SLAI PROL COBAS tenutasi martedì 28 aprile a
Marghera
clicca qui - LE FOTO DELLA MANIFESTAZIONE
ED IL VIDEO DEL NS.INTERVENTO - NELLA NS.PAGINA REGIONALE FACEBOOK
clicca qui
clicca qui
CLICCA QUI
http://www.slaicobasmarghera.org/appaltiENIvolantinoSAIDA.pdf Qui alcune foto del blocco
di stamattina: - foto 1 foto 2 foto 3
http://www.slaicobasmarghera.org/20150327-appaltiEni.pdf
CLICCA QUI
VOLANTINO DISTRIBUITO IN 1.000 COPIE QUESTA MATTINA A
FINCANTIERI MARGHERA CONTRO LA BOZZA FINCANTIERI DI ACCORDO AZIENDALE, NEL RETRO DIFFUSO A TUTTI
IL
COMUNICATO SLAI COBAS POMIGLIANO DEL 13 MARZO
http://www.slaicobas.it/files/comunicato%20stampa%20sentenza%20cassazione%2013%20marzo%202015(4).pdf
http://www.mirarossa.org/FAO/proclamazione20-21-22.pdf
http://www.slaicobasmarghera.org/fotopalazzinaovest/2015019-FOTO-SPOGLIATOI-PALAZZINAOVEST.htm
15-01-2015 – SLAIPROLCOBAS
FINCANTIERI INFORMA http://www.slaicobasmarghera.org/SLAIPROLCOBASFINK-INFORMA-2B.pdf
http://www.slaicobasmarghera.org/SLAIPROLCOBAS-FINCANTIERI-INFORMA-2b.html
14-01-2015 – SLAIPROLCOBAS
FINCANTIERI INFORMA http://www.slaicobasmarghera.org/SLAIPROLCOBASFINK-INFORMA-2.pdf
http://www.slaicobasmarghera.org/SLAIPROLCOBAS-FINCANTIERI-INFORMA-2b.html
http://www.slaicobasmarghera.org/SLAIPROLCOBAS-FINCANTIERIINFORMA-1.pdf
http://www.slaicobasmarghera.org/20150107-Fincantieri.pdf
http://slaicobasmarghera.org/Fink-mensa-rid/Fink-amianto-ancora.htm
http://www.slaicobasmarghera.org/COMUNICATOSTAMPA20120417.pdf
2014
04-12-2014 SLAI COBAS PER IL
SINDACATO DI CLASSE DENUNCIA IL JOBS ACT
17-11-2014 - QUI LA
CRONACA DELLA GIORNATA DI LOTTA A SCORZE’ CONDIVISA CON FAO-COBAS
http://www.slaicobasmarghera.org/indizione sciopero 14.11.14.pdf
FEDERAZIONE AUTISTI OPERAI FAO-COBAS
composizione della nuova
segreteria nazionale consultiva
Riconfermato il coordinatore nazionale Paolo Dorigo.
Assunte importanti decisioni, la segreteria nazionale avrà solo carattere
consultivo, i Cobas-FAO continuano a decidere loro, con il sostegno e la linea
della ns.O.S. e il contributo del ns.coordinatore nazionale
Coordinamento Nazionale Marghera
(VE) 30 nov.2014
Si è svolto oggi il
coordinamento nazionale della ns.O.S. Qui il comunicato che sintetizza lo
svolgimento dei lavoratori, tratto dal dibattito e dal verbale di riunione.
KOINE' I LAVORATORI APPROVANO
L'IMPUGNAZIONE
I LAVORATORI HANNO
APPROVATO NELLE NOSTRE ASSEMBLEE L'IMPUGNAZIONE DELL'ACCORDO INTEGRATIVO
AZIENDALE IGNOBILE SIGLATO DA CGIL-FILT E CISL-FIT
KOINE' BILANCIO DELLA LOTTA A
CALENZANO
29-10-2014
SCIOPERO A CALENZANO E CONTESTATA
LA CGIL ALL'ASSEMBLEA DI OGGI
26-27-28 ottobre
2014
DOPO MIRANO, SALERNO: LA STRAGE
CONTINUA NELL'IPOCRITA SILENZIO
16-10-2014 NOSTRO COMUNICATO NAZIONALE SULLA QUESTIONE
DELLE PAUSE SETTIMANALI (E NONSOLO) E DEI DIVIETI ALLA RECKITT BENCKISER
DISPOSTI DAL SINDACO DI MIRA
sciopero a Calenzano dei
lavoratori Koiné
è stato
rinviato dalle ore 18 della domenica 18 alle ore 18 del lunedì 19 lo
sciopero dei lavoratori della Koiné di Calenzano (FI), per dar modo al cda
della Koiné di pronunciarsi chiaramente (riunione del 15-10-2014).
2-3 OTTOBRE CRONACA DELLO
SCIOPERO A MADONE E S.GIORGIO IN BOSCO
LA RESISTENZA
DEI LAVORATORI A DIFESA DEL POSTO DI LAVORO DI 300 AUTISTI (200 posti già
perduti in 4 anni) E DI MOLTI IMPIEGATI (QUELLI NON COINVOLTI NELLE
ATTIVITA'SCIENTIFICHE MOBBIZZANTI) ...
Annunciato sciopero Calenzano e
Fiumicino – Koiné - 01-10-2014 - è stato proclamato oggi lo
sciopero a Calenzano e Fiumicino dei lavoratori Koiné è per il 12-13 ottobre
>>> 23-07-2014 – comunicato Cobas Eni http://www.slaicobasmarghera.org/20140723-comunicato-ENI.htm
vai a notizie 2013 vai a notizie 2012 vai a notizie 2011 vai a notizie anni
precedenti
8 dicembre 2020 si conclude il 2° congresso
congiunto SlaiProlCobas – Federazione Autisti Operai
Dettagli storici
28-01-2018 – Si è svolta
la sessione del Comitato di Controllo Congiunto SLAIPROLCOBAS – FAO-COBAS - Bilancio
del 2017 approvato dal Comitato di controllo congiunto di SLAIPROLCOBAS e
FAO-COBAS. Prospetto delle entrate ed uscite: http://www.mirarossa.org/Contabilita-SPC-FAO_Cobas_20171231-finale.pdf
22-01-2017 – Si è svolta
la sessione del Comitato di Controllo Congiunto SLAIPROLCOBAS – FAO-COBAS - Prese
importanti decisioni. Approvata la richiesta di Federazione Autisti Operai
presa nella conferenza nazionale del 08-12-2016 a Verona Est di ADESIONE a
SLAIPROLCOBAS, Approvato il bilancio 2016. Si decide infine di accettare
la delibera di Slaiprolcobas che il Comitato di controllo congiunto
Slaiprolcobas-FaoCobas sia organo anche politico-sindacale superiore
decisionale delle due organizzazioni. Si decide di organizzare una riunione dei
quadri sindacali selezionati tra i delegati rsu-rsa e con la presenza di tutt*
i membri di SN. Bilancio del 2016 approvato dal Comitato di controllo
congiunto di SLAIPROLCOBAS e FAO-COBAS nella seduta del 22-01-2016. Prospetto
delle entrate ed uscite: http://www.slaicobasmarghera.org/bilancio-2016-slaiprolcobas-faocobas.jpg
08-12-2016 a Verona Nord conferenza nazionale di organizzazione
della Federazione Autisti Operai chiede di aderire a SlaiProlCobas mantenendo
la propria struttura di sindacato di categoria.
Si è costituito il
Comitato di controllo congiunto Federazione Autisti Operai (Fao-Cobas) -
SlaiProlCobas (Mira, 24 e 31-01-2016) - A seguito delle decisioni del Congresso
congiunto delle due organizzazioni, si è insediato il Comitato di controllo
congiunto composto da Marco Sacchi (vice-coordinatore nazionale) e Gianluca
Bego (segretario Comitato di controllo Slaiprolcobas) e membri della segreteria
nazionale Slaiprolcobas nonché da Rodolfo Sartorio e Pierfrancesco Mazzoleni
del Comitato di Controllo Federazione Autisti Operai e membri della segreteria
nazionale Federazione Autisti Operai (Fao-Cobas). In data 24 vi è
stata l'analisi e l'approvazione del Bilancio 2015 (vedi in http://www.slaicobasmarghera.org/Bilancio2015-Slaiprolcobas-FaoCobas.pdf la sintesi delle entrate ed uscite).
02-01-2016 – Si è svolta a Marghera in un
clima forte e fraterno, la terza ed ultima sessione congressuale congiunta di SLAIPROLCOBAS e FAO-COBAS.
Ai lavori hanno partecipato i delegati-e di 38 Cobas delle ns.O.S. in
rappresentanza della parte attiva dei ns.2000 iscritti-e. Complessivamente
hanno partecipato ai lavori 90 delegati e delegate che hanno sottoscritto la
mozione della 1a sessione ripresa poi nella mozione finale senza alcuna
significativa modifca ed in tal senso letta approvata e sottoscritta in tutte
le 3 sessioni congressuali. CLICCA QUI
20-12-2015 – Si è svolta a Milano
in un clima forte e fraterno, presso la sede nazionale di SLAI COBAS, la
seconda sessione congressuale di SLAIPROLCOBAS e FAO-COBAS. Riconfermata dal
coordinamento nazionale FAO-COBAS la mozione della prima sessione. Qui il
verbale della seconda sessione. CLICCA QUI
12-12-2015 - Iniziato con la prima sessione il CONGRESSO congiunto
SLAIPROLCOBAS - FAO-COBAS a MARGHERA. La seconda sessione si tiene a Milano il
20-12-2015 e la sessione conclusiva si tiene a Marghera il 02-01-2016. Qui la
mozione congressuale della prima sessione.
CLICCA QUI
>>> 21-02-2015 STIPULATO
PATTO FEDERATIVO TRA SLAI COBAS COORDINAMENTO PROVINCIALE DI TRENTO E
SLAIPROLCOBAS (htm) (pdf)
>>> 20-02-2015 STIPULATO
PATTO FEDERATIVO TRA SLAI COBAS coordinamento provinciale di NAPOLI e
SLAIPROLCOBAS (htm) (pdf)
>>> 08-02-2015 SI è RIUNITO IN CONFERENZA NAZIONALE IL 8
FEBBRAIO A VERONA IL COORDINAMENTO NAZIONALE DELLA NS.O.S. - Si
è felicemente svolta ieri a Verona Est la riunione del coordinamento nazionale
della ns.O.S. La prima parte della riunione è stata dedicata al cambiamento
dello Statuto resosi necessario dai cambiamenti fatti dal coordinamento
regionale Veneto Friuli di Slai Cobas per il sindacato di classe il 3 e 6
gennaio 2015 con la costituzione di SLAI PROL COBAS il 7 gennaio 2015.La
votazione con il voto di quasi l'85% dei componenti il C.N., è stata
all'unanimità. Successivamente è giunto alla Conferenza l'Avv.Emanuele
Zanarello che ha relazionato sullapolitica di distruzione del diritto del
lavoro con i "Jobs Act" del governo Renzi e sulla loro
antiCostituzionalità. Molti gli interventi e le domande in questa sessione.
Quindi si è dedicato il primo pomeriggio al sistema dei conteggi di
straordinari e trasferte da noi adottato per le cause di inCostituzionalità del
11 bis.
11-01-2015 Le nostre
divergenze (pdf) (htm)
QUEST'ANNO 2015 CI SIAMO
RICOSTITUITI DA UN AMBITO INTERREGIONALE (VENETO E FRIULI) AD UN AMBITO DI
LAVORO NAZIONALE E TENDENZIALMENTE CONTINENTALE, COME SLAIPROLCOBAS,
RIVENDICANDO TUTTO IL NOSTRO PERCORSO DAL 2006 SINO AD OGGI. CON PAOLO
RIVENDICHIAMO DI ESSERE A PIENO TITOLO NELLA STORIA DEL CUORE DELL'AUTONOMIA
OPERAIA, che negli anni ’70 ha ben combattuto nella lotta ciò che oggi tutti
comprendono essere stata la dittatura del capitale diversa ma sostanzialmente
ugualmente illegittima con quella di oggigiorno; riteniamo che il gruppismo,
l'opportunismo di destra e di ultrasinistra siano dannosi alla classe operaia
ed alla Rivoluzione.
Contatti
SLAIPROLCOBAS federato S.L.A.I. COBAS
sede legale: SLAIPROLCOBAS – via Argine Dx Canale
Taglio, 166-167, Marano - 30034 MIRA VE
indirizzo postale alternativo: CP 101 - 30034 MIRA VE MARGHERA
(VE) Via Sismit Doda 2/D
FORLì
- Via Silvestro Lega 6
20 miliardi per banche fallite e borghesi inferociti,
silenzio censura sfruttamento e morte per i proletari. Mai la Costituzione
solidale ed antifascista è stata così distante dalla politica. A 9 mesi dal
100° anniversario della Rivoluzione bolscevica, ben altra cosa del putch di
Kerensky, la Rivoluzione Operaia è di nuovo estremamente attuale. Come mai i
gruppi della “sinistra” ed “estrema sinistra” italiana non se ne avvedono ?
NOSTRA appalti Fincantieri FAO Cobas Slai Cobas
FAO Cobas Mira pagina pubblica SLAI PROL COBAS
PAGINE DI STORIA
OPERAIA SLAI COBAS
![]()
STORIA Otto operai licenziati perché non allineati
La STORIA La contestazione di Slai Cobas a Rinaldini nel maggio 2009 a Torino
http://www.slaicobasmarghera.org/20160917.htm
https://youtu.be/IaV4oCxG-tE

play-list aggiuntiva
NON C’E’ DEMOCRAZIA

COBAS APPALTI FINCANTIERI
COBAS APPALTI FINCANTIERI
STIGA Eex GGP ITALY
FEDERAZIONE AUTISTI OPERAI 

Ns.intervento alla Assemblea Nazionale Rete per la Sicurezza sui
posti di lavoro a Roma 23-6-2009
-2-
Assemblea Operaia aprile 2008
a Marghera
registrazioni
audio presentazione e interventi
Eni e Tessera e Bica
l'assemblea di fronte al Tribunale di Torino alla prima udienza del
processo Eternit 10-12-2009 squallidamente censurato come fosse “privato” Processo Eternit PART01
Processo Eternit PART02
riportiamo
qui il solo video privo di audio dell’intervento di Paolo Dorigo
LA
MANIFESTAZIONE CONTRO LA TRICOM GALVANICA A BASSANO DEL 14-3-2009
VIDEO INTERVENTO
SLAI COBAS REGIONE VENETO ALLA ASSEMBLEA USB A SCHIO IL 1-12-2012
1° Congresso
(2012) della F.A.O. Federazione Autisti
Operai (resoconto) - (video del
Congresso)
VIDEO COBAS ENI 25-10-2011 SERVIZIO PUBBLICO Gianluca Bego
nostra intervista del
01-05-2011 a Paolo Dorigo (download wmv)

NO SCHIAVISMO
il nostro appello del maggio 2010 al Sindaco di Venezia, Orsoni
RETE NAZIONALE PER LA SICUREZZA
SUI POSTI DI LAVORO SITO 2007-GIUGNO 2014
(ARCHIVIO
STORICO RETE VENEZIA)
iconfederalieilmodernoschiavismo.htm
Ogni martedì pomeriggio e sabato sera h. h.17-19,30 a Marghera sportello sindacale – ogni due mercoledì pomeriggio a Marano di Mira sportello legale
ogni sabato pomeriggio h.15-16 scuola di resistenza autisti Fao-cobas a Marano
(ASSISTENZA E CONSIGLI LEGALI E SINDACALI: messaggi su whatsapp 3802375321 risposte in giornata agli iscritti -e – appuntamenti per i non iscritti Federazione Autisti Operai
OGNI
DIRITTO RISERVATO – SLAIPROLCOBAS – FEDERAZIONE AUTISTI OPERAI
NS.PEC: slaiprolcobas@servicepec.it